解析几何:计算两条线段的交点

822 阅读4分钟

大家好,我是前端西瓜哥。

今天来实现计算两条线段的交点的解析几何算法。

我们要实现 getLineSegIntersection 方法:提供两条线段,计算它们的交点。

每条线段会用两个点坐标表示。

const getLineSegIntersection = (p1, p2, p3, p4) => {
  // 待实现
}

// 测试用例
getLineSegIntersection(
  { x: 1, y: 1 }, { x: 4, y: 4 },
  { x: 1, y: 4 }, { x: 4, y: 1 }
);
// 期望 { x: 2.5, y: 2.5 }

思路

思路很简单,就是解两条直线对应的一个二元一次方程组,求出 x 和 y

如果无解或多解,说明直线平行,交点不存在。

如果有解,可拿到唯一交点,但也只能说明直线有交点,还需要判断线段是否有交点。

所以我们需要判断交点是否在线段的区间上。如果是,说明两线段有交点,返回交点。

克拉姆法则

解方程组需要用到 克拉姆法则

对于:

可转换为矩阵形式表示:

然后计算主矩阵(最左边的矩阵)的行列式,对角相乘然后相减:

如果行列式为 0,说明没有唯一解;

如果不为 0,则有唯一解:

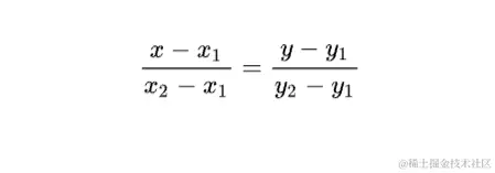
回到我们的两条直线,我们用两点式表示直线:

转换成 Ax+By=C 的格式,得到:

image-20231012020643096

于是:

const a = y2 - y1;
const b = x1 - x2;
const c = x1 * y2 - x2 * y1;

第二条线段同理:

const d = y4 - y3;
const e = x3 - x4;
const f = x3 * y4 - x4 * y3;

算法实现

interface Point {
  x: number;
  y: number;
}

const getLineSegIntersection = (
  p1: Point,
  p2: Point,
  p3: Point,
  p4: Point
): Point | null => {
  const { x: x1, y: y1 } = p1;
  const { x: x2, y: y2 } = p2;
  const { x: x3, y: y3 } = p3;
  const { x: x4, y: y4 } = p4;

  const a = y2 - y1;
  const b = x1 - x2;
  const c = x1 * y2 - x2 * y1;

  const d = y4 - y3;
  const e = x3 - x4;
  const f = x3 * y4 - x4 * y3;

  // 计算分母
  const denominator = a * e - b * d;

  // 判断分母是否为 0(代表平行)
  if (Math.abs(denominator) < 0.000000001) {
    // 这里有个特殊的重叠但只有一个交点的情况,可以考虑处理一下
    return null;
  }

  const px = (c * e - f * b) / denominator;
  const py = (a * f - c * d) / denominator;

  // 判断交点是否在两个线段上
  if (
    px >= Math.min(x1, x2) &&
    px <= Math.max(x1, x2) &&
    py >= Math.min(y1, y2) &&
    py <= Math.max(y1, y2) &&
    px >= Math.min(x3, x4) &&
    px <= Math.max(x3, x4) &&
    py >= Math.min(y3, y4) &&
    py <= Math.max(y3, y4)
  ) {
    return { x: px, y: py };
  }

  return null;
};

变体

这个算法可以做一些变体,实现其他的算法。

变体1:两线段是否有交点

返回值换成布尔值即可。

判断两线段是否有交点,我之前还写了另一种解法,感兴趣可以看看:

几何算法:判断两条线段是否相交

变体2:计算两直线的交点

把判断直线交点是否在线段上的逻辑去掉,然后直接返回点坐标即可。

优化点

1、重叠但却只有一个交点的情况

如果线段平行,有两种情况:

  1. 没有重叠(0 个解)
  2. 有部分重叠(多解)

如果部分重叠,可能有多个点,多个点的情况下也不知道拿哪个点作为交点好,这种情况下还是返回 null。

但有一个特殊的情况:重叠只有一个点(比如线段 a 的末点刚好是线段 b 的起点)。如果你的场景下判断比较严格,你可以选择返回这个点。要实现这部分也是有点点复杂的。

2、误差处理。线段的两个端点的距离非常小,计算出的结果也会非常小,可能会进入了 0 的绝对误差范围了,考虑改成相对误差。

3、溢出风险。数值很大时有溢出风险,可以考虑计算一个缩放值,缩小后计算,计算完再放大回去。

结尾

总结一下,求两线段的交点,本质就是解方程,需要用到克莱姆法则,计算出来的交点是直线交点,不一定是线段交点,需要在判断点是否在线段范围内。

不复杂,就是有一点点小细节。

我是前端西瓜哥,欢迎关注我,学习更多解析几何知识。


相关阅读,

几何算法:判断两条线段是否相交

图形编辑器开发:一些会用到的简单几何算法

几何算法:矩形碰撞和包含检测算法

在容器内显示图片的五种方案:contain、cover、fill、none、scale-down

计算机图形学:变换矩阵

求向量的角度