大话数据结构--图-CSDN博客

212 阅读28分钟

总目录

一、数据结构概述
二、算法概述
三、线性表
四、栈与队列
五、串
六、树
七、图
八、查找
九、排序

数据结构与算法基础(青岛大学-王卓)

前言

文章来源于大话数据结构

提升编程基础能力
数据结构、操作系统、计租、网络
陆续会慢慢更新!

资料获取

image.png

七、图

7.1图的定义

图( Graph)是由顶点的有穷非空集合和顶点之间边的集合组,通常表示为: G(V,E),其中,G表示一个图,V是图G中顶点的集合,E是图G中边的集合。

image-20211117094029909

  • 线性表中我们把数据元素叫元素,树中将数据元素叫结点,在图中数据元素,我们则称之为顶点(Vertex)
  • 线性表中可以没有数据元素,称为空表。树中可以没有结点,叫做空树。那么对于图呢?在图结构中,不允许没有顶点。在定义中,若V是顶点的集合,则强调了顶点集合V有穷非空。
  • 线性表中,相邻的数据元素之间具有线性关系,树结构中,相邻两层的结点具有层次关系,而图中,任意两个顶点之间都可能有关系,顶点之间的逻辑关系用边来表示,边集可以是空的。

7.1.1 各种图的定义

无序对(unordered pair)一种特殊的集合.即仅含两个元素的集合.


有向图

每条边都是有方向的

image-20211117095526493

无向图

每条边都是无方向的

image-20211117095534527

完全图

任意两个点都有一条边相连

image-20211117095746697

稀疏图

有很少边或弧的图(e <nlogn)

稠密图

有较多边或弧的图

边/弧带权的图

邻接

有边/弧相连的两个顶点之间的关系

存在(Vi, Vj),则称v和v:互为邻接点;

存在<Vi, Vj>,则称Vi邻接到Vj, Vj邻接于Vi;

关联(依附)

边/弧与顶点之间的关系

存在(Vi, Vj)/<Vi, Vj>,则称该边/弧关联于Vi和Vj;

顶点的度

与该顶点相关联的边的数目,记为TD(v)

有向图中,顶点的度等于该顶点的入度与出度之和。

​ 顶点V的入度是以v为终点的有向边的条数,记作ID(v)

​ 顶点v的出度是以V为始点的有向边的条数,记作OD(v)

看实例:

image-20211117101211186

当有向图中仅1个顶点的入度为0,其余顶点的入度均为1,此时是何形状?
是树!而且是一棵有向树!

image-20211117101538804

路径

若干条边构造的顶点序列

image-20211117102927932

路径长度

路径上边或弧的数目/权值之和

如果没有权值,上图这个路径的长度就是2

如果边有权值,那么边上的权值相加就是路径长度

回路(环)

第一个顶点和最后一个顶点相同的路径

image-20211117103322575

简单路径

除路径起点和终点可以相同外,其余顶点均不相同的路径

image-20211117103300841

简单回路(简单环)

除路径起点和终点相同外,其余顶点均不相同的路径。

连通图(强连通图)

在无(有)向图G=(V, {E} )中,若对任何两个顶点v、u都存在从V到u的路径,则称G是连通图(强连通图)

image-20211117151301404

从图中能很明白的看出各个概念之间的差异

这里不多解释

子图

image-20211117152043639

image-20211117152058995

如上,可以轻松看出图b和图c都是图a的子图

连通分量

无向图G的极大连通子图称为G的连通分量。

极大连通子图是指顶点的个数已经是最大的了,在添加顶点的话子图不能形成连通了

image-20211117152634004

强连通分量

有向图G的极大强连通子图称为G的强连通分量。

极大强连通子图意思是:该子图是G的强连通子图,将D的任何不在该
子图中的顶点加入,子图不再是强连通的。

image-20211117153030009

极小连通子图

该子图是G的连通子图,在该子图中删除任何一条边子图不在连通

极小连通子图可以包含所有顶点,也可以不包含所有顶点

生成树

包含无向图G所有顶点的极小连通子图

生成森林

对非连通图,由各个连通分量的生成树的集合

image-20211117153655978

7.1.2图的定义与术语总结

图按照有无方向分为无向图和有向图。无向图由顶点和边构成,有向图由顶点和弧构成。弧有弧尾和弧头之分。

图按照边或弧的多少分稀疏图和稠密图。如果任意两个顶点之间都存在边叫完全图,有向的叫有向完全图。若无重复的边或顶点到自身的边则叫简单图

图中顶点之间有邻接点、依附的概念。无向图顶点的边数叫做度,有向图顶点分为入度和出度。

图上的边或弧上带则称为

图中顶点间存在路径,两顶点存在路径则说明是连通的,如果路径最终回到起始点则称为环,当中不重复叫简单路径。若任意两顶点都是连通的,则图就是连通图,有向则称强连通图。图中有子图,若子图极大连通则就是连通分量,有向的则称强连通分量。

