算法学习打卡day21|二叉搜索树的最近公共祖先、701.二叉搜索树中的插入操作、450.删除二叉搜索树中的节点

34 阅读5分钟

二叉搜索树的最近公共祖先

力扣题目链接 题目描述: 给定一个二叉搜索树, 找到该树中两个指定节点的最近公共祖先。

百度百科中最近公共祖先的定义为:“对于有根树 T 的两个结点 p、q,最近公共祖先表示为一个结点 x,满足 x 是 p、q 的祖先且 x 的深度尽可能大(一个节点也可以是它自己的祖先)。”

例如,给定如下二叉搜索树: root = [6,2,8,0,4,7,9,null,null,3,5] 在这里插入图片描述 示例 1: 输入: root = [6,2,8,0,4,7,9,null,null,3,5], p = 2, q = 8 输出: 6 解释: 节点 2 和节点 8 的最近公共祖先是 6。

思路:

  • 和普通二叉树相比,二叉搜索树是有序的,那么可以利用其有序的特性来进行遍历判断,当root的val比p,q两个值都要大,就到左子树去找,比他两都要小就到右子树去找,如果在他两之间,那一定是最近公共祖先,为什么?因为我们是从根节点往下遍历的,由于搜索树有序,且p和q不会重复,如果继续往下走的话,要不就找不到p要不就找不到q了

代码实现:

  • 递归法
TreeNode* traversal(TreeNode* root, TreeNode* max, TreeNode* min) {
    if (root == nullptr)  return root;
    if (root->val < min->val) {
      return traversal(root->right, max, min);
    }
    if (root->val > max->val) {
      return traversal(root->left, max, min);
    }
    return root;
  }
  TreeNode* lowestCommonAncestor(TreeNode* root, TreeNode* p, TreeNode* q) {
    TreeNode* max = p->val > q->val ? p : q;
    TreeNode* min = p->val < q->val ? p : q;
    return traversal(root, max, min);
  }
  • 迭代法
TreeNode* lowestCommonAncestor(TreeNode* root, TreeNode* p, TreeNode* q) {
      int max = p->val > q->val ? p->val : q->val;
      int min = p->val < q->val ? p->val : q->val;
      TreeNode* cur = root;
      while (cur) {
        if (cur->val < min) {
          cur = cur->right;
        } else if (cur->val > max) {
          cur = cur->left;
        } else {
          return cur;
        }
      }
      return nullptr;
    }

701.二叉搜索树中的插入操作

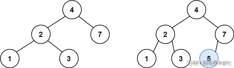
力扣题目链接 题目描述: 给定二叉搜索树(BST)的根节点 root 和要插入树中的值 value ,将值插入二叉搜索树。 返回插入后二叉搜索树的根节点。 输入数据 保证 ,新值和原始二叉搜索树中的任意节点值都不同。 注意,可能存在多种有效的插入方式,只要树在插入后仍保持为二叉搜索树即可。 你可以返回 任意有效的结果 。(不要被这句话误导,按正常思维做就行) 示例 1: 在这里插入图片描述

输入:root = [4,2,7,1,3], val = 5 输出:[4,2,7,1,3,5]

思路:

  • 递归法:还是二叉搜索树的遍历方法,val比跟节点大,就忘右走,比跟节点小就往左走,如果往左走的时候左节点为空了,把val存到cur的左节点,往右走的时候右节点为空了,把val存到cur的右节点,剩下的递归就行了,最后返回root节点。
  • 迭代法:和递归法类似的操作

