Python中用PyTorch机器学习神经网络分类预测银行客户流失模型|附代码数据

126 阅读16分钟

阅读全文:tecdat.cn/?p=8522

最近我们被客户要求撰写关于神经网络的研究报告,包括一些图形和统计输出。

分类问题属于机器学习问题的类别,其中给定一组特征,任务是预测离散值。分类问题的一些常见示例是,预测肿瘤是否为癌症,或者学生是否可能通过考试

在本文中,鉴于银行客户的某些特征,我们将预测客户在6个月后是否可能离开银行。客户离开组织的现象也称为客户流失。因此,我们的任务是根据各种客户特征预测客户流失。

$ pip install pytorch

数据集

让我们将所需的库和数据集导入到我们的Python应用程序中:

import torch
import torch.nn as nn
import numpy as np
import pandas as pd
import matplotlib.pyplot as plt
import seaborn as sns
%matplotlib inline

我们可以使用pandas库的read_csv()方法来导入包含我们的数据集的CSV文件。

dataset = pd.read_csv(r'E:Datasetscustomer_data.csv')

让我们输出数据集 :

dataset.shape

输出:

(1000014)

输出显示该数据集具有1万条记录和14列。我们可以使用head()数据框的方法来输出数据集的前五行。

dataset.head()

输出:

图片

您可以在我们的数据集中看到14列。根据前13列,我们的任务是预测第14列的值,即Exited

探索性数据分析

让我们对数据集进行一些探索性数据分析。我们将首先预测6个月后实际离开银行并使用饼图进行可视化的客户比例。让我们首先增加图形的默认绘图大小:

 fig_size = plt.rcParams["figure.figsize"]
fig_size[0] = 10
fig_size[1] = 8
plt.rcParams["figure.figsize"] = fig_size

以下脚本绘制该Exited列的饼图。

dataset.Exited.value_counts().plot(kind='pie', autopct='%1.0f%%', colors=['skyblue''orange'], explode=(0.05, 0.05))

输出:

图片

输出显示,在我们的数据集中,有20%的客户离开了银行。这里1代表客户离开银行的情况,0代表客户没有离开银行的情况。让我们绘制数据集中所有地理位置的客户数量:

图片

输出显示,几乎一半的客户来自法国,而西班牙和德国的客户比例分别为25%。


点击标题查阅往期内容

图片

用R语言实现神经网络预测股票实例

图片

左右滑动查看更多

图片

01

图片

02

图片

03

图片

04

图片

现在,让我们绘制来自每个唯一地理位置的客户数量以及客户流失信息。我们可以使用库中的countplot()函数seaborn来执行此操作。

图片

输出显示,尽管法国客户总数是西班牙和德国客户总数的两倍,但法国和德国客户离开银行的客户比例是相同的。同样,德国和西班牙客户的总数相同,但是离开银行的德国客户数量是西班牙客户的两倍,这表明德国客户在6个月后离开银行的可能性更大。

数据预处理

在训练PyTorch模型之前,我们需要预处理数据。如果查看数据集,您将看到它具有两种类型的列:数值列和分类列。数字列包含数字信息。CreditScoreBalanceAge等。类似地,GeographyGender是分类列,因为它们含有分类信息,如客户的位置和性别。有几列可以视为数字列和类别列。例如,该HasCrCard列的值可以为1或0。但是,那HasCrCard列包含有关客户是否拥有信用卡的信息。

让我们再次输出数据集中的所有列,并找出哪些列可以视为数字列,哪些列应该视为类别列。columns数据框的属性显示所有列名称:

Index(['RowNumber''CustomerId''Surname''CreditScore''Geography''Gender''Age''Tenure''Balance''NumOfProducts''HasCrCard''IsActiveMember''EstimatedSalary''Exited'], dtype='object')

从我们的数据列,我们将不使用的RowNumberCustomerId以及Surname列,因为这些列的值是完全随机的,并与输出无关。例如,客户的姓氏对客户是否离开银行没有影响。其中列的其余部分,GeographyGenderHasCrCard,和IsActiveMember列可以被视为类别列。让我们创建这些列的列表:除该列外,其余所有列均可视为数字列。

numerical_columns = ['CreditScore''Age''Tenure''Balance''NumOfProducts''EstimatedSalary']

