js基本功修炼,巩固知识点

3,161 阅读11分钟

js数据传递

function increase(a) {
  a++;
}
var a = 1;
increase(a);
increase(a);

console.log(a);

函数里面给形参重新赋值不会影响外面的变量,形参自己有个内存地址,保存外面传进来的值

function increase(a) {
  a = { n: 2 };
}
var a = { n: 1 };
increase(a);

console.log(a);

形参是对象时,重新赋值为一个地址,也不影响外面的变量

function increase(a) {
  a.n = 2;
}
var a = { n: 1 };
increase(a);

console.log(a);

这种情况会影响外面的变量,形参对象没有重新赋值,函数里面操作的形参地址是外面变量的地址

promise async

题1

Promise.resolve()
  .then(() => {
    console.log(0);
    return Promise.resolve(4);
  })
  .then((res) => console.log(res));

Promise.resolve()
  .then(() => {
    console.log(1);
  })
  .then(() => {
    console.log(2);
  })
  .then(() => {
    console.log(3);
  })
  .then(() => {
    console.log(5);
  })
  .then(() => {
    console.log(6);
  });

当同步代码执行一遍后,Promise.resolve()是完成状态,then里面的回调会加入微任务队列,

微任务队列: [() => { console.log(1) },() => { console.log(0); return Promise.resolve(4)} ]

然后从微队列取函数执行,先进先出,首先打印0,这个函数返回一个Promise.resolve(4),Promise.resolve(4)返回的是一个新的promise,当出现then里面的回调函数返回一个新的promise的情况,

此时,这个 then(() => { console.log(0); return Promise.resolve(4) })方法产生的promise(记作p0)状态与Promise.resolve(4)产生的promise(记作p4)状态一致,也就是p4状态完成,p0状态就完成,并且放到微任务队列中

微任务队列: [()=>p4.then(()=>p0完成状态),() => { console.log(1) } ]

接着取任务执行,打印1,then(() => { console.log(1); })完成,接着把它产生的promise的then里面的回调放到微队列

微任务队列: [() => { console.log(2) },()=>p4.then(()=>p0完成状态) ]

执行()=>p4.then(()=>p0完成),

微任务队列: [()=>p0完成状态,() => { console.log(2) } ]

打印2,添加() => { console.log(3); }到微队列

微任务队列: [() => { console.log(3), },()=>p0完成状态 ]

执行 ()=>p0完成昨态,添加(res) => console.log(res)到微队列,

微任务队列: [(res) => console.log(res),() => { console.log(3), } ]

接下来顺序就是打印3,添加5,打印4,打印5,添加6,打印6

题2

console.log("script start");

setTimeout(function () {
  console.log("setTimeout1");
  new Promise(function (resolve) {
    resolve();
  }).then(function () {
    new Promise(function (resolve) {
      resolve();
    }).then(function () {
      console.log("then4");
    });
    console.log("then2");
  });
});

new Promise(function (resolve) {
  console.log("promise1");
  resolve();
}).then(function () {
  console.log("then1");
});

setTimeout(function () {
  console.log("setTimeout2");
});

console.log(2);

queueMicrotask(() => {
  console.log("queueMicrotask1");
});

new Promise(function (resolve) {
  resolve();
}).then(function () {
  console.log("then3");
});

console.log("script end");

当同步代码执行一遍后,依次打印,script start, promise1, 2 ,script end,同时

微任务队列:[()=>console.log("queueMicrotask1"),()=>console.log("then1")]

宏任务队列:[()=>console.log("setTimeout2"),setTimeout1宏任务]

先取出微任务执行,接着打印then1 ,queueMicrotask1,微任务队列此时清空了,然后才取出宏任务执行,取出第一个宏任务setTimeout1执行,接着打印"setTimeout1",执行到promise的resolve,接着往微任务队列放任务,

微任务队列:[then2和then4这个微任务]

宏任务队列:[()=>console.log("setTimeout2")]

微队列有任务接着执行,清空了才执行宏任务队列,取出微任务执行,打印"then2",又遇到promise的resolve(),

微任务队列:[()=>console.log("then4")]

宏任务队列:[()=>console.log("setTimeout2")]

然后把微任务队列和宏任务队列任务取出来执行就是了

题3

async函数完全可以看作多个异步操作,包装成的一个 Promise 对象,而await命令就是内部then命令的语法糖;await以下行的代码放到微任务队列执行

async function async1 () {
  console.log('async1 start')
  await async2();
  console.log('async1 end')
}

async function async2 () {
  console.log('async2')
}

console.log('script start')

setTimeout(function () {
  console.log('setTimeout')
}, 0)

async1();

new Promise (function (resolve) {
  console.log('promise1')
  resolve();
}).then (function () {
  console.log('promise2')
})

console.log('script end')