无向图中连通且n个顶点n-1条边叫生成树。有向图中一顶点入度为0其余顶点入度为1的叫有向树。一个有向图由若千棵有向树构成生成森林。

7.2图的抽象数据类型

ADT图(Graph)
Data
	顶点的有穷非空集合和边的集合。
Operation
    CreateGraph (*G,V,VR) :按照顶点集V和边弧集VR的定义构造图G。
    DestroyGraph(*G) :图G存在则销毁。
    LocateVex(G,u) :若图G中存在顶点u,则返回图中的位置。
    GetVex (G,v) :返回图G中顶点v的值。
    PutVex (G,v,value) :将图G中顶点v赋值value。
    FirstAdjVex (G,*v) :返回顶点v的一个邻接顶点,若顶点在G中无邻接顶点返回空。
    NextAdjVex (G,v,*w) :返回顶点v相对于顶点w的下一一个邻接顶点,若w是v的最后
    					一个邻接点则返回“空"。
    InsertVex (*G,v) :在图G中增添新顶点V。
    DeleteVex ( *G,v):删除图G中顶点v及其相关的弧。
    InsertArc ( *G,v,w):在图G中增添弧<v,w>,若G是无向图,还需要增添对称弧
    					<w,v>。
    DeleteArc (*G,v,w):在图G中删除弧<v,w>,若G是无向图,则还删除对称弧
    DFSTraverse(G):对围G中进行深度优先遍历,在遍历过程对每个顶点调用。
    HFSTraverse(G) :对图G中进行广度优先遍历,在遍历过程对每个顶点调用。
endADT

7.3图的存储结构

7.3.1领接矩阵

图的邻接矩阵(Adjacency Matrix) 存储方式是用两个数组来表示图。一个一维数组存储图中顶点信息,一个二维数组(称为邻接矩阵)存储图中的边或弧的信息。

1.无向图的邻接矩阵

image-20211117162429916

2.有向图的邻接矩阵

image-20211117173959652

分析1: 有向图的邻接矩阵可能是不对称的。
分析2: 顶点的出度=第i行元素之和
顶点的入度=第列元素之和
顶点的度=第i行元素之和+第j元素之和

3.网(即有权图)的邻接矩阵表示法

image-20211117174436567

代码实现:

用两个数组分别存储顶点表和邻接矩阵

#define MaxInt 32767	//表示极大值,即∞
#define MVNum 100	//最大顶点数
typedef char VerTexType;	//设顶点的数据类型为字符型
typedef int ArcType;//假设边的权值类型为整型

typedef struct{
    VerTexType vexs{MVNum];	//顶点表
    ArcType arcs[MVNum][MVNum]; 	//邻接矩阵
    int vexnum, arcnum;		 	//图的当前点数和边数。
}AMGraph;	 // Adjacency Matrix Graph

7.3.2邻接表

为了解决边数相对顶点较少的图,邻接矩阵这种结构会存在大量的空间浪费

如下:

image-20211117201028744

再回忆我们在树中谈存储结构时,讲到了一种孩子表示法,将结点存入数组,并对结点的孩子进行链式存储,不管有多少孩子,也不会存在空间浪费问题。这个思路同样适用于图的存储。我们把这种数组与链表相结合的存储方法称为邻接表
(Adjacency List)。

邻接表的处理办法:

1.图中顶点用一个一维数组存储,当然,顶点也可以用单链表来存储,不过数组可以较容易地读取顶点信息,更加方便。另外,对于顶点数组中,每个数据元素还需要存储指向第一个邻接点的指针,以便于查找该顶点的边信息。

2.图中每个顶点Vi的所有邻接点构一个线性表,由于邻接点的个数不定,所以用单链表存储,无向图称为顶点Vi的边表,有向图则称为顶点Vi作为弧尾的出表。

image-20211117201504503

上图中的V1顶点与V0、V2互为邻接点,则在V1的边表中,adjvex分别为V0的0和V2的2

下面解释什么是边表

顶点表的各个节点由data和firstedge两个域表示,data是数据域,存储顶点的信息,firstedge是指针域,**指向边表(因为它是无向图,所以叫边表)**的第一个结点,即此顶点的第一个邻接点。边表结点由adjvex和next两个域组成。adjvex 是邻接点域,存储某顶点的邻接点在顶点表中的下标,next 则存储指向边表中下一个结点的指针。

在有向图中,邻接表的结构是类似的

我们可以建立一个有向图的逆邻接表,即对每个顶点Vi都建立一个链接为v为弧头的表

image-20211117202453595

image-20211117202504430

此时我们很容易就可以算出某个顶点的入度或出度是多少,判断两顶点是否存在弧也很容易实现。

对于带权值的网图,可以在边表结点定义中再增加一个weight的数据域,存储权值信息即可

image-20211117202716960

7.3.3十字链表

那么对于有向图来说,邻接表是有缺陷的。关心了出度问题,想了解入度就必须要遍历整个图才能知道,反之,逆邻接表解决了入度却不了解出度的情况。有没有可能把邻接表与逆邻接表结合起来呢?答案是肯定的,就是把它们整合在一起。这就是我们现在要讲的有向图的一种存储方法:十字链表(Orthogonal List)。