最后,输出(Exited列中的值)存储在outputs变量中。

我们已经创建了分类,数字和输出列的列表。但是,目前,分类列的类型不是分类的。您可以使用以下脚本检查数据集中所有列的类型:
输出:

 RowNumber            int64
CustomerId           int64
Surname             object
CreditScore          int64
Geography           object
Gender              object
Age                  int64
Tenure               int64
Balance            float64
NumOfProducts        int64
HasCrCard            int64
IsActiveMember       int64
EstimatedSalary    float64
Exited               int64
dtype: object 

您可以看到GeographyGender列的类型是object,HasCrCardIsActive列的类型是int64。我们需要将分类列的类型转换为category。我们可以使用astype()函数来做到这一点,

现在,如果再次绘制数据集中各列的类型,您将看到以下结果:

输出量

 RowNumber             int64
CustomerId            int64
Surname              object
CreditScore           int64
Geography          category
Gender             category
Age                   int64
Tenure                int64
Balance             float64
NumOfProducts         int64
HasCrCard          category
IsActiveMember     category
EstimatedSalary     float64
Exited                int64
dtype: object 

现在让我们查看Geography列中的所有类别:

Index(['France''Germany''Spain'], dtype='object')

当您将列的数据类型更改为类别时,该列中的每个类别都会分配一个唯一的代码。例如,让我们绘制列的前五行,Geography并输出前五行的代码值:

输出:

 0    France
1     Spain
2    France
3    France
4     Spain
Name: Geography, dtype: category
Categories (3, object): [France, Germany, Spain]

以下脚本在该列的前五行中绘制了值的代码Geography

输出:

 0    0
1    2
2    0
3    0
4    2
dtype: int8 

输出显示法国已编码为0,西班牙已编码为2。

将分类列与数字列分开的基本目的是,可以将数字列中的值直接输入到神经网络中。但是,必须首先将类别列的值转换为数字类型。分类列中的值的编码部分地解决了分类列的数值转换的任务。

由于我们将使用PyTorch进行模型训练,因此需要将分类列和数值列转换为张量。首先让我们将分类列转换为张量。在PyTorch中,可以通过numpy数组创建张量。我们将首先将四个分类列中的数据转换为numpy数组,然后将所有列水平堆叠,如以下脚本所示:

 geo = dataset['Geography'].cat.codes.values
...

上面的脚本输出分类列中前十条记录。输出如下:输出:

 array([[0, 0, 1, 1],
       [2, 0, 0, 1],
       [0, 0, 1, 0],
       [0, 0, 0, 0],
       [2, 0, 1, 1],
       [2, 1, 1, 0],
       [0, 1, 1, 1],
       [1, 0, 1, 0],
       [0, 1, 0, 1],
       [0, 1, 1, 1]], dtype=int8)

现在要从上述numpy数组创建张量,您只需将数组传递给模块的tensortorch

输出:

 tensor([[0, 0, 1, 1],
        [2, 0, 0, 1],
        [0, 0, 1, 0],
        [0, 0, 0, 0],
        [2, 0, 1, 1],
        [2, 1, 1, 0],
        [0, 1, 1, 1],
        [1, 0, 1, 0],
        [0, 1, 0, 1],
        [0, 1, 1, 1]])

在输出中,您可以看到类别数据的numpy数组现在已转换为tensor对象。同样,我们可以将数值列转换为张量:

 numerical_data = np.stack([dataset[col].values for col in numerical_columns], 1)
...

输出:

 tensor([[6.1900e+02, 4.2000e+01, 2.0000e+00, 0.0000e+00, 1.0000e+00, 1.0135e+05],
        [6.0800e+02, 4.1000e+01, 1.0000e+00, 8.3808e+04, 1.0000e+00, 1.1254e+05],
        [5.0200e+02, 4.2000e+01, 8.0000e+00, 1.5966e+05, 3.0000e+00, 1.1393e+05],
        [6.9900e+02, 3.9000e+01, 1.0000e+00, 0.0000e+00, 2.0000e+00, 9.3827e+04],
        [8.5000e+02, 4.3000e+01, 2.0000e+00, 1.2551e+05, 1.0000e+00, 7.9084e+04]])

