词向量技术 | SkipGram词向量模型的训练以及词的余弦相似度计算

941 阅读19分钟

Hi,大家好啊!词向量是表示自然语言里单词的一种方法,词向量技术在自然语言处理中也有着举足轻重的作用,通过这种方法,实现把自然语言计算转换为向量计算

一、词向量训练

1. 词向量计算简介

在自然语言处理任务中,词向量是表示自然语言里单词的一种方法,即把每个词都表示为一个N维空间内的点,即一个高维空间内的向量。通过这种方法,实现把自然语言计算转换为向量计算。

如 图1 所示的词向量计算任务中,先把每个词(如 queen,king 等)转换成一个高维空间的向量,这些向量在一定意义上可以代表这个词的语义信息。再通过计算这些向量之间的距离,就可以计算出词语之间的关联关系,从而达到让计算机像计算数值一样去计算自然语言的目的。

图 1  词向量计算示意图

word2vec 包含两个经典模型,CBOW(Continuous Bag-of-Words)和 Skip-gram,如 图2 所示。

  • CBOW: 通过上下文的词向量推理中心词。
  • Skip-gram: 根据中心词推理上下文。

图 2  CBOW 和 Skip-gram 语义学习示意图

2. Skip-gram 的算法实现

我们以 “Pineapples are spiked and yellow” 为例分别介绍Skip-gram的算法实现。如 图3 所示,Skip-gram 是一个具有 3 层结构的神经网络,分别是:

图 3  Skip-gram算法实现

  • Input Layer(输入层): 接收一个 one-hot 张量 VR1×vocabsizeV\in R^{1\times vocab-size} 作为网络的输入,里面存储着当前句子中心词的 one-hot 表示。
  • Hidden Layer(隐藏层): 将张量 VV 乘以一个 word embedding 张量 W1Rvocabsize×embedsizeW^{1}\in R^{vocab-size\times embed-size},并把结果作为隐藏层的输出,得到一个形状为 R1×embedsizeR^{1\times embed-size} 的张量,里面存储着当前句子中心词的词向量。
  • Output Layer(输出层): 将隐藏层的结果乘以另一个 word embedding 张量 W2Rvocabsize×embedsizeW^{2}\in R^{vocab-size\times embed-size} ,得到一个形状为 R1×embedsizeR^{1\times embed-size} 的张量。这个张量经过 softmax 变换后,就得到了使用当前中心词对上下文的预测结果。根据这个 softmax 的结果,我们就可以去训练词向量模型。

在实际操作中,使用一个滑动窗口(一般情况下,长度是奇数),从左到右开始扫描当前句子。每个扫描出来的片段被当成一个小句子,每个小句子中间的词被认为是中心词,其余的词被认为是这个中心词的上下文。

3. Skip-gram 的实际实现

在实际情况中,vocab_size 通常很大(几十万甚至几百万),导致 WW 非常大。为了缓解这个问题,通常采取负采样(negative_sampling)的方式来近似模拟多分类任务。

假设有一个中心词 cc 和一个上下文词正样本 tpt_{p} 。在 Skip-gram 的理想实现里,需要最大化使用 cc 推理 tpt_{p} 的概率。在使用 softmax 学习时,需要最大化 tpt_{p} 的推理概率,同时最小化其他词表中词的推理概率。之所以计算缓慢,是因为需要对词表中的所有词都计算一遍。然而我们还可以使用另一种方法,就是随机从词表中选择几个代表词,通过最小化这几个代表词的概率,去近似最小化整体的预测概率。

举个例子: 先指定一个中心词(如“人工”)和一个目标词正样本(如“智能”),再随机在词表中采样几个目标词负样本(如“日本”,“喝茶”等)。有了这些内容,我们的 skip-gram 模型就变成了一个二分类任务。对于目标词正样本,我们需要最大化它的预测概率;对于目标词负样本,我们需要最小化它的预测概率。通过这种方式,我们就可以完成计算加速。上述做法,我们称之为负采样。

在实现的过程中,通常会让模型接收 3 个 tensor 输入:

