R语言时变面板平滑转换回归模型TV-PSTR分析债务水平对投资的影响|附代码数据

66 阅读6分钟

全文下载链接:tecdat.cn/?p=21506

最近我们被客户要求撰写关于TV-PSTR的研究报告,包括一些图形和统计输出。

在本文中,当采用两种状态时,单转换函数PSTR模型具有两个变量:

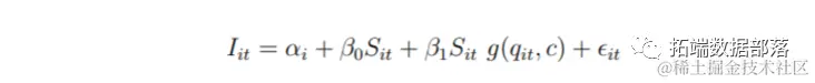
我们的经验方法的基础包括评估N个国家的资本流动性。相应的模型定义如下:

图片

其中,Iit是第i个国家在时间t时观察到的国内投资与GDP的比率,Sit是国内储蓄与GDP的比率,αi表示单个固定效应。残差εit假定为i.i.d.(0,σ2ε)。Corbin(2001)特别使用了该模型,该模型有两个主要缺点。

首先,它假设在小组的N个国家之间资本的国际流动程度相同,即βi=β,∀i=1,…,N。很明显,即使仅考虑经合组织国家,这种假设也是不现实的。如前所述,已经确定了许多明显影响资本流动的因素:国家规模、人口年龄结构、开放程度等。因此,假设βi=β意味着这些因素不影响资本流动。这样的假设显然过于严格。

其次,方程(1)表明,在模型的估计期内,储蓄保留系数是常数。这一假设也是不现实的,特别是当我们考虑具有足够长时间维度的宏观面板时:很明显,典型经合组织国家的资本流动性在60年代和90年代并不相同。


点击标题查阅往期内容

图片

R语言面板平滑转换回归(PSTR)分析案例实现

图片

左右滑动查看更多

图片

01

图片

02

图片

03

图片

04

图片

自70年代中期以来,主要经合组织国家的资本管制和资本跨境流动障碍已经消除,FH系数随着时间的推移呈下降趋势。实际上,Obstfeld和Rogoff(2000)在1990-1997年期间的回归中发现,经合组织国家的储蓄保留系数为0.60,而FH在1960-74年期间16个经合组织国家的文章中强调的储蓄保留系数为0.89。因此,没有理由假设参数β(参数βi)是时间不变的。

一般来说,这两个问题不能同时解决。例如,可以通过假设FH参数βi是随机分布的来考虑异质面板模型5。然而,在这样一个随机系数模型中,资本的流动性被假定为时间不变的。此外,在一个简单的随机系数模型(Swamy,1970)中,参数βi被假定为独立于解释变量。换言之,假设FH系数与国内储蓄与GDP之比无关。因此,它们的可变性是其他未指明的结构因素的结果。

解决这两个问题的方法是在线性面板模型中引入阈值效应。在这种情况下,第一种解决方案是使用简单面板阈值回归(PTR)模型(Hansen,1999),正如Ho(2003)所建议的那样。在这种情况下,极端状态之间的转换机制非常简单:在每个日期,如果观察到的某个国家的阈值变量小于某个给定值,称为阈值参数,资本流动性是由一个特定的模型(或机制)来定义的,它不同于阈值变量大于阈值参数时使用的模型。例如,让我们考虑一个具有两个极端状态的PTR模型:解决这两个问题的方法是在线性面板模型中引入阈值效应。

图片
具有单个位置参数(m = 1)的逻辑转换函数:

图片
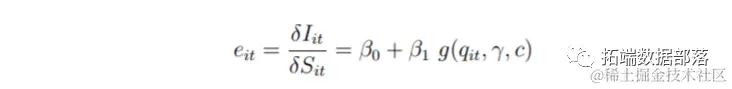
可以证明,I w.r.t S的弹性是时变的

图片
我认为提取这些随时间变化的系数对所有个体来说都是很直观的,因为它们显示了感兴趣的关系的动态,补充了转换函数的可视化。

假设我们将此应用于Hansen数据的情况(4个变量而不是2个变量,但上面的公式适用)。我们想研究债务水平对投资的影响,条件是选择转换变量为托宾Q。让我们首先拟合模型:

PSTR(data, dep='inva', indep=4:20, indep_k=c('vala','debta','cfa','sales'),tvars=c('vala'), iT=14)

然后计算时变系数,并提取样本中前三家公司的托宾Q水平

for (i in 1:n){ 
va_i<-vala[cusip==id[i]] 
g<-(1+exp(-gamma*(va_i-c)))^(-1) 
tvc_i<-est[2] + mbeta*g

最后绘制这些时间序列:

matplot(tvc, type = 'l', lwd=2,col = 1:3, xaxt='n'
axis(1, at=1:nrow(tvc), labels=c(1974:1987)); legend("topleft", legend = 
matplot(vala, type = 'l', lwd=2,col = 1:3, xaxt = 'n', xlab='年'
; axis(1, at=1:nrow(tvc), labels=c(1974:1987));
legend("topleft", legend = paste('公司',colnames(vala),sep=''),

我们可以看到,投资w.r.t债务的弹性随着时间的推移而变化,并且取决于Q的水平:Q越高(拥有更多投资机会的公司),影响越强。特别是Q(2824)最高的公司(绿色曲线,右图)表现出最稳定的关系(绿色曲线,左图)。

图片

图片

有一个问题:如果转换变量与独立变量相同(或它的函数),则弹性的计算变得更加复杂。通常,对于具有R转换函数的模型(R + 1机制),我们有:
这意味着投资弹性w.r.t托宾的Q需要用不同的方法来计算。

图片

点击文末 “阅读原文”

获取全文完整代码数据资料。

本文选自《R语言时变面板平滑转换回归模型TV-PSTR分析债务水平对投资的影响》。

点击标题查阅往期内容

面板平滑转换回归(PSTR)分析案例实现
R语言线性回归和时间序列分析北京房价影响因素可视化案例
R语言惩罚logistic逻辑回归(LASSO,岭回归)高维变量选择的分类模型案例
R语言用标准最小二乘OLS,广义相加模型GAM ,样条函数进行逻辑回归LOGISTIC分类
R语言实现CNN(卷积神经网络)模型进行回归数据分析
R语言中实现广义相加模型GAM和普通最小二乘(OLS)回归
R语言中使用非凸惩罚函数回归(SCAD、MCP)分析前列腺数据
【视频】R语言实现CNN(卷积神经网络)模型进行回归数据分析
R语言ISLR工资数据进行多项式回归和样条回归分析
R语言中的多项式回归、局部回归、核平滑和平滑样条回归模型
R语言随机搜索变量选择SSVS估计贝叶斯向量自回归(BVAR)模型
R语言如何和何时使用glmnet岭回归
R语言基于线性回归的资本资产定价模型(CAPM)
Matlab马尔可夫区制转换动态回归模型估计GDP增长率
R语言MCMC:Metropolis-Hastings采样用于回归的贝叶斯估计