【陪伴式刷题】Day 13|二叉树| 102.二叉树的层序遍历(Binary Tree Level Order Traversal)

432 阅读1分钟

刷题顺序按照代码随想录建议

题目描述

英文版描述

Given the root of a binary tree, return the level order traversal of its nodes' values. (i.e., from left to right, level by level).

Example 1:

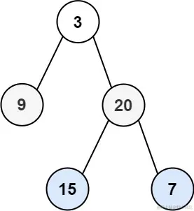
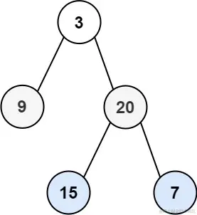
Input: root = [3,9,20,null,null,15,7] Output: [[3],[9,20],[15,7]]

Example 2:

Input: root = [1] Output: [[1]]

Example 3:

Input: root = [] Output: []

Constraints:

  • The number of nodes in the tree is in the range [0, 2000].
  • -1000 <= Node.val <= 1000

英文版地址

leetcode.com/problems/bi…

中文版描述

给你二叉树的根节点 root ,返回其节点值的 层序遍历 。 (即逐层地,从左到右访问所有节点)。

示例 1:

输入: root = [3,9,20,null,null,15,7] 输出: [[3],[9,20],[15,7]]

示例 2:

输入: root = [1] 输出: [[1]]

示例 3:

输入: root = [] 输出: []

提示:

  • 树中节点数目在范围 [0, 2000]
  • -1000 <= Node.val <= 1000

中文版地址

leetcode.cn/problems/bi…

解题方法

/**
 * Definition for a binary tree node.
 * public class TreeNode {
 *     int val;
 *     TreeNode left;
 *     TreeNode right;
 *     TreeNode() {}
 *     TreeNode(int val) { this.val = val; }
 *     TreeNode(int val, TreeNode left, TreeNode right) {
 *         this.val = val;
 *         this.left = left;
 *         this.right = right;
 *     }
 * }
 */
class Solution {
    List<List<Integer>> result = new LinkedList<>();
    public List<List<Integer>> levelOrder(TreeNode root) {
        if (root == null) {
            return result;
        }
        Deque<TreeNode> deque = new LinkedList<>();
        deque.addLast(root);
        int size = deque.size();
        List<Integer> line = new LinkedList<>();
        while (size-- > 0) {
            TreeNode treeNode = deque.pollFirst();
            TreeNode left = treeNode.left;
            if (left != null) {
                deque.addLast(left);
            }
            TreeNode right = treeNode.right;
            if (right != null) {
                deque.addLast(right);
            }
            line.add(treeNode.val);
            if (size == 0) {
                result.add(new LinkedList<>(line));
                line = new LinkedList<>();
                size = deque.size();
            }

        }
        return result;

    }
}

复杂度分析

  • 时间复杂度:O(n),其中 n 是二叉树的节点数,每一个节点进一次队列出一次队列
  • 空间复杂度:O(n),其中 n 是二叉树中的节点个数,空间复杂度取决于队列开销,队列中的节点个数不会超过 n