  • 代表中心词的 tensor:假设我们称之为 center_words VV,一般来说,这个 tensor 是一个形状为 [batch_size, vocab_size] 的 one-hot tensor,表示在一个 mini-batch 中每个中心词具体的 ID。
  • 代表目标词的 tensor:假设我们称之为 target_words VV,一般来说,这个 tensor 同样是一个形状为 [batch_size, vocab_size] 的 one-hot tensor,表示在一个 mini-batch 中每个目标词具体的 ID。
  • 代表目标词标签的 tensor:假设我们称之为 labels VV,一般来说,这个 tensor 是一个形状为 [batch_size, 1] 的 tensor,每个元素不是 0 就是 1(0:负样本,1:正样本)。

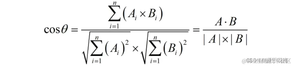
二、余弦相似度

对于词向量 A 和 B,其余弦相似度计算公式如下:

我们知道,欧式距离注重两个词向量位置的差异,余弦相似度更看重两个词向量在方向上的差异

首先我们一起来了解一下欧式距离的定义:随机取出两个词向量 A 和 B,A 的词向量表示为 [A1,A2,A3…An],B的词向量表示为 [B1,B2,B3…Bn]。对于词向量A和B,其欧式距离计算公式如下:

如下图所示,欧式距离  dist(A,B)dist(A,B) 表示词向量的空间距离,余弦 cosθ\cos \theta 显示词向量在方向上的差距。

图 4  欧式距离和余弦在词向量中的表示

举个例子:

X 和 Y 用户对两个内容评分,按 5 分制,X 用户对内容 1 和内容 2 的评分分别为 1 和 4,Y 用户对内容 1 和内容 2 的评分分别为 2 和 5。令 A=[1,2],B=[4,5]。此时 dist(A,B)=4.24,在 5 分制的评级中,该距离较大,表示用户对内容 1 和 2 的总体看法区别较大。cosθ=0.99,余弦相似度较大,表示两个用户的偏好基本一致,即相对于内容 1,两个用户都稍加喜欢内容 2。


三、使用飞桨实现 Skip-gram

接下来我们将学习使用飞桨实现 Skio-gram 模型的方法。在飞桨中,不同深度学习模型的训练过程基本一致,流程如下:

  • 数据处理: 选择需要使用的数据,并做好必要的预处理工作。
  • 网络定义: 使用飞桨定义好网络结构,包括输入层,中间层,输出层,损失函数和优化算法。
  • 网络训练: 将准备好的数据送入神经网络进行学习,并观察学习的过程是否正常,如损失函数值是否在降低,也可以打印一些中间步骤的结果出来等。
  • 网络评估: 使用测试集合测试训练好的神经网络,看看训练效果如何。

在数据处理前,需要先加载飞桨平台(如果用户在本地使用,请确保已经安装飞桨)。

import io
import os
import sys
import requests
import math
import random
import numpy as np
import paddle

1. 数据处理

首先,找到一个合适的语料用于训练word2vec模型。我们选择text8数据集,这个数据集里包含了大量从维基百科收集到的英文语料,我们可以通过如下代码下载数据集,下载后的文件被保存在当前目录的 text8.txt 文件内。

# 下载语料用来训练word2vec
def download():
    # 可以从百度云服务器下载一些开源数据集(dataset.bj.bcebos.com)
    corpus_url = "https://dataset.bj.bcebos.com/word2vec/text8.txt"
    # 使用python的requests包下载数据集到本地
    web_request = requests.get(corpus_url)
    corpus = web_request.content
    # 把下载后的文件存储在当前目录的text8.txt文件内
    with open("./text8.txt", "wb") as f:
        f.write(corpus)
    f.close()
 
download()

接下来,把下载的语料读取到程序里,并打印前 500 个字符看看语料的样子,代码如下:

# 读取text8数据
def load_text8():
    with open("./text8.txt", "r") as f:
        corpus = f.read().strip("\n")
    f.close()
 
    return corpus
 
corpus = load_text8()
 
# 打印前500个字符,简要看一下这个语料的样子
print(corpus[:500])

一般来说,在自然语言处理中,需要先对语料进行切词。对于英文来说,可以比较简单地直接使用空格进行切词,代码如下:

# 对语料进行预处理(分词)
def data_preprocess(corpus):
    # 由于英文单词出现在句首的时候经常要大写,所以我们把所有英文字符都转换为小写,
    # 以便对语料进行归一化处理(Apple vs apple等)
    corpus = corpus.strip().lower()
    corpus = corpus.split(" ")
 
    return corpus
 
corpus = data_preprocess(corpus)
print(corpus[:50])

