使用java实现二叉树的结构,创建,前中后序递归输出值(附有详细图解)

1,724 阅读5分钟

二叉树

二叉树的结构

image.png

image.png

image.png

image.png

二叉树的类型:

​ 1.空树

​ 2.单节点

​ 3.左单只

​ 4.右单只

​ 5.满二叉树 :

​ 特征:

​ 满二叉树节点共 2n-1个节点,第n层共2n-1个节点,假设共有k个节点,那么一共有n = log2(k + 1)层

​ 6.完全二叉树

​ 特征:

​ 叶子节点只可能在最后两层出现,从左到右不能有空(如上图)

​ 满二叉树是特殊的完全二叉树

​ 设n0为叶子节点,n1为度为1的节点,n2为度为2的节点,n为总节点

​ 所以n = n0 + n1 + n2 所以共有 1n1 + 22条边

​ 因为n个节点具有n - 1条边 ,所以 n - 1 = n1 + 2n2

​ 所以n0 + n1 + n2 = n1 + 2n2 + 1

得n0 = n2 + 1

​ ==例题:在具有2n个节点的完全二叉树中,叶子节点个数为( )==

​ 当树具有偶数个节点的时候 n = n0 + n1 + n2 n1 = 1

​ 因为第一层到k - 1层的节点个数为:2k-1-1为奇数个

​ 如果整棵树具有偶数节点,那么最后一层一定具有奇数个节点

​ 也就是必出现度为1的节点。如下图

image.png

​ 如果总节点数为奇数,第k层就是偶数个节点,就不会出现度为1的节点(只有n1,n2),如下图

image.png

​ ==回到例题==,本题共有2n个节点,也就是偶数个节点,那么必有一个n1节点

所以2n = n0 + n1 + n2 = n0 + 1 + n0 - 1 得 n0 = n

所以共有n个叶节点,1个度为1的节点,n - 1个度为2的节点

对于具有n个节点的完全二叉树,如果按照从上至下从左到右的顺序对所有节点从0开始编号,则对于序号为i的节点有:

  • 若i > 0,双亲序号:(i - 1) / 2;i = 0,i为根节点编号,无双亲节点
  • 若2i + 1 < n,左孩子序号:2i + 1,否则五孩子
  • 若2i + 2 < n,右孩子序号:2i + 2,否则无右孩子

二叉树的创建

image.png

​ 图-1

代码

public class BinaryTree {
    static class TreeNode {
        //创建元素
        public char element;
        //左节点
        TreeNode left;
        //右节点
        TreeNode right;
        
        //构造方法
        public TreeNode(char element) {
            this.element = element;
        }
    }
    
    //创建根节点
    public TreeNode root;
    
    //创建一颗二叉树(非递归)
    public void createBinaryTree() {
        root = new TreeNode('A');
        TreeNode B = new TreeNode('B');
        TreeNode C = new TreeNode('C');
        TreeNode D = new TreeNode('D');
        TreeNode E = new TreeNode('E');
        TreeNode F = new TreeNode('F');
        TreeNode G = new TreeNode('G');
        root.left = B;
        root.right = C;
        B.left = D;
        B.right = E;
        D.left = F;
        C.left = G;
    }
}

前序递归遍历

思路

前序遍历是中,左,右。

递归最主要的就是判断条件,因为递归的原理就是将一个大问题简化为很多个子问题,而且无论是大问题还是子问题,他们执行的条件必须相同

所以我们前序递归遍历就是将一个大的二叉树,分为很多小的二叉树。只要是判断条件对了,下面就只管递归就行了。

先看简化后树的执行条件:

1、如果根节点为空

image.png

​ 此时直接中止程序就行,没有需要打印的值

2、如果根节点不为空

image.png

​ 根节点不为空,此处先打印A(中节点),然后打印左节点B(往左子树走),再打印右节点C(往右节点走)。

所以我们代码的逻辑就是,先判断是不是空,是空返回,不是空打印,然后往左走,左走完再往右走。那通过简化后树的逻辑适不适合复杂的二叉树呢?

image.png

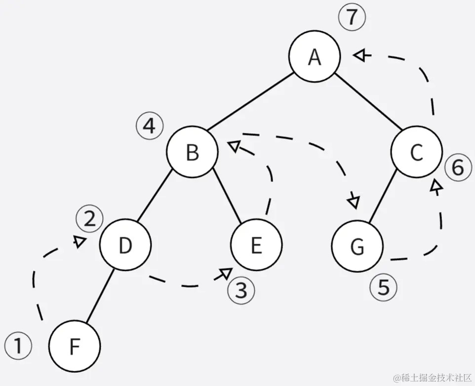
这里A是中节点,先打印自身,然后开始遍历左树,到了B节点,他自身也是一颗二叉树(红框),所以也要先打印自身,再往B的左节点走。D也是一颗二叉树,先打印自身,再往左节点F走,F的左右节点为空。返回到D的右节点,D的右节点为空,返回到B的右节点,打印E。E的左右节点为空,此时B这颗树已经走完了,所以A的左子树走完,走右子树。到了C,打印自身,再往G走,打印自身,左右节点为空,返回到C的右节点,为空。执行完毕。

代码

public void preOrder(TreeNode root) {
    //判断是否为空
    if (root == null) {
        return;
    }
    //打印改节点的值
    System.out.println(root.element);
    //左子树
    preOrder(root.left);
    //右子树
    preOrder(root.right);
}

带图分析代码(套递归)

为了方便大家理解,初学递归可以带着代码进行套递归操作,❗但是在做题的时候不建议现场套递归❗,因为这样你的大脑会乱(套不了几层就乱了),更建议看子问题的返回值,通过返回值写递归比直接套递归更清晰。那么本题没有返回值,void。所以只是一个判断条件在控制整个递归,如果符合就继续,不符合就退出。后面会有带有返回值的例题,到时候我们再细嗦~~

画图板是Pixso

有树有解析版:

image.png

纯代码版:

image.png

中序递归遍历

思路

中序递归节点顺序是左中右,那么和前序遍历的判断条件是一样的,只是打印操作和寻找节点的操作调换一下顺序。前序遍历是如果根节点不为空,就打印,并往左子树走,走完左再走右。而中序遍历是先走左,如果左不为空就一直往左走,一直走到黑(节点为空),如果为空,返回并打印返回后所在节点。然后再打印中,在打印右。

image.png

代码

public void inorder(TreeNode root) {
    if(root == null) {
        return;
    }
    
    inorder(root.left);
    System.out.println(root.element);
    inorder(root.right);
}

后序递归遍历

思想

打印顺序:左右中,若树为空返回,先遍历左树(一股劲走到黑),到头之后打印,然后再打印右树,最后再打印根。

image.png

代码

public void postorder(TreeNode root) {
    if (root == null) {
        return;
	}
    postorder(root.left);
    postorder(root.right);
    System.out.println(root.element);
}