重新定义结点表结点结构

data firstin firstout

其中firstin表示入边表头指针,指向该顶点的入边表中第一个结点, firstout 表示出边表头指针,指向该顶点的出边表中的第一个结点。

重新定义边表结点结构

image-20211117203142673

其中**tailvex 是指弧起点在顶点表的下标,headvex 是指弧终点在顶点表中的下标,headlink是指入边表指针域,指向终点相同的下一条边,tallink 是指边表指针域,指向起点相同的下一条边。**如果是网,还可以再增加一个 weight域来存储权值。

实例如下:

image-20211117203324383

以顶点V0来说,firstout指向的是出边表中的第一个结点V3所以tailvex和headvex是03(就是数组下标),那为什么headlink和taillink为空了呢,因为没用终点和V0一样的结点了(指向V3的),那为什么taillink也为空呢,因为没有和V0一样起点的结点(从V0出发)了呀!

图中也有些例子,可以多理解理解

同志们一定好好看看和理解这个图!!!

​ 十字链表的好处就是因为把邻接表和逆邻接表整合在了一起,这样很容易找到以Vi为尾的弧,也容易找到以vi为头的弧,从而更容易求得顶点的出度和入度

​ 缺点就是结构复杂了一点,在有向图的应用中,十字链表是非常好的数据结构模型

7.3.4邻接多重表

十字链表对有向图的存储结构进行了优化

在无向表的应用中,关注的重点是顶点,邻接表是好的选择

如果关注的是边的操作,就需要更简单的方式

对边表结点结构重新定义

image-20211117232920410

其中ivex和jvex是与某条边依附的两个顶点在顶点表中下标。

ilink 指向依附顶点ivex的下一条边

jlink 指向依附顶点jvex的下一条边

下图告诉我们它有4个顶点和5条边,显然,我们就应该先将4个顶点和5条边的边表结点画出来。由于是无向图,所以ivex是0、jvex是1还是反过来都是无所谓的,不过为了绘图方便,都将ivex值设置得与一旁的顶点下标相同。

好,我们来分析这个图

firstedge是指针域,指向边表的第一个结点,ivex和jvex是依附于边的顶点坐标的下标(注意是顶点坐标的下标),比如图中的0和1,那么它们就代表顶点V0和顶点V1中间的那条边

那么ilink和jlink是什么呢?

ilink指的是ivex依附顶点的下一条边

jlink指的是jvex依附顶点下一条边

实例如图所示:

image-20211118080943657

看上面的连线,firstedge指向一条边,顶点下标和ivex的值相同,继续,顶点V0有三个边跟它有关v0v1,v0v2,v0v3

所以连线5,6满足指向下一条依附于顶点的v0的边的目标,ilink指向的结点的jvex一定要和它本身的ivex值相同。连线7就是指v1,v0这条边,它是相当于顶点v1指向v1,v2边后的下一条。v2有三条依附,所以在连线3后就有了8跟9.连线10的就是顶点v3在连线4后下一条边。

图上共5条边所以有10条连线,符合预期

邻接多重表与邻接表的差别,仅仅是在于同一条边在邻接表中用两个结点表示,而在邻接多重表中只有一个结点。 这样对边的操作就方便多了,若要删除左图的(V0,V2) 这条边,只需要将右图的⑥⑨的链接指向改为^即
可。各种基本操作的实现也和邻接表是相似的

7.3.5边集数组

边集数组是由两个一维数组构成。一个是存储顶点的信息;另一个是存储边的信息,这个边数组每个数据元素由一条边的起点下标(begin)、终点下标(end) 和权(weight)组成

实例如下:

image-20211118082428193

这个结构很好理解,看图就能看懂

7.4图的遍历

图的遍历是和树的遍历类似,我们希望从图中某一顶点出 发访遍图中其余顶点,且使每一个顶点仅被访问一次,这一过程就叫做图的遍(Traversing Graph)。

7.4.1深度优先遍历

深度优先遍历(Deep_First_Search),称为简称DFS。

主要思路是从图中一个未访问的顶点 V 开始,沿着一条路一直走到底,然后从这条路尽头的节点回退到上一个节点,再从另一条路开始走到底…,不断递归重复此过程,直到所有的顶点都遍历完成,它的特点是不撞南墙不回头,先走完一条路,再换一条路继续走。

实例如下,序号代表的是遍历的顺序

​ 从根节点 1 开始遍历,它相邻的节点有 2,3,4,先遍历节点 2,再遍历 2 的子节点 5,然后再遍历 5 的子节点 9

​ 此时就从 9 回退到上一个节点 5,看下节点 5 是否还有除 9 以外的节点,没有继续回退到 2,2 也没有除 5 以外的节点,回退到 1,1 有除 2 以外的节点 3,所以从节点 3 开始进行深度优先遍历