在输出中,您可以看到前五行,其中包含我们数据集中六个数字列的值。最后一步是将输出的numpy数组转换为tensor对象。输出:

tensor([10100])

现在,让我们绘制分类数据,数值数据和相应输出的形状: 输出:

 torch.Size([10000, 4])
torch.Size([10000, 6])
torch.Size([10000])

在训练模型之前,有一个非常重要的步骤。我们将分类列转换为数值,其中唯一值由单个整数表示。例如,在该Geography列中,我们看到法国用0表示,德国用1表示。我们可以使用这些值来训练我们的模型。但是,更好的方法是以N维向量的形式表示分类列中的值,而不是单个整数。

我们需要为所有分类列定义矢量大小。关于维数没有严格的规定。定义列的嵌入大小的一个好的经验法则是将列中唯一值的数量除以2(但不超过50)。例如,对于该Geography列,唯一值的数量为3。该Geography列的相应嵌入大小将为3/2 = 1.5 = 2(四舍五入)。以下脚本创建一个元组,其中包含所有类别列的唯一值数量和维度大小:

 categorical_column_sizes = [len(dataset[column].cat.categories) for column in categorical_columns]
...

输出:

[(3, 2), (2, 1), (2, 1), (2, 1)]

使用训练数据对监督型深度学习模型(例如我们在本文中开发的模型)进行训练,并在测试数据集上评估模型的性能。因此,我们需要将数据集分为训练集和测试集,如以下脚本所示:

 total_records = 10000
....

我们的数据集中有1万条记录,其中80%的记录(即8000条记录)将用于训练模型,而其余20%的记录将用于评估模型的性能。注意,在上面的脚本中,分类和数字数据以及输出已分为训练集和测试集。为了验证我们已正确地将数据分为训练和测试集:

 print(len(categorical_train_data))
print(len(numerical_train_data))
print(len(train_outputs))

print(len(categorical_test_data))
print(len(numerical_test_data))
print(len(test_outputs))

输出:

 8000
8000
8000
2000
2000
2000

创建预测模型

我们将数据分为训练集和测试集,现在是时候定义训练模型了。为此,我们可以定义一个名为的类Model,该类将用于训练模型。看下面的脚本:

 class Model(nn.Module):

    def __init__(self, embedding_size, num_numerical_cols, output_size, layers, p=0.4):
        super().__init__()
        self.all_embeddings = nn.ModuleList([nn.Embedding(ni, nf) for ni, nf in embedding_size])
        self.embedding_dropout = nn.Dropout(p)
        self.batch_norm_num = nn.BatchNorm1d(num_numerical_cols)



        return x

接下来,要查找输入层的大小,将类别列和数字列的数量加在一起并存储在input_size变量中。之后,for循环迭代,并将相应的层添加到all_layers列表中。添加的层是:

  • Linear:用于计算输入和权重矩阵之间的点积
  • ReLu:用作激活函数
  • BatchNorm1d:用于对数字列应用批量归一化
  • Dropout:用于避免过拟合

在后for循环中,输出层被附加到的层的列表。由于我们希望神经网络中的所有层都按顺序执行,因此将层列表传递给nn.Sequential该类。

接下来,在该forward方法中,将类别列和数字列都作为输入传递。类别列的嵌入在以下几行中进行。

embeddings = []

数字列的批量归一化可通过以下脚本应用:

``

x_numerical = self.batch_norm_num(x_numerical)

最后,将嵌入的分类列x和数字列x_numerical连接在一起,并传递给sequence layers

训练模型

要训练模型,首先我们必须创建Model在上一节中定义的类的对象。

您可以看到我们传递了分类列的嵌入大小,数字列的数量,输出大小(在我们的例子中为2)以及隐藏层中的神经元。您可以看到我们有三个分别具有200、100和50个神经元的隐藏层。
让我们输出模型并查看:

print(model)

输出:

 Model(
  (all_embeddings): ModuleList(
 ...
  )
)

您可以看到,在第一线性层中,in_features变量的值为11,因为我们有6个数字列,并且类别列的嵌入维数之和为5,因此6 + 5 = 11。out_features的值为2,因为我们只有2个可能的输出。

