R语言非参数方法:使用核方法和K-NN(k近邻算法)分类预测心脏病数据|附代码数据

101 阅读5分钟

原文链接: tecdat.cn/?p=22181 

原文出处:拓端数据部落公众号

 最近我们被客户要求撰写关于非参数方法的研究报告,包括一些图形和统计输出。

本文考虑一下基于核方法进行分类预测。注意,在这里,我们不使用标准逻辑回归,它是参数模型

非参数方法

用于函数估计的非参数方法大致上有三种:核方法、局部多项式方法、样条方法。
非参的函数估计的优点在于稳健,对模型没有什么特定的假设,只是认为函数光滑,避免了模型选择带来的风险;但是,表达式复杂,难以解释,计算量大是非参的一个很大的毛病。所以说使用非参有风险,选择需谨慎。
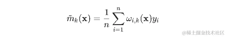
非参的想法很简单:函数在观测到的点取观测值的概率较大,用x附近的值通过加权平均的办法估计函数f(x)的值。

核方法

当加权的权重是某一函数的核,这种方法就是核方法,常见的有Nadaraya-Watson核估计与Gasser-Muller核估计方法,也就是很多教材里谈到的NW核估计与GM核估计,这里我们还是不谈核的选择,将一切的核估计都默认用Gauss核处理。
NW核估计形式为:


 

GM核估计形式为:

式中

数据

使用心脏病数据,预测急诊病人的心肌梗死,包含变量:

  1. 心脏指数
  2. 心搏量指数
  3. 舒张压
  4. 肺动脉压
  5. 心室压力
  6. 肺阻力
  7. 是否存活

既然我们知道核估计是什么,我们假设k是N(0,1)分布的密度。在x点,使用带宽h,我们得到以下代码

 
dnorm(( 心搏量指数-x)/bw, mean=0,sd=1)
weighted.mean( 存活,w)}
plot(u,v,ylim=0:1, 

​

当然,我们可以改变带宽。

Vectorize( mean_x(x,2))(u)


​

我们观察到:带宽越小,我们得到的方差越大,偏差越小。“越大的方差”在这里意味着越大的可变性(因为邻域越小,计算平均值的点就越少,估计值也就越不稳定),以及“偏差越小”,即期望值应该在x点计算,所以邻域越小越好。

使用光滑函数

用R函数来计算这个核回归。

smooth( 心搏量指数, 存活, ban  = 2*exp(1) 

我们可以复制之前的估计。然而,输出不是一个函数,而是两个向量序列。此外,正如我们所看到的,带宽与我们以前使用的带宽并不完全相同。


smooth(心搏量指数,存活,"normal",bandwidth = bk)
optim(bk,f)$par}
x=seq(1,10,by=.1)
plot(x,y)
abline(0,exp(-1),col="red")


​

斜率为0.37,实际上是e^{-1}。

高维应用

现在考虑我们的双变量数据集,并考虑一些单变量(高斯)核的乘积

w = dnorm((df$x1-x)/bw1, mean=0,sd=1)*
      dnorm((df$x2-y)/bw2, mean=0,sd=1)
  w.mean(df$y=="1",w)
contour(u,u,v,levels = .5,add=TRUE)

​

我们得到以下预测

在这里,不同的颜色是概率。

K-NN(k近邻算法)

另一种方法是考虑一个邻域,它不是用到点的距离来定义的,而是用我们得到的n观测值来定义k邻域(也就是k近邻算法)。

接下来,我们自己编写函数来实现K-NN(k近邻算法):

困难的是我们需要一个有效的距离。

如果每个分量的单位都非常不同,那么使用欧几里德距离将毫无意义。所以,我们考虑马氏距离

mahalanobis = function(x,y,Sinv){as.numeric(x-y)%*%Sinv%*%t(x-y)}
mahalanobis(my[i,1:7],my[j,1:7])

​

这里我们有一个函数来寻找k最近的邻居观察样本。然后可以做两件事来得到一个预测。我们的目标是预测一个类,所以我们可以考虑使用一个多数规则:对yi的预测与大多数邻居样本的预测是一样的。


  for(i in 1:length(Y)) Y[i] = sort(  存活[k_closest(i,k)])[(k+1)/2]

我们也可以计算出最近邻居中黑点的比例。它实际上可以被解释为是黑色的概率,

for(i in 1:length(Y)) Y[i] = mean( 存活[k_closest(i,k)])
 

​

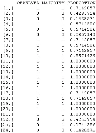
我们可以在数据集上看到观察结果,基于多数原则的预测,以及死亡样本在7个最近的邻居中的比例

k_ma(7),PROPORTION=k_mean(7))

这里,我们得到了一个位于 x 的观测点的预测,但实际上,可以寻找任何 x的最近邻k。回到我们的单变量例子(得到一个图表),我们有

w = rank(abs(心搏量指数-x),method ="random")
  mean(存活[which(<=9)])}


​

不是很平滑,但我们的点也不是很多。
如果我们在二维数据集上使用这种方法,我们就会得到以下的结果。


  k = 6
   dist = function(j)  mahalanobis(c(x,y))
  vect = Vectorize( dist)(1:nrow(df)) 
  idx  = which(rank(vect<=k)
 
contour(u,u,v,levels = .5,add=TRUE)

​

这就是局部推理的思想,用kernel对 x的邻域进行推理,或者用k-NN近邻。


最受欢迎的见解

1.从决策树模型看员工为什么离职

2.R语言基于树的方法:决策树,随机森林

3.python中使用scikit-learn和pandas决策树

4.机器学习:在SAS中运行随机森林数据分析报告

5.R语言用随机森林和文本挖掘提高航空公司客户满意度

6.机器学习助推快时尚精准销售时间序列

7.用机器学习识别不断变化的股市状况——隐马尔可夫模型的应用

8.python机器学习:推荐系统实现(以矩阵分解来协同过滤)

9.python中用pytorch机器学习分类预测银行客户流失