【LeetCode链表专题】 #19.删除链表的倒数第N个结点

78 阅读1分钟

题目

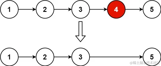
给你一个链表,删除链表的倒数第 n 个结点,并且返回链表的头结点。

19. 删除链表的倒数第 N 个结点 - 力扣(LeetCode)

remove_ex1.jpg

示例1

输入:head = [1,2,3,4,5], n = 2 输出:[1,2,3,5]

示例2

输入:head = [1], n = 1 输出:[]

示例3

输入:head = [1,2], n = 1 输出:[1]

提示:

链表中结点的数目为 sz 1 <= sz <= 30 0 <= Node.val <= 100 1 <= n <= sz

进阶:你能尝试使用一趟扫描实现吗?

Java解法


class Solution {
    public ListNode removeNthFromEnd(ListNode head, int n) {
        if ((head == null) || n <= 0) return head;
        ListNode first = head, second = head;
        for (int i = 1; i <= n; ++i) {
            if (second == null) return head;
            second = second.next;
        }

        if (second == null) {
            first = head;
            head = head.next;
            // 切断联系;
            first.next = null;
            first = null;
            return head;
        }

        while (second.next != null) {
            first = first.next;
            second = second.next;
        }

        second = first.next;
        first.next = second.next;
        // 切断联系;
        second.next = null;
        second = null;
        return head;
    }
}

LC-19-Java.PNG

C++解法

/**
 * Definition for singly-linked list.
 * struct ListNode {
 *     int val;
 *     ListNode *next;
 *     ListNode() : val(0), next(nullptr) {}
 *     ListNode(int x) : val(x), next(nullptr) {}
 *     ListNode(int x, ListNode *next) : val(x), next(next) {}
 * };
 */
class Solution {
public:
    ListNode* removeNthFromEnd(ListNode* head, int n) {
        // 基本条件检测
        if (!head || n <= 0) return head;
        // 推进;
        ListNode *pFirst = head, *pSecond = head;
        for (int i = 1; i <= n; ++i) {
            if (!pSecond) return head;
            pSecond = pSecond->next;
        }

        // 检测;
        if (pSecond == nullptr) {
            pFirst = head, head = head->next;
            delete pFirst;
            return head;
        }

        // 继续推进
        while (pSecond->next) {
            pFirst = pFirst->next;
            pSecond = pSecond->next;
        }

        pSecond = pFirst->next;
        pFirst->next = pSecond->next;
        delete pSecond;
        return head;
    }
};

LC-19-Cpp.PNG

关于作者

  • GoGoDeveloper 毕业于中国科学技术大学, 目前是【抖音业务线软件开发工程师】。
  • 学习 C++, 算法刷题交流、优质编程资料共享、大厂内推机会,关注 GoGoDeveloper.

1. 微信公众号

GoLight.png

2. 知识星球

微信图片_20231022095855.jpg