【陪伴式刷题】Day 20|二叉树|669.修剪二叉树(Trim a Binary Search Tree)

903 阅读2分钟

刷题顺序按照代码随想录建议

题目描述

英文版描述

Given the root of a binary search tree and the lowest and highest boundaries as low and high, trim the tree so that all its elements lies in [low, high]. Trimming the tree should not change the relative structure of the elements that will remain in the tree (i.e., any node's descendant should remain a descendant). It can be proven that there is a unique answer.

Return the root of the trimmed binary search tree. Note that the root may change depending on the given bounds.

Example 1:

Input: root = [1,0,2], low = 1, high = 2 Output: [1,null,2]

Example 2:

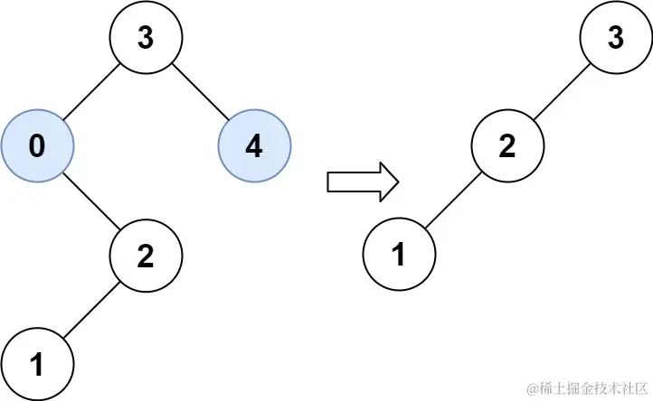
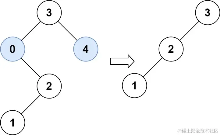
Input: root = [3,0,4,null,2,null,null,1], low = 1, high = 3 Output: [3,2,null,1]

Constraints:

  • The number of nodes in the tree is in the range [1, 10^4].
  • 0 <= Node.val <= 10^4
  • The value of each node in the tree is unique.
  • root is guaranteed to be a valid binary search tree.
  • 0 <= low <= high <= 10^4

英文版地址

leetcode.com/problems/tr…

中文版描述

给你二叉搜索树的根节点 root ,同时给定最小边界low 和最大边界 high。通过修剪二叉搜索树,使得所有节点的值在[low, high]中。修剪树 不应该 改变保留在树中的元素的相对结构 (即,如果没有被移除,原有的父代子代关系都应当保留)。 可以证明,存在 唯一的答案

所以结果应当返回修剪好的二叉搜索树的新的根节点。注意,根节点可能会根据给定的边界发生改变。

示例 1:

输入: root = [1,0,2], low = 1, high = 2 输出: [1,null,2]

示例 2:

输入: root = [3,0,4,null,2,null,null,1], low = 1, high = 3 输出: [3,2,null,1]

提示:

  • 树中节点数在范围 [1, 10^4]
  • 0 <= Node.val <= 10^4
  • 树中每个节点的值都是 唯一
  • 题目数据保证输入是一棵有效的二叉搜索树
  • 0 <= low <= high <= 10^4

中文版地址

leetcode.cn/problems/tr…

解题方法

递归法

/**
 * Definition for a binary tree node.
 * public class TreeNode {
 *     int val;
 *     TreeNode left;
 *     TreeNode right;
 *     TreeNode() {}
 *     TreeNode(int val) { this.val = val; }
 *     TreeNode(int val, TreeNode left, TreeNode right) {
 *         this.val = val;
 *         this.left = left;
 *         this.right = right;
 *     }
 * }
 */
class Solution {
    public TreeNode trimBST(TreeNode root, int low, int high) {
        return traversal(root, low, high);
    }

    private TreeNode traversal(TreeNode root, int low, int high) {
        if (root == null) {
            return null;
        }
        if (root.val > high) {
            return traversal(root.left, low, high);
        }
        if (root.val < low) {
            return traversal(root.right, low, high);
        }
        // 保留
        if (root.val >= low && root.val <= high) {
            root.left = traversal(root.left, low, high);
            root.right = traversal(root.right, low, high);
        }
        return root;
    }
}

复杂度分析

  • 时间复杂度:O(n),其中 n 是二叉树的节点数,每一个节点恰好被遍历一次
  • 空间复杂度:O(n),为递归过程中栈的开销,平均情况下为 O(log⁡n),最坏情况下树呈现链状,为 O(n)