为什么索引可以提升查询速度?

97 阅读13分钟

官方定义:索引是帮助存储引擎高效获取数据的一种有序的数据结构。

提取句子主干:索引是有序的数据结构。

基于快速查找的数据结构有很多,MySQL采用的是 B+Tree

为什么采用B+Tree而不是其他的呢?
B+Tree相比其他数据结构有什么优点呢?

其他数据结构

了解B+Tree之前,先了解一下其他的数据结构,看看它们有什么问题,再看B+Tree是如何解决这些问题的。

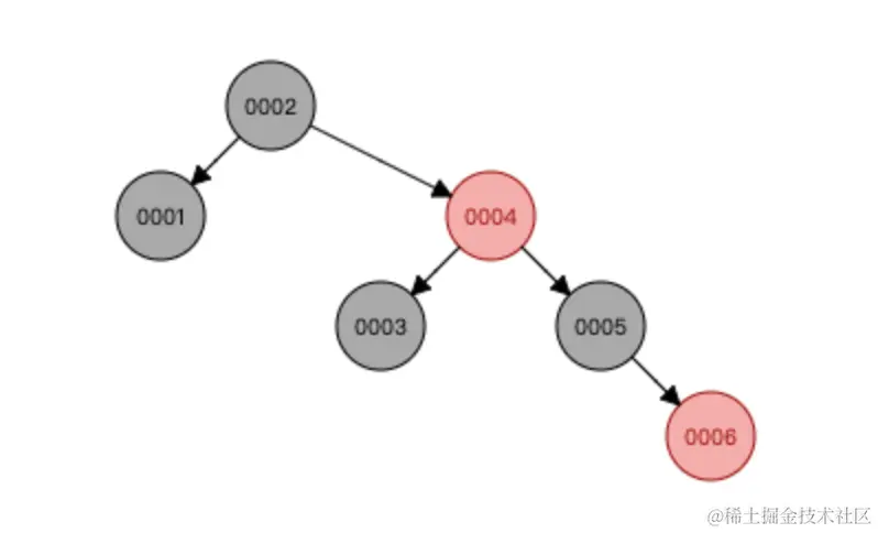
二叉树

二叉树的特点:任何一个节点,左边的节点都比它小,右边的节点都比它大。

但是普通的二叉树有一个弊端:不适用于单边增长。

image

如上图,对于单边增长的数据,二叉树会完全失去平衡。
这意味着,对于自增型的主键来说,这种索引完全没用,相当于全表扫描。

红黑树

红黑树是一种平衡二叉树。
它解决了普通二叉树单边增长的问题,会自旋进行自动平衡。

对于同样的6个数据,看看红黑树是如何存放的。

image

高度比普通二叉树要好很多,但是依然不理想。

H = log2(S-1)

如公式所示,可计算出:
理想状态下,1000万的数据量,树的高度为24层,
意味着最差的查询,需要24次磁盘I/O,速度还是没法接受的。

哈希

根据索引列计算哈希码,再根据一一映射关系,只需一次(理想状态)就可以查找到数据。

哈希查找速度虽然很快,但是有一个严重的弊端:不支持范围查询!
这意味着大于、小于这种常用的条件无法使用。

而且,在数据量大的情况下,会存在较多的哈希冲突,速度也会受到一定的影响。

InnoDB是支持哈希索引的,如果不考虑范围查询,也可以使用,MySQL提供了很多选择。

B-Tree

B-Tree解决了范围查询的问题,且在一定程度上解决了高度的问题。

为什么要说“一定程度上”呢?
因为高度问题优化的还不是最好。

image

可以看到,对于20个数据,高度也仅为4,而且是有序的。

B-Tree和B+Tree的区别就是:B-Tree会在所有节点中存放数据,而B+Tree只在叶子节点中存放数据。
这使得,B+Tree的非叶子节点可以存放更多的索引,可以最大限度的降低树的高度。

B+Tree

首先直接看一下B+Tree的结构是怎样的。

image

B+Tree叶子节点拥有所有的元素,且是有序的。
非叶子节点不存储数据,来存放更多的索引,部分索引做冗余。

借用两张图,可以更好的理解B-Tree和B+Tree的区别。

B-Tree

image

B+Tree

image

Innodb数据存放的结构就是B+Tree,如果有主键,则根据主键来构建树,没有主键但是有唯一索引,则根据唯一索引来构建树,如果主键和唯一索引都没有,Innodb会自动为每行数据生成一个“RowID”隐藏列来构建树。

Innodb设计的数据存放结构就是这样的。
数据的存放结构一定是B树,别无选择。
二级索引我们可以选择使用B+Tree或Hash来构建。

页的概念

InnoDB中,有“数据页”的概念,它是InnoDB磁盘管理的最小单元。
类似于操作系统中“页”单位。

每次InnoDB读取数据,最少读取“一页”的数据,即使你只需要一条数据。

B+Tree的每一个节点都是一个数据页,在InnoDB中,默认的数据页大小为:16KB。
可以通过如下命令查看:

SHOW VARIABLES LIKE 'innodb_page_size';-- 16384字节 = 16KB

MySQL通过横向的扩展节点,和只在叶子节点存放数据,来最大程度的降低树的高度,使得可以通过最少的磁盘I/O来查找数据。

粗略计算

通过InnoDB的数据页大小,可以粗略计算一下,在树的高度为3的情况下,InnoDB可以存放多少数据。

计算的假设条件:

  • 主键为INT递增,INT占用4个字节(指针占用6字节)
  • 每行数据占用1KB磁盘空间

通过以上两个条件,可以粗略计算出,在理想条件下:

  • 第一层可以存放的索引数量:1600。
  • 第二层可以存放的索引数量:2500000。
  • 第三层可以存放的索引+数据 数量:25000000。

InnoDB可以做到:在树的高度仅为3的情况下,存放2500万的数据。
效率还是非常高的。

执行流程

MySQL根据主键查找数据时,首先将第一层节点加载到内存,在CPU中计算,然后根据计算区间去加载第二层的节点,因为已经可以得到明确区间,第二层也只需要加载一个节点,根据第二层的节点再去找第三层的节点。

第三层存放着索引和数据行记录,找到索引就找到数据行了。

在InnoDB中,树的高度为3的情况下,即使是千万的数据,也只需要3次磁盘I/O即可找到数据。

而且通常情况下,InnoDB会将第一层节点缓存起来,意味着只需2次磁盘I/O即可。

聚集索引和非聚集索引

聚集索引:索引和数据行存放在一起,找到索引就找到数据行了。
非聚集索引:索引和数据分开存放,通过索引需要再单独去找数据行。

在InnoDB中,主键就是一种聚集索引,一张表聚集索引只能有一个,因为数据不能分开重复存储。

用户自己创建的索引就是二级索引,也就是“非聚集索引”。
InnoDB的非聚集索引中,存放的是索引和主键的值。
通过索引找到主键,再根据主键去查找数据行,也就是我们常说的“回表”。

在MyISAM中,索引存放的就不是数据行或主键值了,而是数据行所在磁盘的地址指针。
通过索引找到地址指针,再通过指针去找到数据行。

回表

不能通过索引直接获取数据,需要根据索引存放的主键值重新获取数据行的行为称为:回表

应该尽可能的避免“回表”。
大多数情况下,回表查询的数据是随机分布的,意味着数据分布在不同的数据页中,InnoDB要加载大量的数据页,也就意味着需要进行大量的随机I/O,随机I/O性能是非常低的,特别是机械硬盘,针头需要重新寻道。

根据主键获取数据行的效率是最好的,如果只能使用二级索引,那么尽可能的使用“覆盖索引查询”。

覆盖索引查询

当查询的列能从索引中全部获取时,就无需 回表查询,这样的查询称为:覆盖索引查询

“无需回表查询”可以极大地提升性能,因为数据可以全部从索引中获取,减少了磁盘I/O。

要满足覆盖索引查询,必须创建多列索引,且查询的条件要遵循“最左前缀”原则。

有序的索引

有序的索引可以让数据快速的被检索到,但是为了维护索引的顺序,InnoDB花了不少功夫。
糟糕的设计会使得InnoDB维护索引特别吃力和艰难。

页分裂

InnoDB的默认数据页大小为16KB,有序的存放着索引和数据行。

当我们使用UUID作为主键时,由于UUID没有规则和顺序,会导致新插入的数据被随机的分散到各个数据页中,一旦分配的数据页是满的,InnoDB就不得不进行“页分裂”。

“页分裂”会额外消耗系统的开销,还会使得索引数据变得稀疏,形成空洞,增大索引文件的大小,占用磁盘空间,降低性能。

除了新增,修改主键的值也会造成“页分裂”,道理是一样的。

应该尽可能的避免“页分裂”,主键最好使用有序的,自增主键就是一个不错的选择。

局部性原理

局部性原理是指CPU访问存储器时,无论是存取指令还是存取数据,所访问的存储单元都趋于聚集在一个较小的连续区域中。

当程序需要从磁盘中加载数据时,CPU会自动的把我们需要数据的相邻数据也一并加载到内存。
因为操作系统认为:程序接下来很可能会访问相邻的数据,多加载一些相邻数据,可以减少磁盘I/O。

在MySQL中,即使我们只需要查询一条数据,MySQL也会加载一个“页”的数据。
将相邻的数据缓存起来,下一次访问时,就不需要从磁盘中读取了。

而对于使用UUID作为主键/索引的列,由于没有规律和顺序,会导致局部性原理失效。
加载数据缓存几乎不起作用,降低了性能。

页结构

Innodb将“页”作为基本单位,索引和数据都保存在一个个的数据页中。

image

  • Infimum+Supremum:页中最小值和最大值。
  • User Records:数据行记录
  • Free Space:空闲空间。
  • Page Directory:页目录。