在经过切词后,需要对语料进行统计,为每个词构造ID。一般来说,可以根据每个词在语料中出现的频次构造ID,频次越高,ID越小,便于对词典进行管理。代码如下:

# 构造词典,统计每个词的频率,并根据频率将每个词转换为一个整数id
def build_dict(corpus):
    #首先统计每个不同词的频率(出现的次数),使用一个词典记录
    word_freq_dict = dict()
    for word in corpus:
        if word not in word_freq_dict:
            word_freq_dict[word] = 0
        word_freq_dict[word] += 1
 
    # 将这个词典中的词,按照出现次数排序,出现次数越高,排序越靠前
    # 一般来说,出现频率高的高频词往往是:I,the,you这种代词,而出现频率低的词,往往是一些名词,如:nlp
    word_freq_dict = sorted(word_freq_dict.items(), key = lambda x:x[1], reverse = True)
    
    # 构造3个不同的词典,分别存储,
    # 每个词到id的映射关系:word2id_dict
    # 每个id出现的频率:word2id_freq
    # 每个id到词典映射关系:id2word_dict
    word2id_dict = dict()
    word2id_freq = dict()
    id2word_dict = dict()
 
    # 按照频率,从高到低,开始遍历每个单词,并为这个单词构造一个独一无二的id
    for word, freq in word_freq_dict:
        curr_id = len(word2id_dict)
        word2id_dict[word] = curr_id
        word2id_freq[word2id_dict[word]] = freq
        id2word_dict[curr_id] = word
 
    return word2id_freq, word2id_dict, id2word_dict
 
word2id_freq, word2id_dict, id2word_dict = build_dict(corpus)
vocab_size = len(word2id_freq)
print("there are totoally %d different words in the corpus" % vocab_size)
for _, (word, word_id) in zip(range(50), word2id_dict.items()):
    print("word %s, its id %d, its word freq %d" % (word, word_id, word2id_freq[word_id]))

得到 word2id 词典后,我们还需要进一步处理原始语料,把每个词替换成对应的ID,便于神经网络进行处理,代码如下:

# 把语料转换为id序列
def convert_corpus_to_id(corpus, word2id_dict):
    # 使用一个循环,将语料中的每个词替换成对应的id,以便于神经网络进行处理
    corpus = [word2id_dict[word] for word in corpus]
    return corpus
 
corpus = convert_corpus_to_id(corpus, word2id_dict)
print("%d tokens in the corpus" % len(corpus))
print(corpus[:50])

接下来,需要使用二次采样法处理原始文本。二次采样法的主要思想是降低高频词在语料中出现的频次,降低的方法是随机将高频的词抛弃,频率越高,被抛弃的概率就越高,频率越低,被抛弃的概率就越低,这样像标点符号或冠词这样的高频词就会被抛弃,从而优化整个词表的词向量训练效果,代码如下:

# 使用二次采样算法(subsampling)处理语料,强化训练效果
def subsampling(corpus, word2id_freq):
    
    # 这个discard函数决定了一个词会不会被替换,这个函数是具有随机性的,每次调用结果不同
    # 如果一个词的频率很大,那么它被遗弃的概率就很大
    def discard(word_id):
        return random.uniform(0, 1) < 1 - math.sqrt(
            1e-4 / word2id_freq[word_id] * len(corpus))
 
    corpus = [word for word in corpus if not discard(word)]
    return corpus
 
corpus = subsampling(corpus, word2id_freq)
print("%d tokens in the corpus" % len(corpus))
print(corpus[:50])

在完成语料数据预处理之后,需要构造训练数据。根据上面的描述,我们需要使用一个滑动窗口对语料从左到右扫描,在每个窗口内,中心词需要预测它的上下文,并形成训练数据。

在实际操作中,由于词表往往很大(50000,100000等),对大词表的一些矩阵运算(如softmax)需要消耗巨大的资源,因此可以通过负采样的方式模拟softmax的结果,代码实现如下。

