关于Vue3 diff算法的三两事

560 阅读8分钟

前言

这段时间在学习Vue的渲染相关的知识,通过阅读霍春阳老师的《VueJs设计与实现》以及自己的上手实践,也是对Vue的如何进行渲染有了更深的认识。

Vue的渲染,涉及到页面初始化,以及更新(包括对节点的增删改)等。那么说起更新,就不得不提起Vue的diff算法了。

虚拟DOM

在说diff算法之前,我们首先来了解一下虚拟DOM。

那么什么是虚拟DOM呢?简单来说,虚拟DOM就是一个对象,它是用来描述真实DOM的。

{
    type:"div",
    props:{
        id:"app",
        class:"mt_18"
    },
    children:[]
}

上述给出的伪代码,就是虚拟DOM的庐山真面目了,怎么样?也没有这么神秘吧?

那么Vue为什么要用虚拟DOM来描述真实DOM呢,包括React、Angular等主流框架也采用虚拟DOM,虚拟DOM有什么好处呢?

当我们操作真实DOM时,浏览器都会对整个页面进行重新渲染,如果DOM节点数不多的情况下并不会有什么影响。但在大型项目中,DOM节点数是非常多的,如果我们仅仅修改了一处DOM就要重新渲染整个页面的话,对浏览器来说负担还是比较大的。

而虚拟DOM它能保证渲染性能的下限,让浏览器用最少的操作来渲染真实DOM,只重新滚渲染有差异的DOM节点。那么,在DOM节点数非常庞大的情况下,就可以极大的提升性能,而不是“牵一发动全身”。

快速diff

在Vue3中采用了新的比较新旧两组子节点的算法——快速diff

那么它的核心是什么呢?

找出新旧子节点中相同的前置以及后置节点,对其进行patch更新,若中间的节点无法进行简单的增删实现更新,则根据节点的索引关系构造出最长递增子序列,尽最大可能减少节点的移动,提高性能。(以上是我根据霍春阳老师的《Vue.JS设计与实现》提炼的)

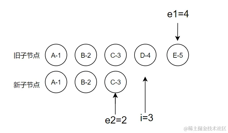
光看这段话还是比较晦涩难懂的,废话不多说,直接上图!

首先来看看前置和后置的比较,初始大概是这样的:

image.png 首先是前置,i指针指向新旧子节点的开头,而e1和e2指针分别指向旧新子节点的结尾,循环遍历,直到节点不相同为止,伪代码如下:

function isSameVNodeType(n1, n2) {
  return n1.type === n2.type && n1.key === n2.key;
}
while (i <= e1 && i <= e2) {
  const n1 = oldChildren[i];
  const n2 = newChildren[i];
  if (isSameVNodeType(n1, n2)) {
    patch(n1, n2, container);
  } else {
    break;
  }
  i++;
}

那么比较两个节点相同的条件是什么呢?首先是节点的类型(比如说都是p或者div等) 得相同,但这样就够了吗?如果两个节点类型相同,但是children不一样的话就会无法确认对应的关系了,所以这也是Vue中key的重要作用,可以把它当作每一个节点的唯一标识,就像我们的身份证一样,都是独一无二的。

那么我们给节点加上key后,经过前置对比的结果如下图:

image.png

随后进行后置的对比,伪代码如下:

while (i <= e1 && i <= e2) {
    const n1 = oldChildren[e1];
    const n2 = newChildren[e2];
    if (isSameVNodeType(n1, n2)) {
        patch(n1, n2, container);
    } else {
        break;
    }
    e1--;
    e2--;
}

进行后置对比后,结果如下图:

image.png

在上述的前置和后置比较中,为什么节点相同时要对它进行patch呢? 因为节点虽然是同一个节点,但是它的children可能会发生变化 (或是文本内容发生更改,或是有了多个子节点) ,所以需要对它进行重新更新,比如下面这种情况。

// oldVNode
{
    type:"p",
    props:{
        key:1
    },
    children:"hello"
}
//newVNode
{
type:"p",
    props:{
        key:1
    },
    children:"hello world"
}

前后置对比完后,在理想情况下,我们只需要对newChildren中多出的节点进行添加,没有的节点进行删除即可。

而在不理想的情况下,需要对节点进行移动,新增和删除。

首先,我们先来看看理想情况。

理想情况

newChildren比oldChildren短

image.png 理想情况下,没有需要移动的节点,当newChildren比oldChildren短时,只需要删除掉oldChildren中多余的节点,当i小于等于e1时,进行删除操作,伪代码如下。

if(i > e2 && i <= e1) {
    while(i <= e1){
        unmount(oldChilren[i++])
    }
}

newChildren比oldChildren长

image.png 当newChildren比oldChildren长时,只需要新增oldChildren中oldChildren中没有的节点,当i小于等于e2时,进行新增操作,伪代码如下。

   else if(i > e1 && i <= e2){
       const nextPos = e2 + 1;
       const anchor = nextPos > newChildren.length ? null : newChildren[nextPos].el;
       while(i <= e2) {
           patch(null, newChildren[i],container, anchor);
           i++;
       }
   }