代码实现

  • 递归法
void traversal(TreeNode* root, int val) {
        if (root->val < val && root->right == nullptr) {
            new_tree->val = val;
            root->right = new_tree;
        } else if (root->val < val && root->right) {
            insertIntoBST(root->right, val);
        } else if (root->val > val && root->left == nullptr) {
            new_tree->val = val;
            root->left = new_tree;
        } else {
            insertIntoBST(root->left, val);
        }
    }
    TreeNode* insertIntoBST(TreeNode* root, int val) {
        if (root == nullptr) {
            new_tree->val = val;
            return new_tree;
        }
        traversal(root, val);
        return root;
    }
  • 迭代法
TreeNode* insertIntoBST(TreeNode* root, int val) {
        TreeNode* new_tree = new TreeNode(val);
        if (root == nullptr) {
            return new_tree;
        }
        TreeNode* cur = root;
        while (cur) {
            if (cur->val > val) {
                if (cur->left == nullptr) {
                    cur->left = new_tree;
                    break;
                }
                cur = cur->left;
            } else {
                if (cur->right == nullptr) {
                    cur->right = new_tree;
                    break;
                }
                cur = cur->right;
            }
        }
        return root;
    }

450.删除二叉搜索树中的节点

力扣题目链接 题目描述: 给定一个二叉搜索树的根节点 root 和一个值 key,删除二叉搜索树中的 key 对应的节点,并保证二叉搜索树的性质不变。返回二叉搜索树(有可能被更新)的根节点的引用。

一般来说,删除节点可分为两个步骤:

首先找到需要删除的节点; 如果找到了,删除它。 要求算法时间复杂度为 O(h),h 为树的高度。

思路:

  • 先找到要删除的元素(二叉搜索树的遍历就能做到)
  • 如果没找到要删除的元素(当前节点为空),直接返回空就行
  • 找到要删除的元素后,要求删除之后还是个二叉搜索树,那么我们就需要处理所删除的节点的左右子树了
  • 怎么处理左右子树?
    • 分为几种情况:
      • 第一:左右子树都是空,那么就是叶子节点了,啥也不影响,直接返回空就行了
      • 第二:如果左子树是空,右子树非空,也不影响,直接返回右子树
      • 第三:如果左子树是非空,右子树为空,也不影响,直接返回左子树
      • 第四:两个子树都不是空,这种情况就需要把它的左右子树中的一个拿来充当新的根节点来保持二叉搜索树了,我们这里取右子树充当新的根节点,那么左子树肯定比右子树的所有节点都要小,而右子树的最小节点,肯定在最底层的最左边,找到它,把左子树接到那个最小值节点的左节点就可以了。
  • 剩下的就是当前节点不是目标值,那么就交给递归,如果比目标值大就递归左子树,并把返回值接到root->left,如果比目标值小就递归右子树,并把返回值接到root->right上,最后返回root。

代码实现

TreeNode* deleteNode(TreeNode* root, int key) {
        if (root == nullptr)    return nullptr;
        if (root->val == key) {
            if (!root->left && !root->right)    return nullptr;
            if (!root->left && root->right) return root->right;
            if (root->left && !root->right) return root->left;
            TreeNode* cur = root->right;
            while (cur->left)   cur = cur->left;
            cur->left = root->left;
            return root->right;
        } else if (root->val < key) {
            root->right = deleteNode(root->right, key);
        } else {
            root->left = deleteNode(root->left, key);
        }
        return root;
    }
  • 上面的代码没写释放内存的逻辑,下面加上了
TreeNode* deleteNode(TreeNode* root, int key) {
        if (root == nullptr)    return nullptr;
        if (root->val == key) {
            if (!root->left && !root->right)    return nullptr;
            if (!root->left && root->right) {
                auto right_node = root->right;
                delete root;
                return right_node;
            }
            if (root->left && !root->right) {
                auto left_node = root->left;
                delete root;
                return left_node;
            }
            TreeNode* cur = root->right;
            auto right_node = root->right;
            while (cur->left)   cur = cur->left;
            cur->left = root->left;
            delete root;
            return right_node;
        } else if (root->val < key) {
            root->right = deleteNode(root->right, key);
        } else {
            root->left = deleteNode(root->left, key);
        }
        return root;
    }