当同步代码执行一遍后,先依次打印'script start' ,'async1 start' ,'async2', 'promise1', 'script end',执行到第3行代码时,async2返回undefined,相当于执行Promise.resolve(undefined),后面的代码相当于放到then回调中,也就是放到微任务队列中

题4

async function async1() {
  console.log(1);
  await asy2();
  console.log(2);
}

asy2 = async () => {
  await setTimeout(() => {
    Promise.resolve().then(() => {
      console.log(3);
    });
    console.log(4);
  }, 0);
};

asy3 = async () => {
  Promise.resolve().then(() => {
    console.log(6);
  });
};

async1();
console.log(7);
asy3();

开始先执行async1,打印1,执行asy2,把setTimeout回调放到宏任务,然后asy2 里面就相当于 await Promise.resolve(timerId),要等asy2执行完成,才能打印2,由于Promise.resolve(timerId)是完成状态,后面的代码进入微队列,后面没有代码,此时()=〉asy2完成进入微队列,

宏队列:[callback^34]

微队列:[()=>asy2完成]

接着执行打印7,执行asy3,打印6进入微队列

微队列:[()=>asy2完成,()=>console.log(6)]

同步代码执行完了,从微队列取出任务执行,先取出执行asy2执行完成,console.log(2)进入微队列

微队列:[()=>console.log(6),()=>console.log(2)]

先执行完微队列,在执行宏队列的任务, 依次打印6,2,4,3

迭代器,生成器

怎么使 const [a, b] = { a: 1, b: 1 }成立

目前这行代码会报错

a.js:1 Uncaught TypeError: {(intermediate value)(intermediate value)} is not iterable

通过报错,可以知道,就是把等式右边的对象变成可迭代的,

1.如果要实现一个可迭代的对象,就要满足可迭代协议,这意味着对象(或者它原型链上的某个对象)必须有一个属性 Symbol.iterator ,

2.它是一个无参数的函数,其返回值为一个符合迭代器协议的对象,也就是返回一个迭代器对象,迭代器对象里面有next方法,nex方法返回对象{ done:boolean, value:值}

思路就是给右边对象加方法[Symbol.iterator],让它返回一个迭代器

const [a, b] = {
  a: 1,
  b: 2,
  [Symbol.iterator]() {
    // 数组的[Symbol.iterator]方法返回迭代器
    return Object.values(this)[Symbol.iterator]();
  },
};

// 或者写在原型上
Object.prototype[Symbol.iterator] = function () {
  return Object.values(this)[Symbol.iterator]();
};

另一种思路使用生成器, 执行 生成器 函数会返回一个迭代器对象,该对象本身也具有Symbol.iterator属性,执行后返回自身

function* gen() {}
var g = gen();
g[Symbol.iterator]() === g; //true

所以使用生成器来实现Symbol.iterator属性,是非常妙的

Object.prototype[Symbol.iterator] = function* () {
  for (const n of Object.values(this)) {
    yield n;
  }
};

更妙的是使用 yield*表达式,yield*后面跟的是一个可迭代的对象,它会调用该对象的Symbol.iterator方法

数组是可迭代的,放在yield*后面,将返回这个数组的迭代器对象

Object.prototype[Symbol.iterator] = function* () {
   yield* Object.values(this);
};

闭包

闭包题一

var o = (function () {
  var obj = {
    a: 1,
    b: 2,
  };
  return {
    get: function (k) {
      return obj[k];
    },
  };
})();

要求:不改变上面代码的情况下,修改obj对象

那就要想办法拿到这个obj对象,那就在读取obj的时候拿到obj,

Object.defineProperty(Object.prototype, "c", {
  get() {
    return this;
  },
});

给对象原型加一个属性,通过o.get('c')就能拿到obj

js 加法运算规则

查看 强制类型转换

whiteboard_exported_image (13).png

proxy 代理

使用代理取动态属性

const a1 = add[1][2][3] + 4;
const a2 = add[10][20] + 30;
const a3 = add[100][200][300] + 400;

怎样使 a1=10, a2=60, a3=1000 ?