与删除不同的是,新增需要找到锚点,也就是说需要找到元素要新增在哪里。

新增的索引位置位于e2+1(也就是oldChildren和newChildren从末尾到开头最后一个相同的节点)的前面,当它大于newChildren的长度时,说明新元素要新增在节点末尾。

看到这里,如果大家忘了i、e1、e2各自的含义,不妨重新温习一下。

i指向newChildren和oldChildren的前置节点,遍历过后指向newChildren和oldChildren前置节点第一个不同的节点索引; e1和e2指向newChildren和oldChildren的后置节点,遍历过后指向newChildren和oldChildren后置节点第一个不同的节点索引

复杂情况

接下来就是比较复杂的情况了,就比如开头的那种情况:

image.png 可以发现,此时无法单纯的对元素进行简单的增加删除就可以完成的了,此时需要对元素进行移动才能完成更新。

在Vue3中,定义了一个source数组,长度为newChildren未处理的节点数量,也就是e2-i+1,这个数组用于存储newChildren的子节点在oldChildren子节点中的位置索引,后续用其生成最长递增子序列,计算出最少需要移动的节点。

首先,遍历newChildren,通过未处理的节点生成key:value的映射表,key为子节点的key值,value为子节点的索引值,便于在后续查找元素索引(也是为了降低双重for循环带来的时间复杂度)。

   else{
      const s1 = i;
      const s2 = i;
      let patched = 0; // 已更新节点的数量
      const count = e2 - i + 1; // 表示未处理的节点数量
      // 初始值填充为-1,表示需要创建的新节点
      const source = new Array(count).fill(-1); 
      const newIndexMap = new Map();
      
      let moved = false; // 是否需要移动
      let maxNewIndex = 0; // 表示遍历时该节点之前最大的索引值
      
      for(let i = s2;i <= e2;i++) {
          // 记录
          const newChild = newChildren[i];
          newIndexMap.set(newChild.key, i);
      }
      ...
   } 

接着,我们就可以遍历oldChildren,找出可复用的节点,对其进行更新,也去收集它在oldChildren中的索引位置,接着上述代码接着写。

    for(let i = s1;i <= e1;i++) {
        if(patched >= count){
            // 如果已经更新的数量大于了需要更新的总数量,
            // 说明剩下的都是多余的节点,直接卸载
            unmount(oldChild[i]);
            continue;
        }
        
        const oldChild = oldChildren[i];
        
        let newIndex; // 可复用节点在newChildren中的索引
        
        if(oldChild.key != null) {
            // 找到了,将值赋给newIndex
            newIndex = newIndexMap.get(oldChild.key);
        }
        
        if(!newIndex) {
            // 没找到,直接卸载该节点
            unmount(oldChild);
        }else{
            // 如果获取的子节点索引大于上一个节点索引,
            // 则重新赋值,表示节点索引是递增的,不需要移动
            if(newIndex >= maxNewIndex) {
                newIndex = maxNewIndex;
            }else { 
            //否则,说明节点需要进行移动
                moved = true;
            }
            
            source[newIndex-s2] = i;
            patch(oldChild, newChildren[newIndex], container);
            patched++; // 更新的节点数量加一
        }
    }
    

接下来,我们来根据图来加深对这段代码的理解。

image.png

image.png 可以看到,根据代码所生成的source数组为[3,1,2]

随后,通过最长递增子序列算法生成source的最长递增子序列,结果为[1,2],这里的1和2并不是数组中的值1和2,而是它们数组中对应的下标

    if(moved){
        const seq = getSequence(source);
        let j = seq - 1;
        // 此循环相当于遍历source数组
        for(let i = count-1;i >= 0;i--) {
            const nextIndex = s2+i; // 获取元素的真实索引
            const nextChild = newChildren[nextIndex];
            // 获取元素添加的位置
            const anchor = nextIndex+1 > newChildren.length ? newChildren[nextIndex+1].el : null;
            if(source[i] === -1) {
            // 说明该节点并未在oldChildren中,是全新的,需要创建
                patch(null, nextChild, container,anchor);
            }else {
                if(j < 0 || i !== seq[j]) {
                // 说明节点是需要移动的,对节点进行移动
                    insert(nextChild.el, container, anchor);
                }else{
                // 否则,说明节点不需要移动,j指针往前移
                    j--;
                }
            }
            
        }
    }

seq数组是根据source数组生成的最长递增子序列,而source数组的值是newChildren未处理节点在oldChildren中的索引,根据上述可以看出D-4是需要移动的,B-2、C-3是不需要移动的。

那么为什么要从后往前遍历呢?是为了保证当前节点的后续节点都处理完成了,避免未处理的节点对当前节点的影响。

总结

以上,就是我个人对diff算法的理解了,如果有讲述的不清楚、错误的地方欢迎大家评论批评。