- hello,大家好,我是 Lorin ,首先祝大家双节快乐,这篇文章也是放假前的最后一篇文章,祝大家食用愉快,有所收获。
引言
- 在计算机科学和数据结构领域,二叉树是一种基本的数据结构,常用于实现各种算法和数据处理。在二叉树的概念中,有两个重要的子类:完全二叉树和满二叉树。本文将详细介绍这两种类型的二叉树,探讨它们的特点、区别以及应用场景。
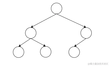
完全二叉树

定义
1、除了最后一层外,每一层的节点都被填满。
2、如果最后一层存在节点,那么这些节点从左到右依次填充,不留空缺。
3、完全二叉树的高度通常较小,具有良好的平衡性。
数组和完全二叉树转换
- 由于完全二叉树的特殊性,我们可以用数组存储完全二叉树,下面我们看看它们之间如何转换:
- 示例:
数组:[1, 2, 3, 4, 5, 6, 7]
对应完全二叉树:
1
/ \
2 3
/ \ / \
4 5 6 7
数组转完全二叉树
- 给定一个数组 [1, 2, 3, 4, 5, 6, 7],要将它转换为完全二叉树,可以按照以下步骤进行:
数组中的第一个元素是树的根节点,即 1。
对于数组中的第 i 个元素,它的左子节点位于数组的第 2*i 个位置,右子节点位于数组的第 2*i+1 个位置。根据这个规则,构建树的其他节点。
左子节点:2*1 = 2,所以根节点 1 的左子节点是 2。
右子节点:2*1+1 = 3,所以根节点 1 的右子节点是 3。
根节点 2 的左子节点是 4,右子节点是 5。
根节点 3 的左子节点是 6,右子节点是 7。
重复上述步骤,直到数组中的所有元素都构建成二叉树。
完全二叉树转数组
- 给定一个完全二叉树,要将它转换为数组,可以按照以下步骤进行:
遍历二叉树,按照层次顺序从上到下、从左到右依次访问节点。
将每个访问的节点的值按照顺序存储到数组中。
Java 版实现
class TreeNode {
int val;
TreeNode left;
TreeNode right;
TreeNode(int val) {
this.val = val;
}
}
public class Convertor {
public static TreeNode arrayToCompleteBinaryTree(int[] arr) {
return arrayToCompleteBinaryTree(arr, 0);
}
private static TreeNode arrayToCompleteBinaryTree(int[] arr, int index) {
if (index >= arr.length) {
return null;
}
TreeNode root = new TreeNode(arr[index]);
root.left = arrayToCompleteBinaryTree(arr, 2 * index + 1);
root.right = arrayToCompleteBinaryTree(arr, 2 * index + 2);
return root;
}
public static int[] completeBinaryTreeToArray(TreeNode root) {
int height = getHeight(root);
int[] arr = new int[(int) Math.pow(2, height) - 1];
completeBinaryTreeToArray(root, arr, 0);
return arr;
}
private static void completeBinaryTreeToArray(TreeNode root, int[] arr, int index) {
if (root == null) {
return;
}
arr[index] = root.val;
completeBinaryTreeToArray(root.left, arr, 2 * index + 1);
completeBinaryTreeToArray(root.right, arr, 2 * index + 2);
}
private static int getHeight(TreeNode root) {
if (root == null) {
return 0;
}
return 1 + Math.max(getHeight(root.left), getHeight(root.right));
}
public static void main(String[] args) {
int[] arr = {1, 2, 3, 4, 5, 6};
TreeNode root = arrayToCompleteBinaryTree(arr);
int[] result = completeBinaryTreeToArray(root);
for (int num : result) {
System.out.print(num + " ");
}
}
}
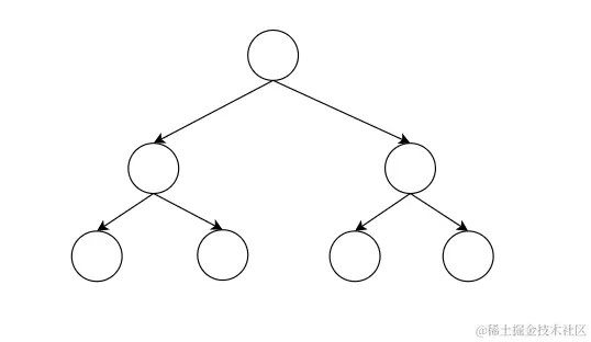
满二叉树

定义
- 满二叉树是一种更加特殊的完全二叉树,具有以下特点:
1、所有层的节点都被填满。
2、满二叉树的高度是固定的,由节点数量决定。
高度为 H 满二叉树节点个数 N:
N = 2^0 + 2^1 + 2^2 + ... + 2^H = 2^H - 1
数组和满二叉树转换
- 满二叉树是一棵特殊的完全二叉树,因此实现方式和完全二叉树相同。
总结
树高度
- 完全二叉树的高度通常较小,但不确定,取决于节点数量。
- 满二叉树的高度由节点数量决定,是确定的。
应用场景
- 完全二叉树在堆数据结构中广泛应用,如二叉最小堆和二叉最大堆。
- 满二叉树在一些特定的数据存储和检索算法中有用,但相对较少见。