大话数据结构--数据结构概述

158 阅读10分钟

数据结构概述

总目录

一、数据结构概述
二、算法概述
三、线性表

前言

文章来源于大话数据结构

提升编程基础能力
数据结构、操作系统、计租、网络
陆续会慢慢更新!

资料获取

image.png

一、数据结构绪论

1.1 为啥要学数据结构?

第一学业要求

第二是它太重要了,想要写代码写的好,想要走的远,学!

没错就是这么简单

1.2 数据结构起源

早期计算机主要是用来计算,但现实中,我们更多的不是解决数值计算的问题,而是需要一些更科学有效的手段(比如表、树和图等数据结构)的帮助,才能更好地处理问题。所以数据结构是一门研究非数值计算的程序设计问题中的操作对象,以及它们之间的关系和操作等相关问题的学科。

1.3 基本概念和术语

1.3.1 数据

是描述客观事物的符号,是计算机中可以操作的对象,是能被计算机识别,并输入给计算机处理的符号集合

数据不仅仅包括整型、实型等数值类型,还包括字符及声音、图像、视频等非数值类型。

1.3.2 数据元素

是组成数据的、有一定意义的基本单位,在计算机中通常作为整体处理。也被称为记录。

在人类中,人就是数据元素

在畜类中,小猫小狗小鸡小鸭就是数据元素

1.3.3 数据项

一个数据元素可以由若千个数据项组成。
比如人这样的数据元素,可以有眼、耳、鼻、嘴、手、脚这些数据项,也可以有姓名、年龄、性别、出生地址、联系电话等数据项,具体有哪些数据项,要视你做的系统来决定。

数据项是数据不可分割的最小单位。在数据结构这门课程中,把数据项定义为最小单位,是有助于我们更好地解决问题。所以,记住了,数据项是数据的最小单位。但真正讨论问题时,数据元素才是数据结构中建立数据模型的着眼点。就像我们讨论一部电影时, 是讨论这部电影角色这样的“数据元素” ,而不是针对这个角色的姓名或者年龄这样的“数据项”去研究分析。

这例子举的真不错!

1.3.4 数据对象

数据对象是性质相同的数据元素的集合,是数据的子集。

什么叫性质相同呢,是指数据元素具有相同数量和类型的数据项,比如,还是刚才的例子,人都有姓名、生日、性别等相同的数据项。

既然数据对象是数据的子集,在实际应用中,处理的数据元素通常具有相同性质,在不产生混淆的情况下,我们都将数据对象简称为数据。

1.3.5 数据结构

结构,简单的理解就是关系,比如分子结构,就是说组成分子的原子之间的排列
方式。**严格点说,结构是指各个组成部分相互搭配和排列的方式。**在现实世界中,不
同数据元素之间不是独立的,而是存在特定的关系,我们将这些关系称为结构。那数
据结构是什么?

数据结构:是相互之间存在一种或多种特定关系的数据元素的集合。

在计算机中,数据元素并不是孤立、杂乱无序的,而是具有内在联系的数据集
合。数据元素之间存在的- -种或多种特定关系,也就是数据的组织形式。

**为编写出一个“好” 的程序,必须分析待处理对象的特性及各处理对象之间存在的关系。**这也就是研究数据结构的意义所在。

1.4 逻辑结构与物理结构

1.4.1 逻辑结构

逻辑结构:是指数据对象中数据元素之间的相互关系。

逻辑结构分为以下四种:

1.集合结构

集合结构:集合结构中的数据元素除了同属于-一个集合外,它们之间没有其他关系。各个数据元素是“平等”的,它们的共同属性是“同属于一个集合”。数据结构中的集合关系就类似于数学中的集合

image-20211109163617386

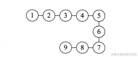
2.线性结构

线性结构:线性结构中的数据元素之间是一对一的关系

image-20211109163713437

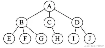
3.树形结构

树形结构:树形结构中的数据元素之间存在一种一对多的层次关系

image-20211109163747506

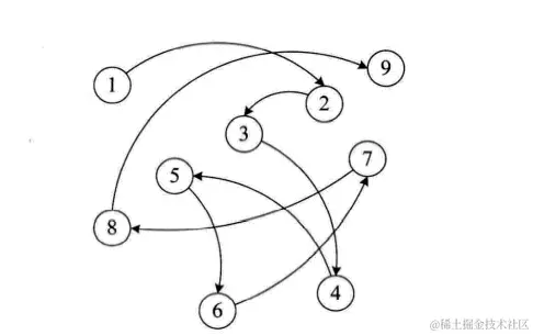
4.图形结构

图形结构:图形结构的数据元素是多对多的关系

image-20211109163947833

将每一个数据元素看做-一个结点,用圆圈表示

元素之间的逻辑关系用结点之间的连线表示,如果这个关系是有方向的,那么用带箭头的连线表示

1.4.2 物理结构

物理结构:是指数据的逻辑结构在计算机中的存储形式

数据是数据元素的集合,那么根据物理结构的定义,实际上就是如何把数据元素存储到计算机的存储器中。存储器主要是针对内存而言的,像硬盘、软盘、光盘等外部存储器的数据组织通常用文件结构来描述。

