【FreeRTOS】实时嵌入式系统通信利器:深入探索FreeRTOS中的队列机制

414 阅读4分钟

在实时嵌入式系统中,任务间通信是非常重要的。FreeRTOS是一个流行的实时操作系统,提供了各种机制来实现任务间的通信和同步。其中,队列(Queue)是其中一个常用的机制,用于在任务之间传递数据。本文将介绍FreeRTOS中队列的基本概念和使用方法,并给出一些相关的代码示例。

文章目录

什么是队列?

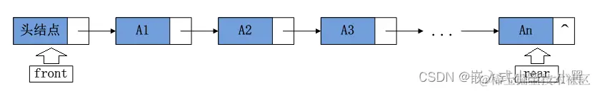
队列是一种先进先出(FIFO)的数据结构,类似于日常生活中的排队机制。在FreeRTOS中,队列提供了一个缓冲区,可以存储多个项目。任务可以向队列发送数据,也可以从队列接收数据。
在这里插入图片描述

队列的创建

首先,我们需要创建一个队列对象。在FreeRTOS中,可以使用xQueueCreate()函数来创建一个队列。该函数接受两个参数:队列的长度和每个项目的尺寸。下面是一个示例代码:

#include "freertos/queue.h"
// 队列长度
#define QUEUE_LENGTH    5
// 单个项目的尺寸,以字节为单位
#define ITEM_SIZE       sizeof(int)
// 创建队列
QueueHandle_t queue;
queue = xQueueCreate(QUEUE_LENGTH, ITEM_SIZE);
if (queue == NULL) {
    // 队列创建失败处理
    ...
}

在上面的示例代码中,我们创建了一个长度为5的队列,每个项目的尺寸为整型(sizeof(int))。注意,xQueueCreate()函数返回一个QueueHandle_t类型的队列句柄,如果返回值为NULL,则表示队列创建失败。

向队列发送数据

一旦队列创建成功,我们可以使用xQueueSend()函数向队列发送数据。该函数接受三个参数:队列句柄、要发送的数据的指针和超时时间。下面是一个示例代码:

int data = 10;
if (xQueueSend(queue, &data, pdMS_TO_TICKS(1000)) != pdPASS) {
    // 数据发送失败处理
    ...
}

在上述示例中,我们向队列发送了一个整数数据。pdMS_TO_TICKS(1000)用于将超时时间从毫秒转换为FreeRTOS内核配置的时钟节拍数。如果数据发送成功,xQueueSend()函数会返回pdPASS,否则表示发送失败。

从队列接收数据

接收任务可以使用xQueueReceive()函数从队列中接收数据。该函数接受三个参数:队列句柄、接收数据的指针和超时时间。下面是一个示例代码:

int receivedData;
if (xQueueReceive(queue, &receivedData, pdMS_TO_TICKS(1000)) == pdPASS) {
    // 数据接收成功,对接收到的数据进行处理
    ...
} else {
    // 数据接收失败处理(超时或队列为空)
    ...
}

在上面的示例中,我们从队列中接收一个整数数据。如果数据接收成功,xQueueReceive()函数会返回pdPASS,否则表示接收失败。

任务间的同步

队列除了用于数据传递,还可以用于任务间的同步。例如,任务A可以向队列发送一个特定的数据项,而任务B会在接收队列中的数据项时进行处理。这样,任务A就可以通知任务B完成某个操作。

其他队列操作

除了上述基本的队列操作外,FreeRTOS还提供了其他一些有用的队列操作函数。例如:

  • xQueuePeek():查询队列头部的数据,但不将其移出队列。
  • xQueueSendToFront():将数据插入队列的头部。
  • xQueueSendToBack():将数据插入队列的尾部。

除了常规队列外,FreeRTOS还提供了优先级队列(Priority Queue)。优先级队列允许具有更高优先级的任务可以插入队列的头部,以便更快地处理数据。

另外,如果不再需要使用队列,可以使用vQueueDelete()函数删除队列并释放相关的内存空间。

下面是一个完整的示例代码,展示了如何在FreeRTOS中使用队列进行任务间通信:

#include <stdio.h>
#include "freertos/FreeRTOS.h"
#include "freertos/task.h"
#include "freertos/queue.h"

#define QUEUE_LENGTH    5
#define ITEM_SIZE       sizeof(int)

void sender_task(void *param)
{
    QueueHandle_t queue = (QueueHandle_t)param;
    int count = 0;
    
    while (1) {
        printf("Sender: Sending item %d\n", count);
        xQueueSend(queue, &count, portMAX_DELAY);
        count++;
        vTaskDelay(pdMS_TO_TICKS(1000));
    }
    
    vTaskDelete(NULL);
}

void receiver_task(void *param)
{
    QueueHandle_t queue = (QueueHandle_t)param;
    int item;
    
    while (1) {
        if (xQueueReceive(queue, &item, portMAX_DELAY)) {
            printf("Receiver: Received item %d\n", item);
        }
    }
    
    vTaskDelete(NULL);
}

void app_main()
{
    QueueHandle_t queue;
    
    // 创建队列
    queue = xQueueCreate(QUEUE_LENGTH, ITEM_SIZE);
    if (queue == NULL) {
        printf("Failed to create queue\n");
        return;
    }
    
    // 创建发送任务
    xTaskCreate(sender_task, "Sender Task", 2048, (void *)queue, 1, NULL);
    
    // 创建接收任务
    xTaskCreate(receiver_task, "Receiver Task", 2048, (void *)queue, 2, NULL);
}

上述示例代码中创建了两个任务:发送任务(sender_task)和接收任务(receiver_task)。发送任务周期性地向队列发送一个递增的整数,而接收任务从队列中接收数据并输出到控制台。

app_main函数中,首先创建了一个队列,然后分别创建了发送任务和接收任务,并将队列作为参数传递给它们。发送任务使用xQueueSend()函数将数据发送到队列,而接收任务使用xQueueReceive()函数从队列中接收数据。