​ 同理从 10 开始往上回溯到 6, 6 没有除 10 以外的子节点,再往上回溯,发现 3 有除 6 以外的子点 7,所以此时会遍历 7

​ 从 7 往上回溯到 3, 1,发现 1 还有节点 4 未遍历,所以此时沿着 4, 8 进行遍历,这样就遍历完成了

img

这好像就是树的前序前序遍历啊实际上不管是前序遍历,还是中序遍历,亦或是后序遍历,都属于深度优先遍历。

7.4.2广度优先遍历

广度优先遍历(Breadth_ First Search), 又称为广度优先搜索,简称BFS

指的是从图的一个未遍历的节点出发,先遍历这个节点的相邻节点,再依次遍历每个相邻节点的相邻节点

广度优先便利

它这个遍历类似图中的层序遍历

DFS 一般是解决连通性问题,而 BFS 一般是解决最短路径问题

C语言实现代码就先不写了,之后会更新Java相关的代码实现,敬请期待

7.5最小生成树

引用文章:图解:什么是最小生成树? - 知乎 (zhihu.com)

7.5.1生成树的定义

一个连通图的生成树是一个极小的连通子图,它包含图中全部的n个顶点,但只有构成一棵树的n-1条边。

img

可以看到一个包含3个顶点的完全图可以产生3颗生成树。对于包含n个顶点的无向完全图最多包含 [外链图片转存失败,源站可能有防盗链机制,建议将图片保存下来直接上传(img-UhDPoCzY-1637250894565)(www.zhihu.com/equation?te…)] 颗生成树。比如上图中包含3个顶点的无向完全图,生成树的个数为: [外链图片转存失败,源站可能有防盗链机制,建议将图片保存下来直接上传(img-sOPQgGlo-1637250894567)(www.zhihu.com/equation?te…)].

7.5.2生成树的属性

  • 一个连通图可以有多个生成树;
  • 一个连通图的所有生成树都包含相同的顶点个数和边数;
  • 生成树当中不存在环;
  • 移除生成树中的任意一条边都会导致图的不连通, 生成树的边最少特性;
  • 在生成树中添加一条边会构成环。
  • 对于包含n个顶点的连通图,生成树包含n个顶点和n-1条边;
  • 对于包含n个顶点的无向完全图最多包含 [外链图片转存失败,源站可能有防盗链机制,建议将图片保存下来直接上传(img-WKgCBBcZ-1637250894568)(www.zhihu.com/equation?te…)] 颗生成树。

生成树我们知道了,下面我们来看看最小生成树

所谓一个 带权图 的最小生成树,就是原图中边的权值最小的生成树

通过定义我们知道,最小生成树其实是和带权图联系到一起的,如果是非带权图,那他们只存在生成树,我们来看看例子

img

上图中,原来的带权图可以生成左侧的两个最小生成树,这两颗最小生成树的权值之和最小,且包含原图中的所有顶点。

那么如何从图中得到最小生成树呢?

最小生成树算法有很多,其中最经典的就是克鲁斯卡尔(Kruskal)算法和 普里姆(Prim)算法,也是我们考试、面试当中经常遇到的两个算法。

7.5.3Kruskal算法

贪心算法一般按如下步骤进行:

①建立数学模型来描述问题

②把求解的问题分成若干个子问题

③对每个子问题求解,得到子问题的局部最优解

④把子问题的解局部最优解合成原来解问题的一个解

克鲁斯卡尔算法(Kruskal)是一种使用贪婪方法的最小生成树算法。 该算法初始将图视为森林,图中的每一个顶点视为一棵单独的树。 一棵树只与它的邻接顶点中权值最小且不违反最小生成树属性(不构成环)的树之间建立连边。

第一步:将图中所有的边按照权值进行非降序排列;

img

第二步:从图中所有的边中选择可以构成最小生成树的边。

  1. 选择权值最小的边 [外链图片转存失败,源站可能有防盗链机制,建议将图片保存下来直接上传(img-gEIwcwlA-1637250894572)(www.zhihu.com/equation?te…

[外链图片转存失败,源站可能有防盗链机制,建议将图片保存下来直接上传(img-63KGTZQp-1637250894573)(typora-1259403628.cos.ap-nanjing.myqcloud.com/image-20211…)]

  1. 选择边 [外链图片转存失败,源站可能有防盗链机制,建议将图片保存下来直接上传(img-cPpEBfWk-1637250894575)(www.zhihu.com/equation?te…

image-20211118093830059

  1. 选择边 [外链图片转存失败,源站可能有防盗链机制,建议将图片保存下来直接上传(img-zGIhEGrW-1637250894577)(www.zhihu.com/equation?te…

image-20211118093844616

  1. 选择边 [外链图片转存失败,源站可能有防盗链机制,建议将图片保存下来直接上传(img-tiyBvkxO-1637250894580)(www.zhihu.com/equation?te…

image-20211118093910080

  1. 选择边 [外链图片转存失败,源站可能有防盗链机制,建议将图片保存下来直接上传(img-LxxZdREq-1637250894583)(www.zhihu.com/equation?te…

image-20211118095615796

  1. 选择边 [外链图片转存失败,源站可能有防盗链机制,建议将图片保存下来直接上传(img-38LRNrIG-1637250894586)(www.zhihu.com/equation?te…

