KDD 2023 | 蚂蚁“优化器三部曲”之 WSAM

142 阅读13分钟

蚂蚁 AI Infra 团队在深度学习最核心之一的优化器方向持续投入与创新,实现了 AI 训练节约资源、加速收敛、提升泛化等目标。我们将推出“优化器三部曲”系列,这是本系列的第一篇。

本文 6891 字 阅读 18 分钟

深度神经网络 (DNNs) 的泛化能力与极值点的平坦程度密切相关,因此出现了 Sharpness-Aware Minimization (SAM) 算法来寻找更平坦的极值点以提高泛化能力。本文重新审视 SAM 的损失函数,提出了一种更通用、有效的方法——WSAM ,将平坦程度作为正则化项来改善训练极值点的平坦度。在各个公开数据集上的实验表明,与原始优化器、SAM 及其变体相比,WSAM 在绝大多数情形都实现了更好的泛化性能。WSAM 也在蚂蚁内部数字支付、数字金融等多个场景被普遍采用并取得了显著效果。该文被 KDD'23 接收为 Oral Paper。

ArXiv 论文《Sharpness-Aware Minimization Revisited: Weighted Sharpness as a Regularization Term》:arxiv.org/abs/2305.15…

代码已集成到蚂蚁开源项目 DLRover:github.com/intelligent…


随着深度学习技术的发展,高度过参数化的 DNNs 在 CV 和 NLP 等各种机器学习场景下取得了巨大的成功。虽然过度参数化的模型容易过拟合训练数据,但它们通常具有良好的泛化能力。泛化的奥秘受到越来越多的关注,已成为深度学习领域的热门研究课题。

最近的研究表明,泛化能力与极值点的平坦程度密切相关,即损失函数“地貌”中平坦的极值点可以实现更小的泛化误差。Sharpness-Aware Minimization (SAM) [1]是一种用于寻找更平坦极值点的技术,是当前最有前途的技术方向之一。它广泛应用于各个领域,如 CV、NLP 和 bi-level learning,并在这些领域明显优于原先最先进的方法。

为了探索更平坦的最小值,SAM 定义损失函数 LLw{w} 处的平坦程度如下:

L~(w):=maxδρL(w+δ)LSAM(w)L(w). \tilde{L}({w}) := \underbrace{\max_{\|{\delta}\|\leq\rho}L({w} + {\delta})}_{L^{SAM}({w})} - L({w}).

GSAM [2] 证明了 L~(w)\tilde{L}({w}) 是局部极值点 Hessian 矩阵最大特征值的近似,表明 L~(w)\tilde{L}({w}) 确实是平坦(陡峭)程度的有效度量。然而,L~(w)\tilde{L}({w}) 只能用于寻找更平坦的区域而不是最小值点,这可能导致损失函数收敛到损失值依然很大的点(虽然周围区域很平坦)。因此,SAM 采用 L~(w)+L(w)\tilde{L}({w}) + L({w}),即 LSAM(w)L^{SAM}({w}) 作为损失函数。它可以视为在 L~(w)\tilde{L}({w})L(w)L({w}) 之间寻找更平坦的表面和更小损失值的折衷方案,在这里两者被赋予了同等的权重。

本文重新思考了 LSAM(w)L^{SAM}({w}) 的构建,将 L~(w)\tilde{L}({w}) 视为正则化项。我们开发了一个更通用、有效的算法,称为 WSAM(Weighted Sharpness-Aware Minimization),其损失函数加入了一个加权平坦度项 γ1γL~(w)\frac{\gamma}{1-\gamma} \tilde{L}({w}) 作为正则项,其中超参数 γ\gamma 控制了平坦度的权重。在方法介绍章节,我们演示了如何通过 γ\gamma 来指导损失函数找到更平坦或更小的极值点。我们的关键贡献可以总结如下。

  • 我们提出 WSAM,将平坦度视为正则化项,并在不同任务之间给予不同的权重。我们提出一个“权重解耦”技术来处理更新公式中的正则化项,旨在精确反映当前步骤的平坦度。当基础优化器不是 SGD 时,如 SGDM 和 Adam,WSAM 在形式上与 SAM 有显著差异。消融实验表明,这种技术在大多数情况下可以提升效果。

