【JS每日一算法】🟨135.环形链表II(哈希表、双指针)

174 阅读2分钟

给定一个链表的头节点  head ,返回链表开始入环的第一个节点。 如果链表无环,则返回 null

如果链表中有某个节点,可以通过连续跟踪 next 指针再次到达,则链表中存在环。 为了表示给定链表中的环,评测系统内部使用整数 pos 来表示链表尾连接到链表中的位置(索引从 0 开始)。如果 pos 是 -1,则在该链表中没有环。注意:pos 不作为参数进行传递,仅仅是为了标识链表的实际情况。

不允许修改 链表。

 

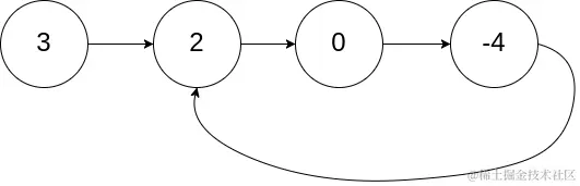
示例 1:

输入: head = [3,2,0,-4], pos = 1
输出: 返回索引为 1 的链表节点
解释: 链表中有一个环,其尾部连接到第二个节点。

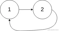
示例 2:

输入: head = [1,2], pos = 0
输出: 返回索引为 0 的链表节点
解释: 链表中有一个环,其尾部连接到第一个节点。

示例 3:

输入: head = [1], pos = -1
输出: 返回 null
解释: 链表中没有环。

 

提示:

  • 链表中节点的数目范围在范围 [0, 104] 内
  • -105 <= Node.val <= 105
  • pos 的值为 -1 或者链表中的一个有效索引

 

进阶: 你是否可以使用 O(1) 空间解决此题?

题解:

个人博客

更多JS版本题解点击链接关注该仓库👀

/**
 * @description: 哈希表  TC:O(n)  SC:O(n)
 * @author: JunLiangWang
 * @param {*} head  给定链表头节点
 * @return {*}
 */
function hashMap(head){
    /**
     * 本方案使用hashMap的方式,遍历链表节点并在
     * hashMap记录该节点,当遍历节点时查询hashMap
     * 中是否存在该节点,如果存在,则证明有环且该节
     * 点即为入环的第一个节点,直接返回该节点即可。
     * 能够遍历完成链表,证明无环,返回null即可
     */
    let map=new Map()
    while(head){
        if(map.get(head))return head
        map.set(head,true)
        head=head.next;
    }
    return null
}


/**
 * @description: 双指针  TC:O(n)  SC:O(1)
 * @author: JunLiangWang
 * @param {*} head 给定链表头节点
 * @return {*}
 */
function doublePoint(head){
    /**
     * 本方案采用双指针的方式,定义两指针slow,fast。
     * slow每次移动一个节点,fast每次移动两个节点,如
     * 果链表存在环,则在某时刻slow与fast指针将重合,
     * 如何不存在环,则能正常遍历完成链表
     * 
     * 如果有环的情况下,我们如果确定入环节点呢?答案
     * 就是slow与fast指针相遇时,我们再额外使用一个指
     * 针ptr。起始,它指向链表头部;随后,它和slow每
     * 次向后移动一个位置。最终,它们会在入环点相遇。
     * 
     * 你可以通过slow=2fast,然后通过设环外与环内变量
     * 得出该结论
     */
    if(!head)return null
    let slow=head,fast=head
    while(fast&&fast.next)
    {
        slow=slow.next;
        fast=fast.next.next
        if(slow==fast){
            while(slow!==head){
                slow=slow.next
                head=head.next
            }
            return head
        }
    }
    return null
}