image-20211118095631316

  1. 选择边 [外链图片转存失败,源站可能有防盗链机制,建议将图片保存下来直接上传(img-s4cbra7X-1637250894589)(www.zhihu.com/equation?te…

image-20211118095647703

  1. 选择边 [外链图片转存失败,源站可能有防盗链机制,建议将图片保存下来直接上传(img-KMDOKFGc-1637250894591)(www.zhihu.com/equation?te…
  2. 选择边 [外链图片转存失败,源站可能有防盗链机制,建议将图片保存下来直接上传(img-kGbNLFJQ-1637250894592)(www.zhihu.com/equation?te…
  3. 选择边 [外链图片转存失败,源站可能有防盗链机制,建议将图片保存下来直接上传(img-o6lZYa3q-1637250894593)(www.zhihu.com/equation?te…

image-20211118095812555

此时已经包含了图中顶点个数9减1条边,算法停止。

下面我们来用代码实现

int Find(int *parent, int f)
{
 while( parent[f] > 0 )
 {
  f = parent[f];
 }
 
 return f;
}

// Kruskal算法生成最小生成树
void MiniSpanTree_Kruskal(MGraph G)
{
 int i, n, m;
 Edge edges[MAGEDGE]; // 定义边集数组
 int parent[MAXVEX];  // 定义parent数组用来判断边与边是否形成环路
 int eCount = 0;
 for( i=0; i < G.numVertexes; i++ )
 {
  parent[i] = 0;
 }
 
 for( i=0; i < G.numEdges; i++ )
 {
  n = Find(parent, edges[i].begin); // 4 2 0 1 5 3 8 6 6 6 7
  m = Find(parent, edges[i].end);  // 7 8 1 5 8 7 6 6 6 7 7
  
  if( n != m )  // 如果n==m,则形成环路,不满足!
  {
   
   parent[n] = m; // 将此边的结尾顶点放入下标为起点的parent数组中,表示此顶点已经在生成树集合中
   printf("(%d, %d) %d ", edges[i].begin, edges[i].end, edges[i].weight);
   ++eCount;
   if( eCount == (G.numVertexes-1)){
    break;
   }
  }
 }
}

时间复杂度分析

O(ElogE)或者O(ElogV),其中E代表图中的边的数目,V代表图中的顶点数目。对图中的边按照非降序排列需要O(ElogE)的时间。排序后遍历所有的边并判断添加边是否构成环,判断添加一条边是否构成环最坏情况下需要O(logV),关于这个复杂度等到景禹给你们谈并查集的时候再分析;因此,总的时间复杂度为O(ElogE + ElogV),其中E的值最大为V(V-1)/2,因此O(logV) 等于 O(logE)。因此,总的时间复杂度为O(ElogE) 或者O(ElogV)。

7.5.4Prim算法

普里姆算法在找最小生成树时,将顶点分为两类,一类是在查找的过程中已经包含在生成树中的顶点(假设为 A 类),剩下的为另一类(假设为 B 类)。

对于给定的连通网,起始状态全部顶点都归为 B 类。在找最小生成树时,选定任意一个顶点作为起始点,并将之从 B 类移至 A 类;然后找出 B 类中到 A 类中的顶点之间权值最小的顶点,将之从 B 类移至 A 类,如此重复,直到 B 类中没有顶点为止。所走过的顶点和边就是该连通图的最小生成树。

image-20211118101055151

假如从顶点 [外链图片转存失败,源站可能有防盗链机制,建议将图片保存下来直接上传(img-RGoQ502l-1637250894597)(www.zhihu.com/equation?te…)] 出发,顶点 [外链图片转存失败,源站可能有防盗链机制,建议将图片保存下来直接上传(img-LJwwdbMe-1637250894598)(www.zhihu.com/equation?te…)] 、[外链图片转存失败,源站可能有防盗链机制,建议将图片保存下来直接上传(img-inYCsUdQ-1637250894600)(www.zhihu.com/equation?te…)] 的权值分别为3、4,所以对于顶点 [外链图片转存失败,源站可能有防盗链机制,建议将图片保存下来直接上传(img-msplLJXk-1637250894601)(www.zhihu.com/equation?te…)] 来说,到顶点 [外链图片转存失败,源站可能有防盗链机制,建议将图片保存下来直接上传(img-G4vGHtfc-1637250894602)(www.zhihu.com/equation?te…)] 的权值最小,将顶点 [外链图片转存失败,源站可能有防盗链机制,建议将图片保存下来直接上传(img-iQSwkPMO-1637250894603)(www.zhihu.com/equation?te…)] 加入到生成树中:

image-20211118101453610

继续分析与顶点 [外链图片转存失败,源站可能有防盗链机制,建议将图片保存下来直接上传(img-FpmDfn6m-1637250894605)(www.zhihu.com/equation?te…)] 和 [外链图片转存失败,源站可能有防盗链机制,建议将图片保存下来直接上传(img-6503hs0Q-1637250894606)(www.zhihu.com/equation?te…)] 相邻的所有顶点(包括 [外链图片转存失败,源站可能有防盗链机制,建议将图片保存下来直接上传(img-7DmsxCmU-1637250894607)(www.zhihu.com/equation?te…)] 、[外链图片转存失败,源站可能有防盗链机制,建议将图片保存下来直接上传(img-EZBQiZTR-1637250894608)(www.zhihu.com/equation?te…)] ),其中权值最小的为 [外链图片转存失败,源站可能有防盗链机制,建议将图片保存下来直接上传(img-PSO9tGdK-1637250894613)(www.zhihu.com/equation?te…)] , 将 [外链图片转存失败,源站可能有防盗链机制,建议将图片保存下来直接上传(img-TQYK3Mjr-1637250894614)(www.zhihu.com/equation?te…)] 添加到生成树当中:

image-20211118101515884

继续分析与顶点 [外链图片转存失败,源站可能有防盗链机制,建议将图片保存下来直接上传(img-zMQL1ZqY-1637250894616)(www.zhihu.com/equation?te…)] 和 [外链图片转存失败,源站可能有防盗链机制,建议将图片保存下来直接上传(img-IN6ee59T-1637250894617)(www.zhihu.com/equation?te…)] 、[外链图片转存失败,源站可能有防盗链机制,建议将图片保存下来直接上传(img-sH5PJBKb-1637250894618)(www.zhihu.com/equation?te…)] 相邻的所有顶点中权值最小的顶点,发现为 [外链图片转存失败,源站可能有防盗链机制,建议将图片保存下来直接上传(img-33jPLsix-1637250894619)(www.zhihu.com/equation?te…)] ,则添加到生成树当中。

image-20211118101538610

继续分析与生成树中已添加顶点相邻的顶点中权值最小的顶点,发现为 [外链图片转存失败,源站可能有防盗链机制,建议将图片保存下来直接上传(img-FJmrMXkF-1637250894621)(www.zhihu.com/equation?te…)] ,则添加到生成树中:

image-20211118101552359

重复上面的过程,直到生成树中包含图中的所有顶点,我们直接看接下来的添加过程:

image-20211118101608650

image-20211118101626523

image-20211118101634041

image-20211118101640232

此时算法结束,我们找出了图中的最小生成树。

讲的真好!!!

搬运的视频,可以关注下这个,讲数据结构讲的真的好!

Prim算法执行过程。

Prim算法代码实现

// Prim算法生成最小生成树
void MiniSpanTree_Prim(MGraph G)
{
 int min, i, j, k;
 int adjvex[MAXVEX];  // 保存相关顶点下标
 int lowcost[MAXVEX]; // 保存相关顶点间边的权值
 
 lowcost[0] = 0;   // V0作为最小生成树的根开始遍历,权值为0(0,3,*,*,*,4,*,*,*)
 adjvex[0] = 0;   // V0第一个加入
 
 // 初始化操作
 for( i=1; i < G.numVertexes; i++ )
 {
  lowcost[i] = G.arc[0][i]; // 将邻接矩阵第0行所有权值先加入数组
  adjvex[i] = 0;    // 初始化全部先为V0的下标
 }
 
 // 真正构造最小生成树的过程
 for( i=1; i < G.numVertexes; i++ )
 {
  min = INFINITY;  // 初始化最小权值为65535等不可能数值
  j = 1;
  k = 0;
  
  // 遍历全部顶点
  while( j < G.numVertexes )
  {
   // 找出lowcost数组已存储的最小权值
   if( lowcost[j]!=0 && lowcost[j] < min )
   {
    min = lowcost[j];
    k = j;  // 将发现的最小权值的下标存入k,以待使用。
   }
   j++;
  }
  //K的取值依次为:1,5,8,2,6,7,4,3
  // 打印当前顶点边中权值最小的边
  printf("(%d,%d)", adjvex[k], k);(0,1)
  lowcost[k] = 0;  // 将当前顶点的权值设置为0,表示此顶点已经完成任务,进行下一个顶点的遍历(0,0,*,*,*,4,*,*,*)
  
  // 邻接矩阵k行逐个遍历全部顶点(k=1,)
  for( j=1; j < G.numVertexes; j++ )
  {
   if( lowcost[j]!=0 && G.arc[k][j] < lowcost[j] )
   {
    lowcost[j] = G.arc[k][j];
    adjvex[j] = k; 
   }
  }
 }
}

时间复杂度分析

上面的代码中,当 i == 1的时候,内层的 while 与 for 循环中 j 的取值范围是从 1 到 n-1,内循环一共计算了 2(n-1) 次,其中n为图中的顶点个数;

当 i == 2 的时候,内层循环还是一共计算 2(n-1) 次;

以此类推…

i 取最大值 n -1,内层循环还是一共计算 2(n-1) 次;

所以,整体的执行次数就是 (n-1) * 2(n-1),Prim算法的复杂度是 [外链图片转存失败,源站可能有防盗链机制,建议将图片保存下来直接上传(img-8fWO7UYu-1637250894629)(www.zhihu.com/equation?te…)] 级别的。