  • 我们在公开数据集上验证了 WSAM 在常见任务中的有效性。实验结果表明,与 SAM 及其变体相比,WSAM 在绝大多数情形都有着更好的泛化性能。

预备知识

SAM 是解决由公式(1)定义的 LSAM(w)L^{SAM}({w}) 的极小极大最优化问题的一种技术。

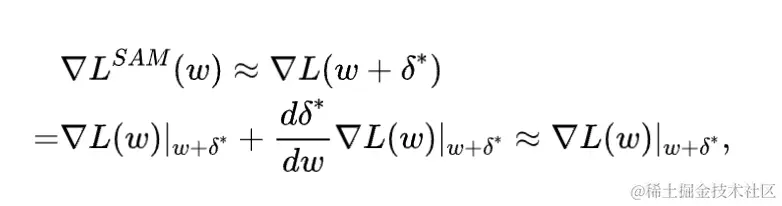
首先,SAM 使用围绕 w{w} 的一阶泰勒展开来近似内层的最大化问题,即

image.png

其次,SAM 通过采用 LSAM(w)L^{SAM}({w}) 的近似梯度来更新 w{w},即

image.png

其中第二个近似是为了加速计算。其他基于梯度的优化器(称为基础优化器)可以纳入 SAM 的通用框架中,具体见Algorithm 1。通过改变 Algorithm 1 中的 mt{m}_tBtB_t,我们可以获得不同的基础优化器,例如 SGD、SGDM 和 Adam,参见 Tab. 1。请注意,当基础优化器为 SGD 时,Algorithm 1 回退到 SAM 论文 [1] 中的原始 SAM。

图片

图片

方法介绍

WSAM 的设计细节

在此,我们给出 LWSAML^{WSAM} 的正式定义,它由一个常规损失和一个平坦度项组成。由公式(1),我们有

image.png

其中 γ[0,1)\gamma\in[0, 1)。当 γ=0\gamma = 0 时,LWSAM(w)L^{WSAM}({w}) 退化为常规损失;当 γ=1/2\gamma = 1 / 2 时,LWSAM(w)L^{WSAM}({w}) 等价于 LSAM(w)L^{SAM}({w});当 γ>1/2\gamma > 1 / 2 时,LWSAM(w)L^{WSAM}({w}) 更注重平坦度,因此与 SAM 相比更容易找到具有较小曲率而非较小损失值的点;反之亦然。

包含不同基础优化器的 WSAM 的通用框架可以通过选择不同的 ϕt\phi_tψt\psi_t 来实现,见 Algorithm 2。例如,当 ϕt=gt\phi_t = {g}_tψt=I\psi_t = \mathbb{I} 时,我们得到基础优化器为 SGD 的 WSAM,见 Algorithm 3。在此,我们采用了一种“权重解耦”技术,即平坦度项 L~(w)\tilde{L}({w}) 不是与基础优化器集成用于计算梯度和更新权重,而是独立计算(Algorithm 2 第 7 行的最后一项)。这样,正则化的效果只反映了当前步骤的平坦度,而没有额外的信息。为了进行比较,Algorithm 4 给出了没有“权重解耦”(称为 Coupled-WSAM)的 WSAM。例如,如果基础优化器是 SGDM,则 Coupled-WSAM 的正则化项是平坦度的指数移动平均值。如实验章节所示,“权重解耦”可以在大多数情况下改善泛化表现。

图片

图片

图片

Fig. 1 展示了不同 γ\gamma 取值下的 WSAM 更新过程。当 γ<12\gamma < \frac{1}{2} 时,LWSAM(w)\nabla{}L^{WSAM}({w}) 介于 L(w)\nabla{}L({w})LSAM(w)\nabla{}L^{SAM}({w}) 之间,并随着 γ\gamma 增大逐渐偏离 L(w)\nabla{}L({w})

图片

简单示例

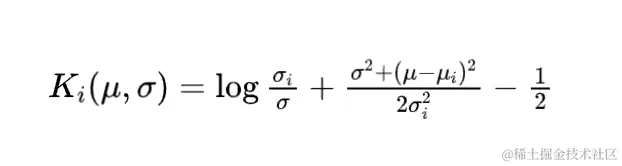
为了更好地说明 WSAM 中 γ\gamma 的效果和优势,我们设置了一个二维简单示例。如 Fig. 2 所示,损失函数在左下角有一个相对不平坦的极值点(位置:(-16.8, 12.8),损失值:0.28),在右上角有一个平坦的极值点(位置:(19.8, 29.9),损失值:0.36)。损失函数定义为:

image.png

这里 Ki(w)=Ki(μ,σ)K_i({w})=K_i(\mu, \sigma) 是单变量高斯模型与两个正态分布之间的 KL 散度,即

image.png

其中 (μ1,σ1)=(20,30)(\mu_1, \sigma_1) = (20, 30)(μ2,σ2)=(20,10)(\mu_2, \sigma_2) = (-20, 10)

我们使用动量为 0.9 的 SGDM 作为基础优化器,并对 SAM 和 WSAM 设置 ρ=2\rho=2。从初始点 (-6, 10) 开始,使用学习率为 5 在 150 步内优化损失函数。SAM 收敛到损失值更低但更不平坦的极值点,γ=0.6\gamma=0.6 的 WSAM 也类似。然而,γ=0.95\gamma=0.95 使得损失函数收敛到平坦的极值点,说明更强的平坦度正则化发挥了作用。

