【JS每日一算法】🟨137.重排链表(递归回溯)

222 阅读1分钟

给定一个单链表 L 的头节点 head ,单链表 L 表示为:

L0 → L1 → … → Ln - 1 → Ln

请将其重新排列后变为:

L0 → Ln → L1 → Ln - 1 → L2 → Ln - 2 → …

不能只是单纯的改变节点内部的值,而是需要实际的进行节点交换。

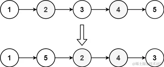
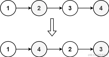
示例 1:

输入: head = [1,2,3,4]
输出: [1,4,2,3]

示例 2:

输入: head = [1,2,3,4,5]
输出: [1,5,2,4,3]

提示:

  • 链表的长度范围为 [1, 5 * 104]
  • 1 <= node.val <= 1000

题解:

个人博客

更多JS版本题解点击链接关注该仓库👀

/**
 * @description: 递归回溯  TC:O(n)  SC:O(1)
 * @author: JunLiangWang
 * @param {*} head 给定链表头节点
 * @return {*}
 */
function recursionBacktracking(head) {
    /**
     * 本方案采用递归回溯的方式,先使用递归
     * 遍历链表,直至最后一个节点,然后利用
     * 回溯来改变链表顺序
     */

    // 临时头节点
    let tempNode = head,
    // 是否完成顺序变更
        isSuccess = false

    /**
     * @description: 递归回溯
     * @author: JunLiangWang
     * @param {*} node 当前节点
     * @return {*}
     */        
    function recursion(node) {
        // 如果节点为空,直接return
        if (!node) return
        // 继续递归
        recursion(node.next)
        // 直到到达链表最后一个节点,开始回溯

        // 如果链表已经完成了顺序变更,直接return
        if (isSuccess) return
        // 当临时头节点等于当前节点 或者 其下一个节点
        // 等于当前节点,证明链表顺序重新排列完成
        if (tempNode == node || tempNode.next == node) {
            node.next = null
            isSuccess = true
            return
        }
        // 变更节点顺序

        node.next = tempNode.next;
        tempNode.next = node;
        tempNode = node.next;
    }
    // 执行递归回溯
    recursion(head)
    // 返回结果
    return head
}