先了解,Symbol.toPrimitive是一个内置的函数属性,被所有的 强类型转换制 算法优先调用,

const add = new Proxy(
  {
    initialValue: 0,
  },
  {
    get(target, p, receiver) {
      console.log(target, p);
      // 强制类型转换
      if (p === Symbol.toPrimitive) {
        return () => target.initialValue;
      }
      target.initialValue += +p;
      // add[1][2][3],链式的取值,那就返回这个代理
      return receiver;
    },
  }
);

js 赋值(=)

如:const a = 1,有四个步骤:

  1. 找到a的地址,准备赋值
  2. 运算右侧得到要赋值的数据
  3. 将右侧运算数据放到之前的地址中
  4. 返回整个表达式的结果为右侧运算数据
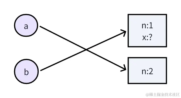
var a = { n: 1 };
var b = a;
a.x = a = { n: 2 };

console.log(a.x);
console.log(b.x);

前两行运行后

whiteboard_exported_image (11).png

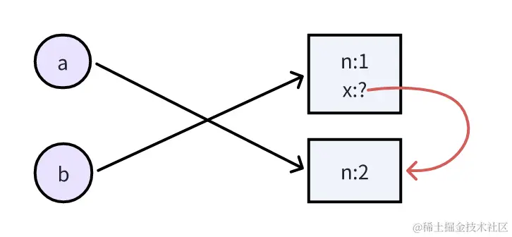
第三行,先找到a.x的位置,没有,给a加个属性

whiteboard_exported_image (12).png

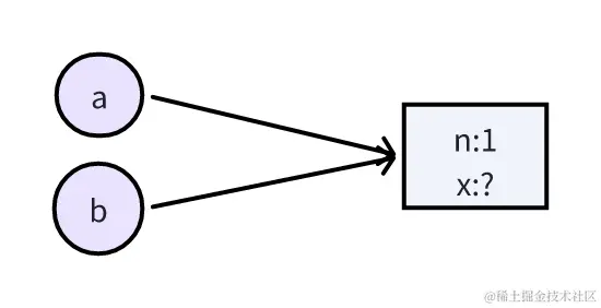
接着算右边 a = { n: 2 },首先定位a的位置,然后把右边结果赋值给a

whiteboard_exported_image (9).png

然后把 a = { n: 2 } 的运行结果 {n:2} 给a.x这个地址

whiteboard_exported_image (10).png

判断相等性

Object.is=== 差别在于 -0,NaN,其他都一致

console.log(Object.is(NaN, NaN)); //true
console.log(NaN === NaN); // false

console.log(Object.is(-0, +0)); // false
console.log(-0 === +0); // true

set妙用

Set是一种叫做集合的数据结构,集合是由一堆无序的、相关联的,且不重复的内存结构组成的组合, 有以下增删改查方法:

  • add:添加某个值,返回 Set 结构本身,可以链式调用,set.add(1).add(2),当添加实例中已经存在的元素,set不会进行处理添加;
  • delete:删除某个值,返回一个布尔值,表示删除是否成功;
  • clear:清除所有成员,没有返回值
  • has:返回一个布尔值,判断该值是否为Set的成员

set还有以下遍历方法:

  • keys():返回键名的遍历器
  • values():返回键值的遍历器
  • entries():返回键值对的遍历器
  • forEach():使用回调函数遍历每个成员

set.keys、set.valus、set.entries返回的都是迭代器,一般和for...of搭配用

数组并集、交集、差集

const arr1 = [1, 2, 3, 4, 5, 6];
const arr2 = [3, 9, 8, 6, 4, 1];

// 并集 union
const union = [...new Set([...arr1, ...arr2])];

// 交集 cross
const cross = [...new Set(arr1)].filter((item) => arr2.includes(item));

// 差集 diff
const diff = union.filter((item) => !cross.includes(item));

reduce函数妙用

随便给一个字符串:'dsjdkjdjfdgrekjjh'

普遍写法

function countFrequency(str) {
  const resObj = {};

  for (let i = 0; i < str.length; i++) {
    if (resObj[str[i]]) {
      resObj[str[i]]++;
    } else {
      resObj[str[i]] = 1;
    }
  }
  return resObj;
}

使用数组的reduce函数

function countFrequency(str) {
  return str.split("").reduce((a, b) => (a[b]++ || (a[b] = 1), a), {});
}

reduce 一般用的比较多的是求和,它接收两个参数。

第一次执行回调函数时,不存在“上一次的计算结果”。如果需要回调函数从数组索引为 0 的元素开始执行,则需要传递初始值。否则,数组索引为 0 的元素将被用作初始值,迭代器将从第二个元素开始执行(即从索引为 1 而不是 0 的位置开始)