  • 给定一个中心词和一个需要预测的上下文词,把这个上下文词作为正样本。
  • 通过词表随机采样的方式,选择若干个负样本。
  • 把一个大规模分类问题转化为一个 2 分类问题,通过这种方式优化计算速度。
# 构造数据,准备模型训练
# max_window_size代表了最大的window_size的大小,程序会根据max_window_size从左到右扫描整个语料
# negative_sample_num代表了对于每个正样本,我们需要随机采样多少负样本用于训练,
# 一般来说,negative_sample_num的值越大,训练效果越稳定,但是训练速度越慢。 
def build_data(corpus, word2id_dict, word2id_freq, max_window_size = 3, 
               negative_sample_num = 4):
    
    # 使用一个list存储处理好的数据
    dataset = []
    center_word_idx=0
 
    # 从左到右,开始枚举每个中心点的位置
    while center_word_idx < len(corpus):
        # 以max_window_size为上限,随机采样一个window_size,这样会使得训练更加稳定
        window_size = random.randint(1, max_window_size)
        # 当前的中心词就是center_word_idx所指向的词,可以当作正样本
        positive_word = corpus[center_word_idx]
 
        # 以当前中心词为中心,左右两侧在window_size内的词就是上下文
        context_word_range = (max(0, center_word_idx - window_size), min(len(corpus) - 1, center_word_idx + window_size))
        context_word_candidates = [corpus[idx] for idx in range(context_word_range[0], context_word_range[1]+1) if idx != center_word_idx]
 
        # 对于每个正样本来说,随机采样negative_sample_num个负样本,用于训练
        for context_word in context_word_candidates:
            # 首先把(上下文,正样本,label=1)的三元组数据放入dataset中,
            # 这里label=1表示这个样本是个正样本
            dataset.append((context_word, positive_word, 1))
 
            # 开始负采样
            i = 0
            while i < negative_sample_num:
                negative_word_candidate = random.randint(0, vocab_size-1)
 
                if negative_word_candidate is not positive_word:
                    # 把(上下文,负样本,label=0)的三元组数据放入dataset中,
                    # 这里label=0表示这个样本是个负样本
                    dataset.append((context_word, negative_word_candidate, 0))
                    i += 1
        
        center_word_idx = min(len(corpus) - 1, center_word_idx + window_size)
        if center_word_idx == (len(corpus) - 1):
            center_word_idx += 1
        if center_word_idx % 100000 == 0:
            print(center_word_idx)
    
    return dataset
 
dataset = build_data(corpus, word2id_dict, word2id_freq)
for _, (context_word, target_word, label) in zip(range(50), dataset):
    print("center_word %s, target %s, label %d" % (id2word_dict[context_word],
                                                   id2word_dict[target_word], label))

训练数据准备好后,把训练数据都组装成mini-batch,并准备输入到网络中进行训练,代码如下:

# 构造mini-batch,准备对模型进行训练
# 我们将不同类型的数据放到不同的tensor里,便于神经网络进行处理
# 并通过numpy的array函数,构造出不同的tensor来,并把这些tensor送入神经网络中进行训练
def build_batch(dataset, batch_size, epoch_num):
    
    #center_word_batch缓存batch_size个中心词
    center_word_batch = []
    #target_word_batch缓存batch_size个目标词(可以是正样本或者负样本)
    target_word_batch = []
    #label_batch缓存了batch_size个0或1的标签,用于模型训练
    label_batch = []
 
    for epoch in range(epoch_num):
        # 每次开启一个新epoch之前,都对数据进行一次随机打乱,提高训练效果
        random.shuffle(dataset)
        
        for center_word, target_word, label in dataset:
            #遍历dataset中的每个样本,并将这些数据送到不同的tensor里
            center_word_batch.append([center_word])
            target_word_batch.append([target_word])
            label_batch.append(label)
 
            # 当样本积攒到一个batch_size后,我们把数据都返回回来
            # 在这里我们使用numpy的array函数把list封装成tensor
            # 并使用python的迭代器机制,将数据yield出来
            # 使用迭代器的好处是可以节省内存
            if len(center_word_batch) == batch_size:
                yield np.array(center_word_batch).astype("int64"), \
                    np.array(target_word_batch).astype("int64"), \
                    np.array(label_batch).astype("float32")
                center_word_batch = []
                target_word_batch = []
                label_batch = []
 
    if len(center_word_batch) > 0:
        yield np.array(center_word_batch).astype("int64"), \
            np.array(target_word_batch).astype("int64"), \
            np.array(label_batch).astype("float32")
 
