【哈希】day24_141. 环形链表

58 阅读2分钟

给你一个链表的头节点 head ,判断链表中是否有环。

如果链表中有某个节点,可以通过连续跟踪 next 指针再次到达,则链表中存在环。 为了表示给定链表中的环,评测系统内部使用整数 pos 来表示链表尾连接到链表中的位置(索引从 0 开始)。注意:pos 不作为参数进行传递 。仅仅是为了标识链表的实际情况。

如果链表中存在环 ,则返回 true 。 否则,返回 false 。

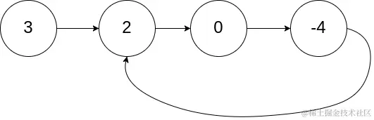
示例 1:

输入: head = [3,2,0,-4], pos = 1
输出: true
解释: 链表中有一个环,其尾部连接到第二个节点。

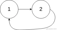
示例 2:

输入: head = [1,2], pos = 0
输出: true
解释: 链表中有一个环,其尾部连接到第一个节点。

示例 3:

输入: head = [1], pos = -1
输出: false
解释: 链表中没有环。

提示:

  • 链表中节点的数目范围是 [0, 104]
  • -105 <= Node.val <= 105
  • pos 为 -1 或者链表中的一个 有效索引 。

 

进阶: 你能用 O(1)(即,常量)内存解决此问题吗? 题解:

题解一:哈希表

思路:通过哈希表记录链表每个节点,遍历链表,当遇到相同节点时,即成环

时间复杂度:O(n)

空间复杂度:O(n)

代码省略:...

题解二:

思路:快慢指针

1.使用快慢指针,当成环时,慢指针必能追到快指针,此过程中,快指针为null说明不成环(进阶题:寻找成环节点:快慢指针第一次相遇后,慢指针指向头节点,之后快慢指针保持相同速度移动,再次相遇时的节点即为成环节点)

时间复杂度:O(n)

空间复杂度:O(1)

/**
 * Definition for singly-linked list.
 * class ListNode {
 *     int val;
 *     ListNode next;
 *     ListNode(int x) {
 *         val = x;
 *         next = null;
 *     }
 * }
 */
public class Solution {
    public boolean hasCycle(ListNode head) {
        if (head == null || head.next == null) {
            return false;
        }
        // 快慢指针
        ListNode slow = head, fast = head.next;

        //第一次相遇
        while(slow != fast){
            if(fast == null || fast.next == null){
                return false;
            }
            slow = slow.next;
            fast = fast.next.next;
        }
        return true;
    }
}