在实际训练模型之前,我们需要定义损失函数和将用于训练模型的优化器。以下脚本定义了损失函数和优化器:

loss_function = nn.CrossEntropyLoss()

现在,我们训练模型。以下脚本训练模型:

 epochs = 300
aggregated_losses = []

for i in range(epochs):


print(f'epoch: {i:3} loss: {single_loss.item():10.10f}') 

神经元元数设置为300,这意味着要训练模型,完整的数据集将使用300次。for为每次迭代期间循环的执行方式,损失是使用损耗函数来计算。每次迭代过程中的损失将添加到aggregated_loss列表中。

上面脚本的输出如下:

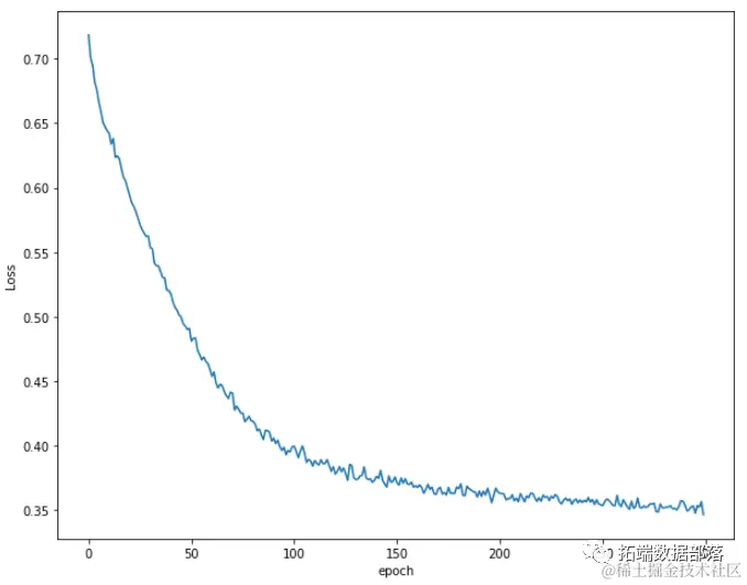
epoch: 1 loss: 0.71847951epoch: 26 loss: 0.57145703epoch: 51 loss: 0.48110831epoch: 76 loss: 0.42529839epoch: 101 loss: 0.39972275epoch: 126 loss: 0.37837571epoch: 151 loss: 0.37133673epoch: 176 loss: 0.36773482epoch: 201 loss: 0.36305946epoch: 226 loss: 0.36079505epoch: 251 loss: 0.35350436epoch: 276 loss: 0.35540250epoch: 300 loss: 0.3465710580

以下脚本绘制了各个时期的损失函数:

plt.plot(range(epochs), aggregated_losses)plt.ylabel('Loss')plt.xlabel('epoch');`

输出:

图片

输出显示,最初损失函数迅速降低。在250个步长之后,损失几乎没有减少。

做出预测

最后一步是对测试数据进行预测。为此,我们只需要将categorical_test_datanumerical_test_data传递给model该类。然后可以将返回的值与实际测试输出值进行比较。以下脚本对测试类进行预测,并输出测试数据的交叉熵损失。

 with torch.no_grad():

输出:

Loss: 0.36855841

测试集上的损失为0.3685,比训练集上获得的0.3465略多,这表明我们的模型有些过拟合。由于我们指定输出层将包含2个神经元,因此每个预测将包含2个值。例如,前5个预测值如下所示:

print(y_val[:5])

输出:

 tensor([[ 1.2045, -1.3857],
        [ 1.3911, -1.5957],
        [ 1.2781, -1.3598],
        [ 0.6261, -0.5429],
        [ 2.5430, -1.9991]])

这种预测的思想是,如果实际输出为0,则索引0处的值应大于索引1处的值,反之亦然。我们可以使用以下脚本检索列表中最大值的索引:

y_val = np.argmax(y_val, axis=1)

输出:现在让我们再次输出y_val列表的前五个值:

print(y_val[:5])

输出:

tensor([00000])

由于在最初预测的输出列表中,对于前五个记录,零索引处的值大于第一索引处的值,因此可以在已处理输出的前五行中看到0。

最后,我们可以使用从sklearn.metrics模块confusion_matrixaccuracy_score以及classification_report类找到了准确度,精密度和召回值,混淆矩阵。