数据的存储结构应正确反映数据元素之间的逻辑关系,这才是最为关键的,如何存储数据元素之间的逻辑关系,是实现物理结构的重点和难点。

数据元素的存储结构形式有两种:顺序存储和链式存储。

1.顺序存储结构

顺序存储结构:是把数据元素存放在地址连续的存储单元里,其数据间的逻辑关系和物理关系是一致的

在物理位置上连续,在内存地址上也是连续的

image-20211109164353178

这种存储结构其实很简单,说白了,就是排队占位。大家都按顺序排好,每个人占一小段空间,大家谁也别插谁的队。

很好理解~~~~

2.链式存储结构

如果就是这么简单和有规律,一切就好办了。可实际上,总会有人插队,也会有人要上厕所、有人会放弃排队。所以这个队伍当中会添加新成员,也有可能会去掉老元素,整个结构时刻都处于变化中。显然,面对这样时常要变化的结构,顺序存储是不科学的。那怎么办呢?

现在如银行、医院等地方,设置了排队系统,也就是每个人去了,先领一个号,等着叫号,叫到时去办理业务或看病。在等待的时候,你爱在哪在哪,可以坐着、站着或者走动,甚至出去逛-圈,只要及时回来就行。你关注的是前一一个 号有没有被叫到,叫到了,下一个就轮到了。

对概念好的记忆,我觉得就是通过生活中的实例来记忆了,书中举的例子都很好!!!

image-20211109164642013

显然,链式存储就灵活多了,数据存在哪里不重要,只要有一个指针存放了相应的地址就能找到它了。

书中举了一个很好的例子,哈哈哈哈哈,这里截图下来供大家参考

image-20211109205308740

逻辑结构是面向问题的,而物理结构就是面向计算机的,其基本的目标就是将数据及其逻辑关系存储到计算机的内存中。

1.5 抽象数据类型

我们对已有的数据类型进行抽象,就有了抽象数据类型。

抽象数据类型(Abstract Data Type, ADT): 是指一个数学模型及定义在该模型上的一组操作。 抽象数据类型的定义仅取决于它的一组逻辑特性,而与其在计算机内部如何表示和实现无关。

听概念的确不太好理解,前期可以先学着,到后面慢慢用到的时候会有好的理解!

1.5.1 两个实例

1.坐标实例

比如我们编写关于计算机绘图或者地图类的软件系统,经常都会用到坐标。也就是说,总是有成对出现的x和y,在3D系统中还有z出现,既然这三个整型数字是始终在一起出现,我们就定义一个叫point的抽象数据类型,它有x、y、z三个整型变量,这样我们很方便地操作-一个point数据变量就能知道这一点的坐标了 。

2.超级玛丽

根据抽象数据类型的定义,它还包括定义在该模型上的一组操作。就像“ 超级玛丽”这个经典的任天堂游戏,里面的游戏主角是马里奥(Mario)。 我们给他定义了几种基本操作,走(前进、后退、上、下)、跳、打子弹等。一个抽象数据类型定义了:一个数据对象、数据对象中各数据元素之间的关系及对数据元素的操作。

至于,一个抽象数据类型到底需要哪些操作,这就只能由设计者根据实际需要来定。像马里奥,可能开始只有两种操作,走和跳,后来发现应该要增加一种打子弹的操作,再后来发现有些玩家希望它可以走得快点,就有了按住打子弹键后前进就会‘跑” 的操作。这都是根据实际情况来设计的。

超级玛丽 的图像结果

3.描述抽象数据类型的格式

ADT 抽象数据类型名
Data
    数据元素之间逻辑关系的定义
Operation
    操作1
        初始条件
        操作结果描述
    操作2
        ...
    操作3
        ...
endADT

1.6 总结

数据,数据对象,数据元素,数据项之间的关系

数据对象是性质相同的数据元素的集合,是数据的子集。实际生活中等同于数据

数据元素是组成数据的基本单位

数据项是组成数据元素的基本单位,是数据不可分割的最小单位

由以上能得出,数据结构是相互之间存在一种或多种特点关系的数据元素集合

image-20211109211648540

同样是结构,从不同的角度来讨论,有不同的分类

image-20211109212623325

Ok,书很好,看完它,下课!