7.5.5应用实例

某公司规模不断扩大,在全国各地设立了多个分公司,为了提高公司的工作效率,使各分公司之间的信息可以更快、更准确的进行交流,该公司决定要在各分公司之间架设网络,由于地理位置和距离等其他因素,使各个分公司之间架设网线的费用不同,公司想各分公司之间架设网线的费用降到最低,那么应该怎样来设计各分公司及总公司之间的线路?该公司的所有分公司及总公司的所在位置如下图所示,顶点代表位置及公司名称,边表示可以架设网线的路线,边上的数字代表架设该网线所需要的各种花费的总和。这样就构成了一个带权的连通图,从而问题就转化为求所得到的带权连通图的最小生成树。image-20211118103819368

这其实就是给你个连通图,让你找最小生成树嘛,上面学的那两个算法都可以实现,进行微调即可,C语言还不是太熟悉,以后更新Java的再写代码~

对比两个算法,克鲁斯卡尔算法主要是针对边来展开,边数少时效率会非常高,所以对于稀疏图有很大的优势;而普里姆算法对于稠密图,即边数非常多的情况会更好一些

7.6最短路径

对于网图来说,最短路径,是指两顶点之间经过的边上权值之和最少的路径,并且我们称路径上的第一个顶点是源点,最后一个顶点是终点

image-20211118104520608

7.6.1迪杰斯特拉( Dijkstra )算法

Dijkstra是用来求单源最短路径的

就拿上图来说,假如直到的路径和长度已知,那么可以使用dijkstra算法计算南京到图中所有节点的最短距离。

单源什么意思?

  • 从一个顶点出发,Dijkstra算法只能求一个顶点到其他点的最短距离而不能任意两点。

摘自:

最短路径算法-迪杰斯特拉(Dijkstra)算法 - 知乎 (zhihu.com)

迪杰斯特拉(Dijkstra)算法是典型最短路径算法,用于计算一个节点到其他节点的最短路径。它的主要特点是以起始点为中心向外层层扩展(广度优先遍历思想),直到扩展到终点为止。

基本思想

  1. 通过Dijkstra计算图G中的最短路径时,需要指定一个起点D(即从顶点D开始计算)。
  2. 此外,引进两个数组S和U。S的作用是记录已求出最短路径的顶点(以及相应的最短路径长度),而U则是记录还未求出最短路径的顶点(以及该顶点到起点D的距离)。
  3. 初始时,数组S中只有起点D;数组U中是除起点D之外的顶点,并且数组U中记录各顶点到起点D的距离。如果顶点与起点D不相邻,距离为无穷大。
  4. 然后,从数组U中找出路径最短的顶点K,并将其加入到数组S中;同时,从数组U中移除顶点K。接着,更新数组U中的各顶点到起点D的距离。
  5. 重复第4步操作,直到遍历完所有顶点。

迪杰斯特拉(Dijkstra)算法图解

我在叠一层,哈哈哈

image-20211118105012649

以上图为例,来对迪杰斯特拉进行算法演示(以顶点D为起点)。

img

看图很清晰了!

7.6.2弗洛伊德( Floyd)算法

Floyd主要计算多源最短路径。

算法的具体思想为:

  1. 邻接矩阵dist储存路径,同时最终状态代表点点的最短路径。如果没有直接相连的两点那么默认为一个很大的值(不要溢出)!而自己的长度为0.
  2. 第1个到第n个点依次加入图中。每个点加入进行试探是否有路径长度被更改。
  3. 而上述试探具体方法为遍历图中每一个点(i,j双重循环) ,判断每一个点对距离是否因为加入的点而发生最小距离变化。如果发生改变,那么两点(i,j)距离就更改。
  4. 重复上述直到最后插点试探完成。

image-20211118112118527

默认的最短长度初始为邻接矩阵初始状态

  • 加入第一个节点1,大家可以发现,由于1的加入,使得本来不连通的2,3点对和2,4点对变得联通,并且加入1后距离为当前最小。(可以很直观加入5之后2,4,更短但是还没加入)。为了更好的描述其实此时的直接联通点多了两条。(2,3)和(2,4).我们在dp中不管这个结果是通过前面那些步骤来的,但是在这个状态,这两点的最短距离就算它!

image-20211118222735022

核心代码

public class floyd {
    static int max = 66666;// 别Intege.max 两个相加越界为负
    public static void main(String[] args) {
        int dist[][] = {
                { 0, 2, 3, 6, max, max }, 
                { 2, 0, max, max,4, 6 }, 
                { 3, max, 0, 2, max, max },
                { 6, max, 2, 0, 1, 3 }, 
                { max, 4, max, 1, 0, max }, 
                { max, 6, max, 3, max, 0 } };// 地图
        // 6个
        for (int k = 0; k < 6; k++)// 加入滴k个节点
        {
            for (int i = 0; i < 6; i++)// 松弛I行
            {
                for (int j = 0; j < 6; j++)// 松弛i列
                {
                    dist[i][j] = Math.min(dist[i][j], dist[i][k] + dist[k][j]);
                }
            }
        }
        // 输出
        for (int i = 0; i < 6; i++) {
            System.out.print("节点"+(i+1)+" 的最短路径");
            for (int j = 0; j < 6; j++) {
                System.out.print(dist[i][j]+" ");
            }
            System.out.println();
        }
    }
}

