CCF CSP 201503-4 网络延时 (求树的直径-树形DP)

40 阅读3分钟

根据题意很容易构建一棵有(n + m)个点的树,然后就是用树形DP法(其实就是DFS)求没棵子树的最大深度dp[i][0]和次大深度dp[i][1],最后线性遍历一每个点,记录最大深度和次大深度的最值,即为树的直径。

#include <cstdio>
#include <cstring>
#include <algorithm>
using namespace std;
const int N = 20007;
struct Edge {
	int to, nxt;
}e[N << 1];
int tot, head[N], dp[N][2];
void init() {
	tot = 0;
	memset(head, -1, sizeof head);
	memset(dp, 0, sizeof dp);
}
void add(int u, int v) {
	e[tot].to = v;
	e[tot].nxt = head[u];
	head[u] = tot++;
}
void dfs(int u, int fa) {
	for (int i= head[u]; ~i; i = e[i].nxt) if(e[i].to != fa) {
		int v = e[i].to;
		dfs(v, u);
		if(dp[u][0] < dp[v][0] + 1) {
			dp[u][1] = dp[u][0];
			dp[u][0] = dp[v][0] + 1;
		}
		else dp[u][1] = max(dp[u][1], dp[v][0] + 1);
	}
} 
int main()
{
	int n, m;
	while(~scanf("%d%d", &n, &m)) {
		init();
		int v;
		for (int i = 2; i <= n; ++i) {
			scanf("%d", &v);
			add(i, v);
			add(v, i);
		}
		for (int i = 1; i <= m; ++i) {
			scanf("%d", &v);
			add(i + n, v);
			add(v, i + n);			
		}
		dfs(1, 0);
		int maxLen = 0;
		for (int i = 1; i<= n + m; ++i) {
			//printf("%d %d %d\n", i, dp[i][0], dp[i][1]); 
			maxLen = max(maxLen, dp[i][0] + dp[i][1]);
		}
		printf("%d\n", maxLen);
	}

	return 0;
}

问题描述

试题编号:201503-4
试题名称:网络延时
时间限制:1.0s
内存限制:256.0MB
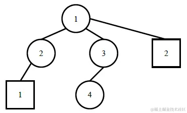
问题描述:问题描述  给定一个公司的网络,由 n台交换机和 m台终端电脑组成,交换机与交换机、交换机与电脑之间使用网络连接。交换机按层级设置,编号为1的交换机为根交换机,层级为1。其他的交换机都连接到一台比自己上一层的交换机上,其层级为对应交换机的层级加1。所有的终端电脑都直接连接到交换机上。   当信息在电脑、交换机之间传递时,每一步只能通过自己传递到自己所连接的另一台电脑或交换机。请问,电脑与电脑之间传递消息、或者电脑与交换机之间传递消息、或者交换机与交换机之间传递消息最多需要多少步。输入格式  输入的第一行包含两个整数 n,  m,分别表示交换机的台数和终端电脑的台数。   第二行包含 n - 1个整数,分别表示第2、3、……、 n台交换机所连接的比自己上一层的交换机的编号。第 i台交换机所连接的上一层的交换机编号一定比自己的编号小。   第三行包含 m个整数,分别表示第1、2、……、 m台终端电脑所连接的交换机的编号。输出格式  输出一个整数,表示消息传递最多需要的步数。样例输入4 2 1 1 3 2 1样例输出4样例说明  样例的网络连接模式如下,其中圆圈表示交换机,方框表示电脑:   其中电脑1与交换机4之间的消息传递花费的时间最长,为4个单位时间。样例输入4 4 1 2 2 3 4 4 4样例输出4样例说明  样例的网络连接模式如下:   其中电脑1与电脑4之间的消息传递花费的时间最长,为4个单位时间。评测用例规模与约定  前30%的评测用例满足: n ≤ 5,  m ≤ 5。   前50%的评测用例满足: n ≤ 20,  m ≤ 20。   前70%的评测用例满足: n ≤ 100,  m ≤ 100。   所有评测用例都满足:1 ≤  n ≤ 10000,1 ≤  m ≤ 10000。


\

\

\