数据页中的页目录(Page Directory),可以理解为索引中的索引。
同一个数据页中,可能存在上千个索引,索引之间通过指针连接,使得插入很快,但是查询较慢。
Page Directory的作用是为了在同一个数据页中快速查找。

数据页中存放的数据大致如下图所示:

image

行格式

MySQL中,数据是按照一行一行来保存的,一个数据行代表一条数据记录。

数据行中,除了保存行数据外,还记录了很多其他的东西,和具体的“行格式”有关。

可以通过如下命令查看表的“行格式”:

SHOW TABLE STATUS LIKE '表名';
-- Row_format Dynamic
Compact行格式

image

  • 对于列中有变长字段的,行的头部会逆序来记录变长的长度,因为对于变长来说,一旦存的数据增多,MySQL都要为其再额外分配磁盘空间。
  • 对于列中有允许为NULL值的,“NULL标志位”会记录在这里。因为NULL是不占空间的,一旦赋值,MySQL也要为其分配磁盘空间。
  • 记录头信息中包含指向下一条记录的指针。

MySQL之所以在数据行中记录这些数据,都是为了方便对数据行进行扩展。

除了自定义的列外,InnoDB还会在数据行中加入一些隐藏列:

  • RowID(6字节):如果表中没有主键和唯一索引,InnoDB会自动生成一个RowID来构建B+Tree。
  • 事务ID(6字节)
  • 回滚指针(7字节)

事务ID和回滚指针是InnoDB为了实现MVCC多版本控制而设计的列。
可以在实现事务的同时,尽量减少对数据行加锁。

Dynamic

Dynamic行格式和Compact类似,针对变长字段进行了优化。

对于数据的长度超过了一个“数据页”的大小称为:数据行溢出。

Compact页会保存部分数据,然后记录下一页的地址指针。
而Dynamic只会记录地址指针,数据全部放在其他数据页中,使得同一个数据页可以存放更多的索引记录。

数据文件

MySQL中绝大多数存储引擎都是将数据存储在磁盘中的,MEMORY引擎除外。

InnoDB将数据以二进制的形式保存,保存路径为datadir下以数据库命名的文件夹中,文件名为:表名.idb。

查看数据文件

由于是二进制的,无法直接查看,在Linux环境下,可以使用hexdump查看。

表名:mytest
列:col1、col2、col3、col4

数据记录:
1	aa	bb	cc
2	dd	ee	ff
3	gg	hh	NULL

$ hexdump -C -v mytest.ibd

0000c080  20 80 00 00 01 00 00 00  7b c3 42 e1 00 00 01 59  | .......{.B....Y|
0000c090  01 10 61 61 62 62 63 63  02 02 02 00 00 00 18 00  |..aabbcc........|
0000c0a0  1f 80 00 00 02 00 00 00  7b c3 43 e2 00 00 01 4f  |........{.C....O|
0000c0b0  01 10 64 64 65 65 66 66  02 02 01 00 00 20 ff b0  |..ddeeff..... ..|
0000c0c0  80 00 00 03 00 00 00 7b  c3 48 e5 00 00 01 58 01  |.......{.H....X.|
0000c0d0  10 67 67 68 68 00 00 00  00 00 00 00 00 00 00 00  |.gghh...........|

可以看到,值为NULL的列除了在“NULL标志位”占用一个标记外,不会再占用空间了。

索引失效

索引的目的是为了帮助存储引擎快速检索数据的。

一旦达不到这个目的,索引就会失效,因为即使走索引也没有意义。

什么时候会失效?

查询数据的方式有很多种,返回的结果都一样,但是不同的查询方式性能不一样。

如何找到性能最好的查询方式呢?
这就是MySQL“查询优化器”要干的活了。

不能带来更好的性能

MySQL在执行SQL语句时,内置的“查询优化器”会先分析SQL,基于表的统计信息来生成执行计划。
优化器基于执行成本的方式来判断哪些执行计划是最优的,然后再和存储引擎API去交互查询数据。

一旦优化器认为,走索引并不能带来更好的性能,就不会走索引了,索引就失效了。

例如:一个从1递增的索引,查询条件为:索引列>0。
如果走索引,还需要扫描全部的索引,然后再回表查询,优化器认为:还不如直接全表扫描来得快,这种情况下索引就失效了。

Tips:优化器生成的执行计划不一定都是最优的,涉及很多东西,可以参考笔者以前的笔记。

不能减少扫描范围

索引的目的就是为了使存储引擎通过减少扫描范围来提升检索速度。

一旦索引不能减少查询扫描数据的范围,存储引擎也不会走索引。

例如:多列索引中,不满足最左前缀原则,还是要进行全表扫描的,索引起不到作用。

还包括对索引列进行了计算判断,也是不会走索引的。
对索引列计算出来的值是无法判断的,索引本身就没有参考意义了,只能全表扫描。

Tips:该篇笔记主要记录索引原理,更多查询优化方面的东西需要另起篇幅。