7.7拓扑排序

在一个表示工程的有向图中,有顶点表示活动,用弧表示活动之间的优先关系,这样的有向图为顶点表示活动的网,我们称为AOV网。

AOV网中的弧表示活动之间存在的某种制约关系。

所谓拓扑排序,其实就是对一个有向图构造拓扑序列的过程。

设G=(V,E)是一个具有n个顶点的有向图,V中的顶点序列V1, V2,Vn,满足若从顶点vi到v)有一条路径,则在顶点序列中顶点Vi 必在顶点vj之前。则我们称这样的顶点序列为一个拓扑序列

7.7.2拓扑排序算法

对AOV网进行拓扑排序的基本思路是:从AOV网中选择一个入度为0的顶点输出,然后删去此顶点,并删除以此顶点为尾的弧,继续重复此步骤,直到输出全部顶点或者AOV网中不存在入度为0的顶点为止。

image-20211118231405953

image-20211118231413843

代码不妨了,以后更新Java的

一个AOV网的拓扑序列不是唯一的

检测AOV网中是否存在环方法

对有向图构造其顶点的拓扑有序序列,若网中所有顶点都在它的拓扑有序序列中,则该AOV网必定不存在环。

7.8关键路径

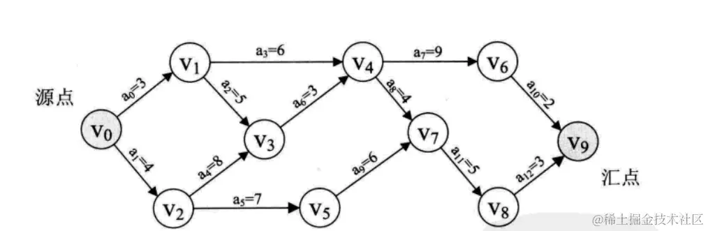
把工程计划表示为边表示活动的网络,即AOE网,用顶点
表示事件,弧表示活动,弧的权表示活动持续时间。

AOE网中没用入边的顶点称为始点或源点,没有出边的顶点称为终点或汇点

v0,v1,…,v9分别表示事件,<v0,v1>,<v0,v2>,…<v8,v9>表示一个活动,用a0,a1…a12表示,它们的值代表活动持续时间

比如弧<V,V1>就是从源点开始的第一个活动a0,它的时间是3个单位。

image-20211118234250249

image-20211118234424722

我们把路径上各个活动所持续的时间之和称为路径长度,从源点到汇点具有最大
**长度的路径叫关键路径,在关键路径上的活动叫关键活动。**显然就图7-9-3的AOE网而言,开始→发动机完成→部件集中到位→组装完成就是关键路径,路径长度为5.5

7.8.1 关键路径算法

我们将AOE网转化为邻接表结构,注意与拓扑排序时
邻接表结构不同的地方在于,这里弧链表增加weight域,用来存储弧的权值。

image-20211118234555556

关键路径算法和拓扑排序算法大概一致

小总结

图是计算机科学中非常常用的一类数据结构,有许许多多的计算问题都是用图来定义的。由于图也是最复杂的数据结构,对它讲解时,涉及到数组、链表、栈、队
列、树等之前学的几乎所有数据结构。因此从某种角度来说,学好了图,基本就等于理解了数据结构这门课的精神。

图的存储结构

邻接矩阵
邻接表
边集数组
十字链表
邻接多重表

图的遍历分为深度和广度两种,各有优缺点,就像人在追求卓越时,是着重深度还是看重广度,总是很难说得清楚。

图的应用是我们这一-章浓墨重彩的一 部分, 一共谈了三种应用:最小生成树、最短路径和有向无环图的应用。

最小生成树,我们讲了两种算法:普里姆(Prim) 算法和克鲁斯卡尔(Kruskal)算法。普里姆算法像是走一步看一步的思维方式,逐步生成最小生成树。而克鲁斯卡
尔算法则更有全局意识,直接从图中最短权值的边入手,找寻最后的答案。

最短路径的现实应用非常多,我们也介绍了两种算法。迪杰斯特拉(Dijkstra) 算法更强调单源顶点查找路径的方式,比较符合我们正常的思路,容易理解原理,但算
法代码相对复杂。而弗洛伊德(Flbyd) 算法则完全抛开了单点的局限思维方式,巧妙地应用矩阵的变换,用最清爽的代码实现了多顶点间最短路径求解的方案,原理理解有难度,但算法编写很简洁。

有向无环图时常应用于工程规划中,对于整个工程或系统来说,我们一方面关心
的是工程能否顺利进行的问题,通过拓扑排序的方式,我们可以有效地分析出一一个有向图是否存在环,如果不存在,那它的拓扑序列是什么?另方面关心的是整个工程完成所必须的最短时间问题,利用求关键路径的算法,可以得到最短完成工程的工期以及关键的活动有哪些。

算法–打油诗

算法很美妙,但它很枯燥

我想把它秒,但我办不到

奥利给!!!

学!!!