R语言基于Bagging分类的逻辑回归(Logistic Regression)、决策树、森林分析心脏病患者

118 阅读5分钟

原文链接:tecdat.cn/?p=22448

原文出处:拓端数据部落公众号

最近我们被客户要求撰写关于分析心脏病患者的研究报告,包括一些图形和统计输出。

今天,我们将看下bagging 技术里面的启发式算法。

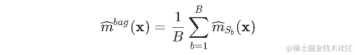
通常,bagging 与树有关,用于生成森林。但实际上,任何类型的模型都有可能使用bagging 。回顾一下,bagging意味着 "boostrap聚合"。因此,考虑一个模型m:X→Y。让 表示从样本中得到的m的估计

现在考虑一些boostrap样本,,i是从{1,⋯,n}中随机抽取的。 基于该样本,估计。然后抽出许多样本,考虑获得的估计值的一致性,使用多数规则,或使用概率的平均值(如果考虑概率主义模型)。因此

Bagging逻辑回归 

考虑一下逻辑回归的情况。为了产生一个bootstrap样本,自然要使用上面描述的技术。即随机抽取一对(yi,xi),均匀地(概率为)替换。这里考虑一下小数据集。对于bagging部分,使用以下代码


for(s in 1:1000){
  df_s = df[sample(1:n,size=n,replace=TRUE)
  logit[s]= glm(y~., df_s, family=binomial

 

然后,我们应该在这1000个模型上进行汇总,获得bagging的部分。


  unlist(lapply(1:1000,function(z) predict(logit[z],nnd))}

 

我们现在对任何新的观察都有一个预测

vv = outer(vu,vu,(function(x,y) mean(pre(c(x,y)))
contour(vu,vu,vv,levels = .5,add=TRUE)

 

 

Bagging逻辑回归 

另一种可用于生成bootstrap样本的技术是保留所有的xi,但对其中的每一个,都(随机地)抽取一个y的值,其中有

因此

因此,现在Bagging算法的代码是

glm(y~x1+x2, df, family=binomial)
for(s in 1:100)
  y = rbinom(size=1,prob=predict(reg,type="response")
  L_logit[s] = glm(y~., df_s, family=binomial)

 

bagging算法的agg部分保持不变。在这里我们获得

vv = outer(vu,vu,(function(x,y) mean(pre(c(x,y)))))
contour(vu,vu,vv,levels = .5,add=TRUE)

 

当然,我们可以使用该代码,检查预测获得我们的样本中的观察。

在这里考虑心肌梗塞数据。

数据

我们使用心脏病数据,预测急诊病人的心肌梗死,包含变量:

  1. 心脏指数
  2. 心搏量指数
  3. 舒张压
  4. 肺动脉压
  5. 心室压力
  6. 肺阻力
  7. 是否存活

其中我们有急诊室的观察结果,对于心肌梗塞,我们想了解谁存活下来了,得到一个预测模型

reg = glm(as.factor(PRO)~., carde, family=binomial)
for(s in 1:1000){
  L_logit[s] = glm(as.factor(PRO)~., my_s, family=binomial)
}

unlist(lapply(1:100,predict(L_logit[z],newdata=d,type="response")}

 

对于第一个观察,通过我们的1000个模拟数据集,以及我们的1000个模型,我们得到了以下死亡概率的估计。

v_x = p(x)
hist(v_x,proba=TRUE,breaks=seq(,by.05),=",="",
segments(mean(v_x),0,mean(v_x,5="=2)

 

因此,对于第一个观察,在78.8%的模型中,预测的概率高于50%,平均概率实际上接近75%。



或者,对于样本22,预测与第一个非常接近。

histo(23)
histo(11)

 

我们在此观察到

Bagging决策树

 

Bagging是由Leo Breiman于1994年在Bagging Predictors中介绍的。如果说第一节描述了这个程序,那么第二节则介绍了 "Bagging分类树"。树对于解释来说是不错的,但大多数时候,它们是相当差的预测模型。Bagging的想法是为了提高分类树的准确性。
bagging 的想法是为了生成大量的树


for(i in 1:12)
  set.seed(sed[i])
idx = sample(1:n, size=n, replace=TRUE)
cart =  rpart(PR~., md[idx,])

 

这个策略其实和以前一样。对于bootstrap部分,将树存储在一个列表中

for(s in 1:1000)
idx = sample(1:n, size=n, replace=TRUE)
  L_tree[[s]] = rpart(as.(PR)~.)

而对于汇总部分,只需取预测概率的平均值即可

p = function(x){
  unlist(lapply(1:1000,function(z) predict(L_tree[z],newdata,)[,2])

 

因为在这个例子中,我们无法实现预测的可视化,让我们在较小的数据集上运行同样的代码。


for(s in 1:1000){
  idx = sample(1:n, size=n, replace=TRUE)
  L_tree[s] = rpart(y~x1+x2,
}
  unlist(lapply(1:1000,function(z) predict(L_tree[[z]])
outer(vu,vu,Vectorize(function(x,y) mean(p(c(x,y)))

 

从bagging到森林

 

在这里,我们生成了很多树,但它并不是严格意义上的随机森林算法,正如1995年在《随机决策森林》中介绍的那样。实际上,区别在于决策树的创建。当我们有一个节点时,看一下可能的分割:我们考虑所有可能的变量,以及所有可能的阈值。这里的策略是在p中随机抽取k个变量(当然k<p,例如k=sqrt{p})。这在高维度上是有趣的,因为在每次分割时,我们应该寻找所有的变量和所有的阈值,而这可能需要相当长的时间(尤其是在bootstrap 程序中,目标是长出1000棵树)。

 


最受欢迎的见解

1.用机器学习识别不断变化的股市状况—隐马尔科夫模型(HMM)的应用

2.R语言GARCH-DCC模型和DCC(MVT)建模估计

3.R语言实现 Copula 算法建模依赖性案例分析报告

4.R语言COPULAS和金融时间序列数据VaR分析

5.R语言多元COPULA GARCH 模型时间序列预测

6.用R语言实现神经网络预测股票实例

7.r语言预测波动率的实现:ARCH模型与HAR-RV模型

8.R语言如何做马尔科夫转换模型markov switching model

9.matlab使用Copula仿真优化市场风险