# for _, batch in zip(range(10), build_batch(dataset, 128, 3)):
#     print(batch)

2. 网络定义

定义 skip-gram 的网络结构,用于模型训练。在飞桨动态图中,对于任意网络,都需要定义一个继承自 paddle.nn.Layer 的类来搭建网络结构、参数等数据的声明。同时需要在 forward 函数中定义网络的计算逻辑。值得注意的是,我们仅需要定义网络的前向计算逻辑,飞桨会自动完成神经网络的反向计算,代码如下:

# 定义skip-gram训练网络结构
# 这里我们使用的是paddlepaddle的2.0.0版本
# 一般来说,在使用nn训练的时候,我们需要通过一个类来定义网络结构,这个类继承了paddle.nn.Layer
class SkipGram(paddle.nn.Layer):
    def __init__(self, vocab_size, embedding_size, init_scale=0.1):
        # vocab_size定义了这个skipgram这个模型的词表大小
        # embedding_size定义了词向量的维度是多少
        # init_scale定义了词向量初始化的范围,一般来说,比较小的初始化范围有助于模型训练
        super(SkipGram, self).__init__()
        self.vocab_size = vocab_size
        self.embedding_size = embedding_size
 
        # 使用paddle.nn提供的Embedding函数,构造一个词向量参数
        # 这个参数的大小为:self.vocab_size, self.embedding_size
        # 这个参数的名称为:embedding_para
        # 这个参数的初始化方式为在[-init_scale, init_scale]区间进行均匀采样
        self.embedding = paddle.nn.Embedding(
            self.vocab_size, 
            self.embedding_size,
            weight_attr=paddle.ParamAttr(
                name='embedding_para',
                initializer=paddle.nn.initializer.Uniform(
                    low=-0.5/embedding_size, high=0.5/embedding_size)))
 
        # 使用paddle.nn提供的Embedding函数,构造另外一个词向量参数
        # 这个参数的大小为:self.vocab_size, self.embedding_size
        # 这个参数的名称为:embedding_para_out
        # 这个参数的初始化方式为在[-init_scale, init_scale]区间进行均匀采样
        # 跟上面不同的是,这个参数的名称跟上面不同,因此,
        # embedding_para_out和embedding_para虽然有相同的shape,但是权重不共享
        self.embedding_out = paddle.nn.Embedding(
            self.vocab_size, 
            self.embedding_size,
            weight_attr=paddle.ParamAttr(
                name='embedding_out_para',
                initializer=paddle.nn.initializer.Uniform(
                    low=-0.5/embedding_size, high=0.5/embedding_size)))
 
    # 定义网络的前向计算逻辑
    # center_words是一个tensor(mini-batch),表示中心词
    # target_words是一个tensor(mini-batch),表示目标词
    # label是一个tensor(mini-batch),表示这个词是正样本还是负样本(用0或1表示)
    # 用于在训练中计算这个tensor中对应词的同义词,用于观察模型的训练效果
    def forward(self, center_words, target_words, label):
        # 首先,通过embedding_para(self.embedding)参数,将mini-batch中的词转换为词向量
        # 这里center_words和eval_words_emb查询的是一个相同的参数
        # 而target_words_emb查询的是另一个参数
        center_words_emb = self.embedding(center_words)
        target_words_emb = self.embedding_out(target_words)
 
        # center_words_emb = [batch_size, embedding_size]
        # target_words_emb = [batch_size, embedding_size]
        # 我们通过点乘的方式计算中心词到目标词的输出概率,并通过sigmoid函数估计这个词是正样本还是负样本的概率。
        word_sim = paddle.multiply(center_words_emb, target_words_emb)
        word_sim = paddle.sum(word_sim, axis = -1)
        word_sim = paddle.reshape(word_sim, shape=[-1])
        pred = paddle.nn.functional.sigmoid(word_sim)
 
        # 通过估计的输出概率定义损失函数,注意我们使用的是binary_cross_entropy函数
        # 将sigmoid计算和cross entropy合并成一步计算可以更好的优化,所以输入的是word_sim,而不是pred
        
        loss = paddle.nn.functional.binary_cross_entropy(paddle.nn.functional.sigmoid(word_sim), label)
        loss = paddle.mean(loss)
 