`from sklearn.metrics import classification_report, confusion_matrix, accuracy_scoreprint(confusion_matrix(test_outputs,y_val))print(classification_report(test_outputs,y_val))print(accuracy_score(test_outputs, y_val))`

输出:

[[1527 83][ 224 166]]
          precision    recall  f1-score   support

       0       0.87      0.95      0.91      1610
       1       0.67      0.43      0.52       390
micro avg 0.85 0.85 0.85 2000macro avg 0.77 0.69 0.71 2000weighted avg 0.83 0.85 0.83 20000.8465`

输出结果表明,我们的模型达到了84.65%的精度,考虑到我们随机选择神经网络模型的所有参数这一事实,这非常令人印象深刻。我建议您尝试更改模型参数,例如训练/测试比例,隐藏层的数量和大小等,以查看是否可以获得更好的结果。

结论

PyTorch是Facebook开发的常用深度学习库,可用于各种任务,例如分类,回归和聚类。本文介绍了如何使用PyTorch库对表格数据进行分类。

图片

点击文末 “阅读原文”

获取全文完整资料。

本文选自《Python中用PyTorch机器学习神经网络分类预测银行客户流失模型》。

图片

点击标题查阅往期内容

R语言实现神经网络预测股票实例数据分析可视化
Python使用神经网络进行简单文本分类
Python TensorFlow循环神经网络RNN-LSTM神经网络预测股票市场价格时间序列和MSE评估准确性
【视频】Python用LSTM长短期记忆神经网络对不稳定降雨量时间序列进行预测分析|数据分享
数据分享|R语言用Keras长短期记忆LSTM神经网络分类分析问答文本数据
Python TensorFlow循环神经网络RNN-LSTM神经网络预测股票市场价格时间序列和MSE评估准确性
数据分享|PYTHON用KERAS的LSTM神经网络进行时间序列预测天然气价格例子
Python对商店数据进行lstm和xgboost销售量时间序列建模预测分析
Matlab用深度学习长短期记忆(LSTM)神经网络对文本数据进行分类
RNN循环神经网络 、LSTM长短期记忆网络实现时间序列长期利率预测
结合新冠疫情COVID-19股票价格预测:ARIMA,KNN和神经网络时间序列分析
深度学习:Keras使用神经网络进行简单文本分类分析新闻组数据
用PyTorch机器学习神经网络分类预测银行客户流失模型
PYTHON用LSTM长短期记忆神经网络的参数优化方法预测时间序列洗发水销售数据
Python用Keras神经网络序列模型回归拟合预测、准确度检查和结果可视化
Python用LSTM长短期记忆神经网络对不稳定降雨量时间序列进行预测分析
R语言中的神经网络预测时间序列:多层感知器(MLP)和极限学习机(ELM)数据分析报告
R语言深度学习:用keras神经网络回归模型预测时间序列数据
Matlab用深度学习长短期记忆(LSTM)神经网络对文本数据进行分类
R语言KERAS深度学习CNN卷积神经网络分类识别手写数字图像数据(MNIST)
MATLAB中用BP神经网络预测人体脂肪百分比数据
Python中用PyTorch机器学习神经网络分类预测银行客户流失模型
R语言实现CNN(卷积神经网络)模型进行回归数据分析
SAS使用鸢尾花(iris)数据集训练人工神经网络(ANN)模型
【视频】R语言实现CNN(卷积神经网络)模型进行回归数据分析
Python使用神经网络进行简单文本分类
R语言用神经网络改进Nelson-Siegel模型拟合收益率曲线分析
R语言基于递归神经网络RNN的温度时间序列预测
R语言神经网络模型预测车辆数量时间序列
R语言中的BP神经网络模型分析学生成绩
matlab使用长短期记忆(LSTM)神经网络对序列数据进行分类
R语言实现拟合神经网络预测和结果可视化
用R语言实现神经网络预测股票实例
使用PYTHON中KERAS的LSTM递归神经网络进行时间序列预测
python用于NLP的seq2seq模型实例:用Keras实现神经网络机器翻译
用于NLP的Python:使用Keras的多标签文本LSTM神经网络分类