LeetCode Day50

100 阅读6分钟

198. 打家劫舍

你是一个专业的小偷,计划偷窃沿街的房屋。每间房内都藏有一定的现金,影响你偷窃的唯一制约因素就是相邻的房屋装有相互连通的防盗系统,如果两间相邻的房屋在同一晚上被小偷闯入,系统会自动报警。 给定一个代表每个房屋存放金额的非负整数数组,计算你 不触动警报装置的情况下 ,一夜之内能够偷窃到的最高金额。

示例 1: 输入:[1,2,3,1] 输出:4 解释:偷窃 1 号房屋 (金额 = 1) ,然后偷窃 3 号房屋 (金额 = 3)。 偷窃到的最高金额 = 1 + 3 = 4 。 示例 2: 输入:[2,7,9,3,1] 输出:12 解释:偷窃 1 号房屋 (金额 = 2), 偷窃 3 号房屋 (金额 = 9),接着偷窃 5 号房屋 (金额 = 1)。 偷窃到的最高金额 = 2 + 9 + 1 = 12 。

提示:

  • 1 <= nums.length <= 100
  • 0 <= nums[i] <= 400

思路

  1. 确定dp数组(dp table)以及下标的含义 定义一个整数数组 dp,其中 dp[i] 表示在考虑前 i+1 个房屋(即,房屋 0, 1, ..., i)时能偷窃到的最高金额。
  2. 确定递推公式 对于第 i 个房屋,有两种选择:
  • 偷窃它:此时不能偷窃第 i-1 个房屋,所以最高金额是第 i-2 个房屋能偷窃到的最高金额加上第 i 个房屋的金额,即 dp[i-2] + nums[i]
  • 不偷窃它:此时能偷窃到的最高金额就是第 i-1 个房屋能偷窃到的最高金额,即 dp[i-1]

因此,递推公式是 dp[i] = max(dp[i-2] + nums[i], dp[i-1])

  1. dp数组如何初始化
  • dp[0] = nums[0],因为只有第 0 个房屋,所以只能偷窃这一个。
  • dp[1] = max(nums[0], nums[1]),因为只有第 0 和第 1 个房屋,所以选择金额较大的那一个。
  1. 确定遍历顺序 从第 2 个房屋(下标为 2)开始,一直到第 n-1 个房屋(下标为 n-1)。
  2. 举例推导dp数组nums = [2, 7, 9, 3, 1] 为例:
  • dp[0] = 2
  • dp[1] = 7
  • dp[2] = max(2 + 9, 7) = 11
  • dp[3] = max(7 + 3, 11) = 11
  • dp[4] = max(11 + 1, 11) = 12

最终,dp[n-1] 就是我们要求的答案。

题解

class Solution {
public:
    int rob(vector<int>& nums) {
        int n=nums.size();
        vector<int> dp(n,0);
        if(n==0)return 0;
        if(n==1)return nums[0];
        dp[0]=nums[0];
        dp[1]=max(nums[0],nums[1]);
        for(int i=2;i<n;i++){
            dp[i]=max(dp[i-2]+nums[i],dp[i-1]);
        }
        return dp[n-1];
    }
};

213. 打家劫舍 II

你是一个专业的小偷,计划偷窃沿街的房屋,每间房内都藏有一定的现金。这个地方所有的房屋都 围成一圈 ,这意味着第一个房屋和最后一个房屋是紧挨着的。同时,相邻的房屋装有相互连通的防盗系统,如果两间相邻的房屋在同一晚上被小偷闯入,系统会自动报警 。 给定一个代表每个房屋存放金额的非负整数数组,计算你 在不触动警报装置的情况下 ,今晚能够偷窃到的最高金额。

