【JS每日一算法】🟩134.环形链表(哈希表、双指针)

164 阅读2分钟

给你一个链表的头节点 head ,判断链表中是否有环。

如果链表中有某个节点,可以通过连续跟踪 next 指针再次到达,则链表中存在环。

如果链表中存在环 ,则返回 true 。 否则,返回 false 。

 

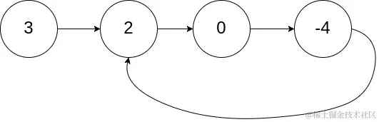
示例 1:

输入: head = [3,2,0,-4], pos = 1
输出: true
解释: 链表中有一个环,其尾部连接到第二个节点。

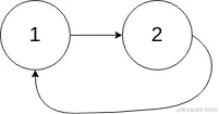
示例 2:

输入: head = [1,2], pos = 0
输出: true
解释: 链表中有一个环,其尾部连接到第一个节点。

示例 3:

输入: head = [1], pos = -1
输出: false
解释: 链表中没有环。

 

提示:

  • 链表中节点的数目范围是 [0, 104]
  • -105 <= Node.val <= 105
  • pos 为 -1 或者链表中的一个 有效索引 。

 

进阶: 你能用 O(1)(即,常量)内存解决此问题吗?

题解:

个人博客

更多JS版本题解点击链接关注该仓库👀

/**
 * @description: 哈希表  TC:O(n)  SC:O(n)
 * @author: JunLiangWang
 * @param {*} head  给定链表头节点
 * @return {*}
 */
function hashMap(head){
    /**
     * 本方案使用hashMap的方式,遍历链表节点并在
     * hashMap记录该节点,当遍历节点时查询hashMap
     * 中是否存在该节点,如果存在,则证明有环。能
     * 够遍历完成链表,证明无环
     */
    let map=new Map();
    while(head){
        if(map.get(head))return true
        map.set(head,true)
        head=head.next;
    }
    return false;
}


/**
 * @description: 双指针  TC:O(n)  SC:O(1)
 * @author: JunLiangWang
 * @param {*} head 给定链表头节点
 * @return {*}
 */
function doublePoint(head){
    /**
     * 本方案采用双指针的方式,定义两指针slow,fast。
     * slow每次移动一个节点,fast每次移动两个节点,如
     * 果链表存在环,则在某时刻slow与fast指针将重合,
     * 如何不存在环,则能正常遍历完成链表
     */
    if(!head)return false
    let slow=head,fast=head.next
    while(fast&&fast.next){
        if(slow==fast)return true
        slow=slow.next;
        fast=fast.next.next;
    }
    return false
}