图片

实验

我们在各种任务上进行了实验,以验证 WSAM 的有效性。

图像分类

我们首先研究了 WSAM 在 Cifar10 和 Cifar100 数据集上从零开始训练模型的效果。我们选择的模型包括 ResNet18 和 WideResNet-28-10。我们使用预定义的批大小在 Cifar10 和 Cifar100 上训练模型,ResNet18 和 WideResNet-28-10 分别为 128、256。这里使用的基础优化器是动量为 0.9 的 SGDM。按照 SAM[1] 的设置,每个基础优化器跑的 epoch 数是 SAM 类优化器的两倍。我们对两种模型都进行了 400 个 epoch 的训练 (SAM 类优化器为 200 个 epoch) ,并使用 cosine scheduler 来衰减学习率。这里我们没有使用其他高级数据增强方法,例如 cutout 和 AutoAugment。

对于两种模型,我们使用联合网格搜索确定基础优化器的学习率和权重衰减系数,并将它们保持不变用于接下来的 SAM 类优化器实验。学习率和权重衰减系数的搜索范围分别为 {0.05, 0.1} 和 {1e-4, 5e-4, 1e-3}。由于所有 SAM 类优化器都有一个超参数 ρ (邻域大小) ,我们接下来在 SAM 优化器上搜索最佳的 ρ,并将相同的值用于其他 SAM 类优化器。ρ 的搜索范围为 {0.01, 0.02, 0.05, 0.1, 0.2, 0.5}。最后,我们对其他 SAM 类优化器各自独有的超参进行搜索,搜索范围来自各自原始文章的推荐范围。对于 GSAM[2],我们在 {0.01, 0.02, 0.03, 0.1, 0.2, 0.3} 范围内搜索 α。对于 ESAM[3],我们在 {0.4, 0.5, 0.6} 范围内搜索 η,在 {0.4, 0.5, 0.6} 范围内搜索 γ。对于 WSAM,我们在 {0.5, 0.6, 0.7, 0.8, 0.82, 0.84, 0.86, 0.88, 0.9, 0.92, 0.94, 0.96} 范围内搜索 γ。我们使用不同的随机种子重复实验 5 次,计算了平均误差和标准差。我们在单卡 NVIDIA A100 GPU 上进行实验。每个模型的优化器超参总结在 Tab.3 中。

图片

Tab.2 给出了在不同优化器下,ResNet18、WRN-28-10 在 Cifar10 和 Cifar100 上测试集的 top-1 错误率。相比基础优化器,SAM 类优化器显著提升了效果,同时,WSAM 又显著优于其他 SAM 类优化器。

图片

ImageNet 上的额外训练

我们进一步在 ImageNet 数据集上使用 Data-Efficient Image Transformers 网络结构进行实验。我们恢复了一个预训练的 DeiT-base checkpoint,然后继续训练三个 epoch。模型使用批大小 256 进行训练,基础优化器为动量 0.9 的 SGDM,权重衰减系数为 1e-4,学习率为 1e-5。我们在四卡 NVIDIA A100 GPU 重复跑 5 次并计算平均误差和标准差。

我们在 {0.05, 0.1, 0.5, 1.0, …, 6.0} 中搜索 SAM 的最佳 ρ。最佳的 ρ=5.5 被直接用于其他 SAM 类优化器。之后,我们在 {0.01, 0.02, 0.03, 0.1, 0.2, 0.3} 中搜索 GSAM 的最佳 α,并在 0.80 到 0.98 之间以 0.02 的步长搜索 WSAM 的最佳 γ。

模型的初始 top-1 错误率为 18.2%,在进行了三个额外的 epoch 之后,错误率如 Tab.4 所示。我们没有发现三个 SAM-like 优化器之间有明显的差异,但它们都优于基础优化器,表明它们可以找到更平坦的极值点并具有更好的泛化能力。

图片

标签噪声的鲁棒性

如先前的研究 [1,4,5] 所示,SAM 类优化器在训练集存在标签噪声时表现出良好的鲁棒性。在这里,我们将 WSAM 的鲁棒性与 SAM、ESAM 和 GSAM 进行了比较。我们在 Cifar10 数据集上训练 ResNet18 200 个 epoch,并注入对称标签噪声,噪声水平为 20%、40%、60% 和 80%。我们使用具有 0.9 动量的 SGDM 作为基础优化器,批大小为 128,学习率为 0.05,权重衰减系数为 1e-3,并使用 cosine scheduler 衰减学习率。针对每个标签噪声水平,我们在 {0.01, 0.02, 0.05, 0.1, 0.2, 0.5} 范围内对 SAM 进行网格搜索,确定通用的 ρ 值。然后,我们单独搜索其他优化器特定的超参数,以找到最优泛化性能。我们在 Tab.5 中列出了复现我们结果所需的超参数。我们在 Tab.6 中给出了鲁棒性测试的结果,WSAM 通常比 SAM、ESAM 和 GSAM 都具有更好的鲁棒性。