示例 1: 输入:nums = [2,3,2] 输出:3 解释:你不能先偷窃 1 号房屋(金额 = 2),然后偷窃 3 号房屋(金额 = 2), 因为他们是相邻的。 示例 2: 输入:nums = [1,2,3,1] 输出:4 解释:你可以先偷窃 1 号房屋(金额 = 1),然后偷窃 3 号房屋(金额 = 3)。 偷窃到的最高金额 = 1 + 3 = 4 。 示例 3: 输入:nums = [1,2,3] 输出:3

提示:

  • 1 <= nums.length <= 100
  • 0 <= nums[i] <= 1000

思路

这个问题是一个环形房屋数组的变种。可以将问题转换为两个独立的房屋偷窃问题,然后取两者中的最大值。

  1. 第一个问题:考虑偷窃第一个房子和倒数第二个房子之间的所有房子(不包括最后一个房子)。
  2. 第二个问题:考虑偷窃第二个房子和最后一个房子之间的所有房子(不包括第一个房子)。

两个问题都可以用上一题的方法解决。

题解

class Solution {
public:
    int robRange(vector<int>& nums, int start, int end) {
        int n = end - start + 1;
        if (n == 1) return nums[start];
        
        vector<int> dp(n, 0);
        dp[0] = nums[start];
        dp[1] = max(nums[start], nums[start + 1]);
        
        for (int i = 2; i < n; ++i) {
            dp[i] = max(dp[i - 1], dp[i - 2] + nums[start + i]);
        }
        
        return dp[n - 1];
    }
    
    int rob(vector<int>& nums) {
        int n = nums.size();
        if (n == 1) return nums[0];
        
        return max(robRange(nums, 0, n - 2), robRange(nums, 1, n - 1));
    }
};

337. 打家劫舍 III

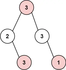
小偷又发现了一个新的可行窃的地区。这个地区只有一个入口,我们称之为 root 。 除了 root 之外,每栋房子有且只有一个“父“房子与之相连。一番侦察之后,聪明的小偷意识到“这个地方的所有房屋的排列类似于一棵二叉树”。 如果 两个直接相连的房子在同一天晚上被打劫 ,房屋将自动报警。 给定二叉树的 root 。返回 在不触动警报的情况下 ,小偷能够盗取的最高金额 。

示例 1: 输入: root = [3,2,3,null,3,null,1] 输出: 7 解释: 小偷一晚能够盗取的最高金额 3 + 3 + 1 = 7 示例 2: 输入: root = [3,4,5,1,3,null,1] 输出: 9 解释: 小偷一晚能够盗取的最高金额 4 + 5 = 9

思路

这个问题需要考虑二叉树上的动态规划。 可以使用一个递归函数,该函数返回一个包含两个元素的数组,表示对于给定的树:

  • 第一个元素是不偷这个树的根节点可以得到的最大金额。
  • 第二个元素是偷这个树的根节点可以得到的最大金额。

这样,对于每个节点,你都有两个选择:偷或不偷。选择偷的话,你就不能偷它的子节点;选择不偷的话,你就可以选择是否偷它的子节点。

题解

/**
 * Definition for a binary tree node.
 * struct TreeNode {
 *     int val;
 *     TreeNode *left;
 *     TreeNode *right;
 *     TreeNode() : val(0), left(nullptr), right(nullptr) {}
 *     TreeNode(int x) : val(x), left(nullptr), right(nullptr) {}
 *     TreeNode(int x, TreeNode *left, TreeNode *right) : val(x), left(left), right(right) {}
 * };
 */
class Solution {
public:
    vector<int> robSub(TreeNode* root) {
        if (root == nullptr) return {0, 0};
        
        vector<int> left = robSub(root->left);
        vector<int> right = robSub(root->right);
        
        int rob = root->val + left[0] + right[0];
        int notRob = max(left[0], left[1]) + max(right[0], right[1]);
        
        return {notRob, rob};
    }
    
    int rob(TreeNode* root) {
        vector<int> result = robSub(root);
        return max(result[0], result[1]);
    }
};