【陪伴式刷题】Day 18|二叉树|654.最大二叉树(Maximum Binary Tree)

915 阅读3分钟

刷题顺序按照代码随想录建议

题目描述

英文版描述

You are given an integer array nums with no duplicates. A maximum binary tree can be built recursively from nums using the following algorithm:

  1. Create a root node whose value is the maximum value in nums.
  2. Recursively build the left subtree on the subarray prefix to the left of the maximum value.
  3. Recursively build the right subtree on the subarray suffix to the right of the maximum value.

Return the maximum binary tree built from nums.

Example 1:

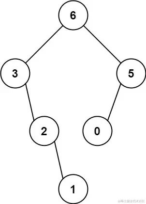
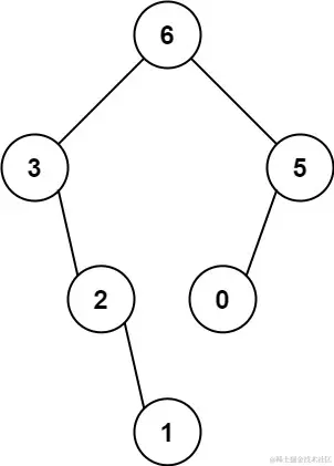
Input: nums = [3,2,1,6,0,5] Output: [6,3,5,null,2,0,null,null,1] Explanation: The recursive calls are as follow: - The largest value in [3,2,1,6,0,5] is 6. Left prefix is [3,2,1] and right suffix is [0,5]. - The largest value in [3,2,1] is 3. Left prefix is [] and right suffix is [2,1]. - Empty array, so no child. - The largest value in [2,1] is 2. Left prefix is [] and right suffix is [1]. - Empty array, so no child. - Only one element, so child is a node with value 1. - The largest value in [0,5] is 5. Left prefix is [0] and right suffix is []. - Only one element, so child is a node with value 0. - Empty array, so no child.

Example 2:

Input: nums = [3,2,1] Output: [3,null,2,null,1]

Constraints:

  • 1 <= nums.length <= 1000
  • 0 <= nums[i] <= 1000
  • All integers in nums are unique.

英文版地址

leetcode.com/problems/ma…

中文版描述

给定一个不重复的整数数组 nums最大二叉树 可以用下面的算法从 nums 递归地构建:

  1. 创建一个根节点,其值为 nums 中的最大值。
  2. 递归地在最大值 左边子数组前缀上 构建左子树。
  3. 递归地在最大值 右边子数组后缀上 构建右子树。

返回 nums 构建的 最大二叉树 ****。

示例 1:

输入: nums = [3,2,1,6,0,5] 输出: [6,3,5,null,2,0,null,null,1] 解释: 递归调用如下所示: - [3,2,1,6,0,5] 中的最大值是 6 ,左边部分是 [3,2,1] ,右边部分是 [0,5] 。 - [3,2,1] 中的最大值是 3 ,左边部分是 [] ,右边部分是 [2,1] 。 - 空数组,无子节点。 - [2,1] 中的最大值是 2 ,左边部分是 [] ,右边部分是 [1] 。 - 空数组,无子节点。 - 只有一个元素,所以子节点是一个值为 1 的节点。 - [0,5] 中的最大值是 5 ,左边部分是 [0] ,右边部分是 [] 。 - 只有一个元素,所以子节点是一个值为 0 的节点。 - 空数组,无子节点。

示例 2:

输入: nums = [3,2,1] 输出: [3,null,2,null,1]

提示:

  • 1 <= nums.length <= 1000
  • 0 <= nums[i] <= 1000
  • nums 中的所有整数 互不相同

中文版地址

leetcode.cn/problems/ma…

解题方法

/**
 * Definition for a binary tree node.
 * public class TreeNode {
 *     int val;
 *     TreeNode left;
 *     TreeNode right;
 *     TreeNode() {}
 *     TreeNode(int val) { this.val = val; }
 *     TreeNode(int val, TreeNode left, TreeNode right) {
 *         this.val = val;
 *         this.left = left;
 *         this.right = right;
 *     }
 * }
 */
class Solution {
    public TreeNode constructMaximumBinaryTree(int[] nums) {
        return recursion(nums, 0, nums.length);
    }

    // 左闭右开
    private TreeNode recursion(int[] nums, int start, int end) {
        if (end <= start) {
            return null;
        }
        if (end - start == 1) {
            return new TreeNode(nums[start]);
        }
        //  获取根节点序号
        int max = nums[start];
        int maxIndex = start;
        for (int i = start; i < end; i++) {
            if (nums[i] > max) {
                max = nums[i];
                maxIndex = i;
            }
        }
        TreeNode root = new TreeNode(nums[maxIndex]);
        if (maxIndex - start > 0) {
            root.left = recursion(nums, start, maxIndex);
        }
        if (end - (maxIndex + 1) > 0) {
            root.right = recursion(nums, maxIndex + 1, end);
        }
        return root;
    }
        
}

复杂度分析

  • 时间复杂度:O(n^2),其中 n 是数组 nums 的长度,在最坏的情况下,数组严格递增或递减,需要递归 nnn 层,第 i (0≤i<n) 层需要遍历 n−i 个元素以找出最大值,总时间复杂度为 O(n^2)
  • 空间复杂度:O(n),为递归过程中栈的开销,最坏情况下为 O(n)