图片

探索几何结构的影响

SAM 类优化器可以与 ASAM[4] 和 Fisher SAM[5] 等技术相结合,以自适应地调整探索邻域的形状。我们在 Cifar10 上对 WRN-28-10 进行实验,比较 SAM 和 WSAM 在分别使用自适应和 Fisher 信息方法时的表现,以了解探索区域的几何结构如何影响 SAM 类优化器的泛化性能。

除了 ρ 和 γ 之外的参数,我们复用了图像分类 (见上文) 中的配置。根据先前的研究 [4,5],ASAM 和 Fisher SAM 的 ρ 通常较大。我们在 {0.05, 0.1, 0.5, 1.0, …, 6.0} 中搜索最佳的 ρ,ASAM 和 Fisher SAM 最佳的 ρ 均为 5.0。之后,我们在 0.80 到 0.94 之间以 0.02 的步长搜索 WSAM 的最佳 γ,两种方法最佳 γ 均为 0.88。

令人惊讶的是,如 Tab.7 所示,即使在多个候选项中,基准的 WSAM 也表现出更好的泛化性。因此,我们建议直接使用具有固定 ρ 的基准 WSAM 即可。

图片

消融实验

在本节中,我们进行消融实验,以深入理解 WSAM 中“权重解耦”技术的重要性。如上文 WSAM 的设计细节所述,我们将不带“权重解耦”的 WSAM 变体 (算法 4) Coupled-WSAM 与原始方法进行比较。

结果如 Tab.8 所示。Coupled-WSAM 在大多数情况下比 SAM 产生更好的结果,WSAM 在大多数情况下进一步提升了效果,证明“权重解耦”技术的有效性。

图片

极值点分析

在这里,我们通过比较 WSAM 和 SAM 优化器找到的极值点之间的差异,进一步加深对 WSAM 优化器的理解。极值点处的平坦 (陡峭) 度可通过 Hessian 矩阵的最大特征值来描述。特征值越大,越不平坦。我们使用 Power Iteration 算法来计算这个最大特征值。

Tab.9 显示了 SAM 和 WSAM 优化器找到的极值点之间的差异。我们发现,Vanilla 优化器找到的极值点具有更小的损失值但更不平坦,而 SAM 找到的极值点具有更大的损失值但更平坦,从而改善了泛化性能。有趣的是,WSAM 找到的极值点不仅损失值比 SAM 小得多,而且平坦度十分接近 SAM。这表明,在寻找极值点的过程中,WSAM 优先确保更小的损失值,同时尽量搜寻到更平坦的区域。

图片

超参敏感性

与 SAM 相比,WSAM 具有一个额外的超参数 γ,用于缩放平坦(陡峭)度项的大小。在这里,我们测试 WSAM 的泛化性能对该超参的敏感性。我们在 Cifar10 和 Cifar100 上使用 WSAM 对 ResNet18 和 WRN-28-10 模型进行了训练,使用了广泛的 γ 取值。如 Fig.3 所示,结果表明 WSAM 对超参 γ 的选择不敏感。我们还发现,WSAM 的最优泛化性能几乎总是在 0.8 到 0.95 之间。

图片

视频介绍

[2 分钟版本]:www.bilibili.com/video/BV1Cw…

[13 分钟版本]:www.bilibili.com/video/BV1E8…

参考文献

[1] Pierre Foret et al. Sharpness-aware Minimization for Efficiently Improving Generalization. ICLR '21.

[2] Juntang Zhuang et al. Surrogate Gap Minimization Improves Sharpness-Aware Training. ICLR '22.

[3] Jiawei Du et al. Efficient Sharpness-aware Minimization for Improved Training of Neural Networks. ICLR '22.

[4] Jungmin Kwon et al. ASAM: Adaptive Sharpness-Aware Minimization for Scale-Invariant Learning of Deep Neural Networks. ICML '21.

[5] Minyoung Kim et al. Fisher SAM: Information Geometry and Sharpness Aware Minimisation. ICML '22.

关于 DLRover

DLRover(Distributed Deep Learning System)是蚂蚁集团 AI Infra 团队维护的开源社区,是基于云原生技术打造的智能分布式深度学习系统。DLRover 使得开发人员能够专注于模型架构的设计,而无需处理任何工程方面的细节,例如硬件加速和分布式运行等。目前,DLRover 支持使用 K8s、Ray 进行自动化操作和维护深度学习训练任务。更多 AI Infra 技术请关注 DLRover 项目。

加入 DLRover 钉钉技术交流群:31525020959

DLRover Star 一下:github.com/intelligent…