【陪伴式刷题】Day 12|二叉树| 145.二叉树的后序遍历(Binary Tree Postorder Traversal)

318 阅读2分钟

刷题顺序按照代码随想录建议

题目描述

英文版描述

Given the root of a binary tree, return the postorder traversal of its nodes' values.

Example 1:

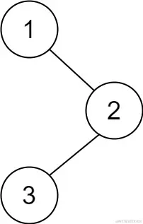
Input: root = [1,null,2,3] Output: [3,2,1]

Example 2:

Input: root = [] Output: []

Example 3:

Input: root = [1] Output: [1]

Constraints:

  • The number of the nodes in the tree is in the range [0, 100].
  • -100 <= Node.val <= 100

英文版地址

leetcode.com/problems/bi…

中文版描述

给你一棵二叉树的根节点 root ,返回其节点值的 后序遍历

示例 1:

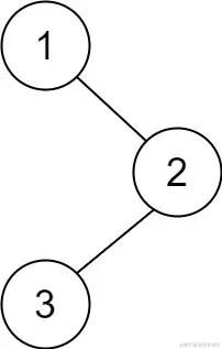
输入: root = [1,null,2,3] 输出: [3,2,1]

示例 2:

输入: root = [] 输出: []

示例 3:

输入: root = [1] 输出: [1]

提示:

  • 树中节点的数目在范围 [0, 100]
  • -100 <= Node.val <= 100

中文版地址

leetcode.cn/problems/bi…

解题方法

递归法

/**
 * Definition for a binary tree node.
 * public class TreeNode {
 *     int val;
 *     TreeNode left;
 *     TreeNode right;
 *     TreeNode() {}
 *     TreeNode(int val) { this.val = val; }
 *     TreeNode(int val, TreeNode left, TreeNode right) {
 *         this.val = val;
 *         this.left = left;
 *         this.right = right;
 *     }
 * }
 */
class Solution {
    List<Integer> result = new LinkedList<>();

     public List<Integer> postorderTraversal(TreeNode root) {
        traversal(root);
        return result;
    }

    private void traversal(TreeNode root) {
        if (root == null) {
            return;
        }
        traversal(root.left);
        traversal(root.right);
        result.add(root.val);
    }
}

复杂度分析

  • 时间复杂度:O(n),其中 n 是二叉树的节点数。每一个节点恰好被遍历一次
  • 空间复杂度:O(n),为递归过程中栈的开销,平均情况下为 O(log⁡n),最坏情况下树呈现链状,为 O(n)

迭代法

/**
 * Definition for a binary tree node.
 * public class TreeNode {
 *     int val;
 *     TreeNode left;
 *     TreeNode right;
 *     TreeNode() {}
 *     TreeNode(int val) { this.val = val; }
 *     TreeNode(int val, TreeNode left, TreeNode right) {
 *         this.val = val;
 *         this.left = left;
 *         this.right = right;
 *     }
 * }
 */
class Solution {
    List<Integer> result = new ArrayList<>();

     public List<Integer> postorderTraversal(TreeNode root) {
       if (root == null) {
            return result;
        }
        ArrayDeque<TreeNode> deque = new ArrayDeque<>();
        deque.add(root);
        while (!deque.isEmpty()) {
            TreeNode treeNode = deque.pollLast();
            if (treeNode != null) {
                result.add(treeNode.val);
                TreeNode left = treeNode.left;
                if (left != null) {
                    deque.addLast(left);
                }
                TreeNode right = treeNode.right;
                if (right != null) {
                    deque.addLast(right);
                }

            }

        }
        List<Integer> result2 = new LinkedList<>();
        for (int i = result.size() - 1; i >= 0; i--) {
            result2.add(result.get(i));
        }
        return result2;
    }

}

复杂度分析

  • 时间复杂度:O(n),其中 n 是二叉树的节点数。每一个节点恰好被遍历一次
  • 空间复杂度:O(n),为迭代过程中栈的开销,平均情况下为 O(log⁡n),最坏情况下树呈现链状,为 O(n)