        # 返回前向计算的结果,飞桨会通过backward函数自动计算出反向结果。
        return pred, loss

3. 网络训练

完成网络定义后,就可以启动模型训练。我们定义每隔100步打印一次Loss,以确保当前的网络是正常收敛的。同时,我们每隔1000步观察一下skip-gram计算出来的同义词(使用 embedding的乘积),可视化网络训练效果,代码如下:

# 开始训练,定义一些训练过程中需要使用的超参数
batch_size = 512
epoch_num = 1
embedding_size = 200
step = 0
learning_rate = 0.001
 
# 定义一个使用word-embedding计算cos的函数
def get_cos(query1_token, query2_token, embed):
    W = embed
    x = W[word2id_dict[query1_token]]
    y = W[word2id_dict[query2_token]]
    cos = np.dot(x, y) / np.sqrt(np.sum(y * y) * np.sum(x * x) + 1e-9)
    flat = cos.flatten()
    print("单词1 %s 和单词2 %s 的cos结果为 %f" %(query1_token, query2_token, cos))
 
 
# 通过我们定义的SkipGram类,来构造一个Skip-gram模型网络
skip_gram_model = SkipGram(vocab_size, embedding_size)
# 构造训练这个网络的优化器
adam = paddle.optimizer.Adam(learning_rate=learning_rate, parameters = skip_gram_model.parameters())
 
# 使用build_batch函数,以mini-batch为单位,遍历训练数据,并训练网络
for center_words, target_words, label in build_batch(
    dataset, batch_size, epoch_num):
    # 使用paddle.to_tensor函数,将一个numpy的tensor,转换为飞桨可计算的tensor
    center_words_var = paddle.to_tensor(center_words)
    target_words_var = paddle.to_tensor(target_words)
    label_var = paddle.to_tensor(label)
 
    # 将转换后的tensor送入飞桨中,进行一次前向计算,并得到计算结果
    pred, loss = skip_gram_model(
        center_words_var, target_words_var, label_var)
 
    # 通过backward函数,让程序自动完成反向计算
    loss.backward()
    # 通过minimize函数,让程序根据loss,完成一步对参数的优化更新
    adam.minimize(loss)
    # 使用clear_gradients函数清空模型中的梯度,以便于下一个mini-batch进行更新
    skip_gram_model.clear_gradients()
 
    # 每经过100个mini-batch,打印一次当前的loss,看看loss是否在稳定下降
    step += 1
    if step % 100 == 0:
        print("step %d, loss %.3f" % (step, loss.numpy()[0]))
 
    # 经过10000个mini-batch,打印一次模型对eval_words中的10个词计算的同义词
    # 这里我们使用词和词之间的向量点积作为衡量相似度的方法
    # 我们只打印了5个最相似的词
    if step % 2000 == 0:
        embedding_matrix = skip_gram_model.embedding.weight.numpy()
        np.save("./embedding", embedding_matrix)
        get_cos("king","queen",embedding_matrix)
        get_cos("she","her",embedding_matrix)
        get_cos("topic","theme",embedding_matrix)
        get_cos("woman","game",embedding_matrix)
        get_cos("one","name",embedding_matrix)

从打印结果可以看到,经过一定步骤的训练,Loss 逐渐下降并趋于稳定

4. 词向量结果评价

我们采用余弦相似度计算来对词向量结果进行评价,代码如下:

# 定义一个使用word-embedding计算cos的函数
def get_cos(query1_token, query2_token, embed):
    W = embed
    x = W[word2id_dict[query1_token]]
    y = W[word2id_dict[query2_token]]
    cos = np.dot(x, y) / np.sqrt(np.sum(y * y) * np.sum(x * x) + 1e-9)
    flat = cos.flatten()
    print("单词1 %s 和单词2 %s 的cos结果为 %f" %(query1_token, query2_token, cos) )
 
embedding_matrix = np.load('embedding.npy') 
get_cos("king","queen",embedding_matrix)
get_cos("she","her",embedding_matrix)
get_cos("topic","theme",embedding_matrix)
get_cos("woman","game",embedding_matrix)
get_cos("one","name",embedding_matrix)