【链表】day9_19. 删除链表的倒数第 N 个结点

37 阅读1分钟

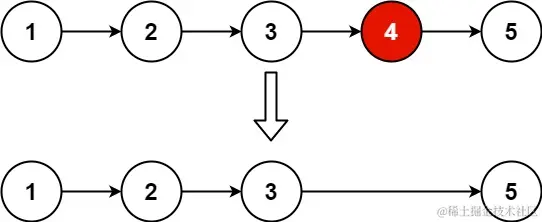
给你一个链表,删除链表的倒数第 n **个结点,并且返回链表的头结点。

  示例 1:

输入: head = [1,2,3,4,5], n = 2
输出: [1,2,3,5]

示例 2:

输入: head = [1], n = 1
输出: []

示例 3:

输入: head = [1,2], n = 1
输出: [1]

提示:

  • 链表中结点的数目为 sz
  • 1 <= sz <= 30
  • 0 <= Node.val <= 100
  • 1 <= n <= sz

题解

思路:

1.定义左右指针,右指针先走n+1步,使左右指针之间的元素个数为n个(注意:先定义一个伪头节点,指向head,防止右指针走不了n+1步就为null)

2.左右指针同时走,当右指针刚好为null时,说明左指针的下一个节点就是第N个节点

时间复杂度:O(n) 空间复杂度:O(n)

/**
 * Definition for singly-linked list.
 * public class ListNode {
 *     int val;
 *     ListNode next;
 *     ListNode() {}
 *     ListNode(int val) { this.val = val; }
 *     ListNode(int val, ListNode next) { this.val = val; this.next = next; }
 * }
 */
class Solution {
    public ListNode removeNthFromEnd(ListNode head, int n) {
        // 定义伪头节点
        ListNode result = new ListNode(0, head);

        ListNode left = result;
        ListNode right = result;

        // 移动右指针,使左右指针的元素个数为n
        for(int i = 0; i <= n; i++){
            right = right.next;
        }

        // 左右指针同时移动,当右指针刚好为null时,删除左指针的下一个节点
        while(right != null){
            left = left.next;
            right = right.next;
        }
        left.next = left.next.next;

        return result.next;
    }
}