这里第一次执行,a就是对象{},b就是第一个字符,如果a[b]没有,就是undefined,undefined++就是NaN,转成boolean就是false,通过 逗号运算符 函数返回a,继续循环累计

只要是遍历累计的都可以使用reduce来尝试一下

跨标签页通信

使用localStorage

image.png

image.png

image.png

通过监听storage事件,可以获取其他标签页保存的信息

// 监听消息
export function listenMessage(handler) {
  function storageHandler(e) {
    const value = JSON.parse(e.newValue);
    handler(e.key.substring(3), value.payload);
  }
  window.addEventListener("storage", storageHandler);

  return () => window.removeEventListener("storage", storageHandler);
}

// 发送消息
export function sendMessage(type, payload) {
  localStorage.setItem(
    "__@" + type, // 保证类型唯一
    JSON.stringify({
      payload,
      temp: Date.now(), //保证触发storage事件,值不变不触发
    })
  );
}

取消请求

XML: XMLHttpRequest.abort()


var xhr = new XMLHttpRequest(),
  method = "GET",
  url = "https://developer.mozilla.org/";
xhr.open(method, url, true);

xhr.send();

if (OH_NOES_WE_NEED_TO_CANCEL_RIGHT_NOW_OR_ELSE) {
  xhr.abort();
}

fetch:controller.abort()


controller = new AbortController();
const signal = controller.signal;

fetch(url, { signal })

controller.abort() //取消

axios:controller.abort()

const controller = new AbortController();
axios.get('/foo/bar', 
  { signal: controller.signal }
)
.then(function(response) { //... }); 
// 取消请求 
controller.abort()

input输入中文拼音触发事件

 <body>
    <input type="text" />
  </body>
const inputElement = document.querySelector('input[type="text"]');

inputElement.addEventListener("input", (event) => {
  console.log(`input: ${event.target.value}`);
});

inputElement.addEventListener("change", (event) => {
  console.log(`change: ${event.target.value}`);
});

inputElement.addEventListener("compositionstart", (event) => {
  console.log(`composition开始: ${event.data}`);
});

inputElement.addEventListener("compositionupdate", (event) => {
  console.log(`composition更新: ${event.data}`);
});

inputElement.addEventListener("compositionend", (event) => {
  console.log(`composition结束: ${event.data}`);
});

输入数字或者英文的时候,input事件 会随着输入value值变化触发,change事件 会在值被修改后提交value时(比如:失去焦点或者按回车时)触发;

输入中文拼音,input事件触发时机不变,输入一个拼音就触发一次,change事件也是提交值触发, compositionstart 是第一次输入拼音触发,compositionupdate 是每输入一个拼音触发,compositionend 输入最后一个拼音触发

但是输入中文拼音有时候不需要触发事件,想要的是输入完后触发,可以通过composition事件来控制

如何在chrome浏览器设置小于12px的字体

谷歌浏览器最小字体限制为12px

一种方式是去浏览器设置改

image.png

另一种方式就是用css去调整,使用 transform:scale()去设置,但它只对块级盒子有效,如果是span这种行内元素,可以再加一下dispaly:inline-block

使元素滚动到可视区域

  1. 设置hash,给元素一个id,地址栏中设置一个hash值,就可以实现,但是有缺点,滚动条必须是整个页面的滚动条,不能是某个区域的,如果项目中使用了路由的hash模式,就会冲突

image.png 2. scrollIntoView 一个非常好用的api,它会滚动元素的父容器,使被调用 scrollIntoView() 的元素对用户可见,还提供多个配置,可以用来做轮播图

防止用户多次点击提交数据

  • 1、设置css,pointer-events: none,但是,当其后代元素的pointer-events属性指定其他值时,鼠标事件可以指向后代元素,在这种情况下,鼠标事件将在捕获或冒泡阶段触发父元素的事件侦听器。
  • 2、增加个立即触发的防抖
function debounce(fn, delay, immediate = true) {
  let timer = null;
  // 控制立即执行
  let flushing = false;
  return function (...args) {
    if (timer) {
      clearTimeout(timer);
    }
    // 是否立即执行
    if (immediate && !flushing) {
      fn.apply(this, args);
      flushing = true;
    } else {
      timer = setTimeout(() => {
        fn.apply(this, args);
        flushing = false;
      }, delay);
    }
  };
}
  • 3、加遮罩,搞一个全屏的loading效果,或者给按钮加loading效果
  • 4、给按钮加disabled属性