R语言用普通最小二乘OLS,广义相加模型GAM ,样条函数进行逻辑回归LOGISTIC分类|附代码数据

63 阅读7分钟

原文链接:tecdat.cn/?p=21379 

原文出处:拓端数据部落公众号

 最近我们被客户要求撰写关于回归的研究报告,包括一些图形和统计输出。

本文我们对逻辑回归和样条曲线进行介绍。

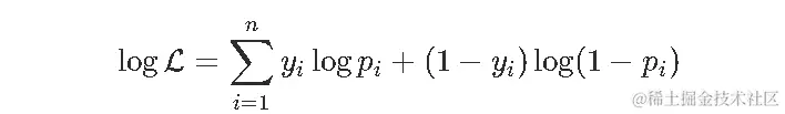
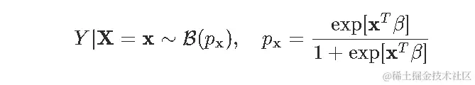
logistic回归基于以下假设:给定协变量x,Y具有伯努利分布,

 

 

目的是估计参数β。

回想一下,针对该概率使用该函数是

 

 

(对数)似然函数

对数似然

 

 

其中。数值方法基于(数值)下降梯度来计算似然函数的 最大值。对数似然(负)是以下函数


negLogLik = function(beta){
 -sum(-y*log(1 + exp(-(X%*%beta))) - (1-y)*log(1 + exp(X%*%beta)))
 }

现在,我们需要一个起始点来启动算法

 

optim(par = beta_init, negLogLik, hessian=TRUE, method = "BFGS", control=list(abstol=1e-9))

在这里,我们得到

 logistic_opt$par
 (Intercept)        FRCAR        INCAR        INSYS    
 1.656926397  0.045234029 -2.119441743  0.204023835 
       PRDIA        PAPUL        PVENT        REPUL 
-0.102420095  0.165823647 -0.081047525 -0.005992238

让我们在这里验证该输出是否有效。例如,如果我们(随机)更改起点的值会怎么样


plot(v_beta)
par(mfrow=c(1,2))
hist(v_beta[,1],xlab=names( )[ ])
hist(v_beta[,2],xlab=names( )[2])

 

这里有个问题。注意,我们不能在这里进行数值优化。我们可以考虑使用其他优化方法

 
logLikelihoodLogitStable = function(vBeta, mX, vY) {
  -sum(vY*(mX %*% vBeta - log(1+exp(mX %*% vBeta) + 
(1-vY)*(-log(1 + exp(mX %*% vBeta)) 

 
optimLogitLBFGS = optimx(beta_init, logLikelihoodLogitStable, 

最优点

结果不理想。

我们使用的技术基于以下思想,

 

 

问题是我的计算机不知道一阶和二阶导数。

可以使用这种计算的函数


logit = function(x){1/(1+exp(-x))}

   for(i in 1:num_iter){
    grad = (t(X)%*%(logit(X%*%beta) - y)) 
    beta = beta - ginv(H)%*%grad
    LL[i] = logLik(beta, X, y)
 

以我们的OLS起点,我们获得

如果我们尝试另一个起点

一些系数非常接近。然后我们尝试其他方法。

牛顿(或费舍尔)算法

在计量经济学教科书里,您可以看到:

 

 

 

 


 beta=as.matrix(lm(Y~0+X)$coefficients
 for(s in 1:9){
   pi=exp(X%*%beta[,s])/(1+exp(X%*%beta[,s]))
   gradient=t(X)%*%(Y-pi)
   omega=matrix(0,nrow(X),nrow(X));diag(omega)=(pi*(1-pi))

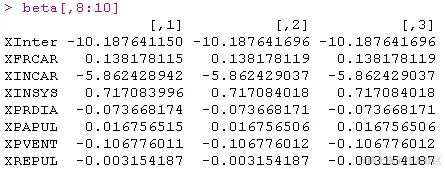
在这里观察到,我仅使用该算法的十次迭代。

事实是,收敛似乎非常快。而且它相当鲁棒,看看我们改变起点会得到什么

beta=as.matrix(lm(Y~0+X)$coefficients,ncol=1)*runif(8)
 for(s in 1:9){
   pi=exp(X%*%beta[,s])/(1+exp(X%*%beta[,s]))
   gradient=t(X)%*%(Y-pi)
   omega=matrix(0,nrow(X),nrow(X));diag(omega)=(pi*(1-pi))
   Hessian=-t(X)%*%omega%*%X
   beta=cbind(beta,beta[,s]-solve(Hessian)%*%gradient)}
 beta[,8:10]

效果提高了,并且可以使用矩阵的逆获得标准偏差。

标准最小二乘

我们更进一步。我们已经看到想要计算类似

 

 但是实际,这是一个标准的最小二乘问题

 

 

这里唯一的问题是权重Δold是未知β的函数。但是实际上,如果我们继续迭代,我们应该能够解决它:给定β,我们得到了权重,并且有了权重,我们可以使用加权的OLS来获取更新的β。这就是迭代最小二乘的想法。

该算法


beta_init = lm(PRONO~.,data=df)$coefficients

for(s in 1:1000){
omega = diag(nrow(df))
diag(omega) = (p*(1-p))

输出在这里

结果很好,我们在这里也有估计量的标准差

标准逻辑回归glm函数:

当然,可以使用R内置函数

可视化

让我们在第二个数据集上可视化从逻辑回归获得的预测


image(u,u,v ,breaks=(0:10)/10)
points(x,y,pch=19 )
points(x,y,pch=c(1,19)
contour(u,u,v,levels = .5 

 


这里的水平曲线-或等概率-是线性的,因此该空间被一条直线(或更高维的超平面)一分为二(0和1,生存和死亡,白色和黑色)此外,由于我们是线性模型,因此,如果更改截距(为创建两个类别的阈值),我们将获得平行的另一条直线(或超平面)。

接下来,我们将约会样条曲线以平滑那些连续的协变量。

 

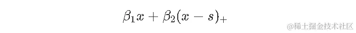
分段线性样条函数

我们从“简单”回归开始(只有一个解释变量),我们可以想到的最简单的模型来扩展我们上面的线性模型, 是考虑一个分段线性函数,它分为两部分。最方便的方法是使用正部函数(如果该差为正,则为x和s之间的差,否则为0)。如

是以下连续的分段线性函数,在s处划分。

对于较小的x值,线性增加,斜率β1;对于较大的x值,线性减少。因此,β2被解释为斜率的变化。

当然,可以考虑多个结。获得正值的函数如下

pos = function(x,s) (x-s)*(x<=s)

然后我们可以在回归模型中直接使用它

回归的输出在这里


 
Coefficients:
               Estimate Std. Error z value Pr(&gt;|z|)  
(Intercept)     -0.1109     3.2783  -0.034   0.9730  
INSYS           -0.1751     0.2526  -0.693   0.4883  
pos(INSYS, 15)   0.7900     0.3745   2.109   0.0349 *
pos(INSYS, 25)  -0.5797     0.2903  -1.997   0.0458 *

因此,对于很小的值,原始斜率并不重要,但是在15以上时,它会变得明显为正。而在25以上,又发生了重大变化。我们可以对其进行绘图以查看发生了什么


plot(u,v,type="l")
points(INSYS,PRONO)
abline(v=c(5,15,25,55)

 

使用bs()线性样条曲线

使用GAM模型,情况略有不同。我们将在这里使用所谓的 b样条曲线

我们可以用边界结点(5,55)和结 {15,25}定义样条函数


B = bs(x,knots=c(15,25),Boundary.knots=c(5,55),degre=1)
matplot(x,B,type="l",lty=1,lwd=2,col=clr6)

 


如我们所见,此处定义的函数与之前的函数不同,但是在每个段(5,15)(15,25)和(25,55)。但是这些函数(两组函数)的线性组合将生成相同的空间。换个角度说,对输出的解释会不同,预测应该是一样的。


 
Coefficients:
              Estimate Std. Error z value Pr(&gt;|z|)  
(Intercept)    -0.9863     2.0555  -0.480   0.6314  
bs(INSYS,..)1  -1.7507     2.5262  -0.693   0.4883  
bs(INSYS,..)2   4.3989     2.0619   2.133   0.0329 *
bs(INSYS,..)3   5.4572     5.4146   1.008   0.3135

观察到像以前一样存在三个系数,但是这里的解释更加复杂了

 


但是,预测结果很好。

分段二次样条

让我们再往前走一步...我们是否也可以具有导数的连续性?考虑抛物线函数,不要对进行分解,考虑对进行分解。

Coefficients:
                Estimate Std. Error z value Pr(&gt;|z|)  
(Intercept)      29.9842    15.2368   1.968   0.0491 *
poly(INSYS, 2)1 408.7851   202.4194   2.019   0.0434 *
poly(INSYS, 2)2 199.1628   101.5892   1.960   0.0499 *
pos2(INSYS, 15)  -0.2281     0.1264  -1.805   0.0712 .
pos2(INSYS, 25)   0.0439     0.0805   0.545   0.5855

不出所料,这里有五个系数:截距和抛物线函数的三个参数,然后是中间两个附加项–此处(15,25)–以及右侧的部分。当然,对于每个部分,只有一个自由度,因为我们有一个抛物线函数(三个系数),但是有两个约束(连续性和一阶导数的连续性)。

在图上,我们得到以下内容

 

使用bs()二次样条

当然,我们可以使用R函数执行相同的操作。但是和以前一样,这里的函数有所不同


matplot(x,B,type="l",col=clr6)

 


如果我们运行R代码,得到

 glm(y~bs(INSYS knots=c(15,25),
Boundary.knots=c(5,55),degre=2) 
 
Coefficients:
               Estimate Std. Error z value Pr(&gt;|z|)  
(Intercept)       7.186      5.261   1.366   0.1720  
bs(INSYS, ..)1  -14.656      7.923  -1.850   0.0643 .
bs(INSYS, ..)2   -5.692      4.638  -1.227   0.2198  
bs(INSYS, ..)3   -2.454      8.780  -0.279   0.7799  
bs(INSYS, ..)4    6.429     41.675   0.154   0.8774

预测是完全相同的


plot(u,v,ylim=0:1,type="l",col="red")

 

 

三次样条

我们可以使用三次样条曲线。我们将考虑对进行分解,得到时间连续性,以及前两个导数的连续性。如果我们使用bs函数,则如下

matplot(x,B,type="l",lwd=2,col=clr6,lty=1
abline(v=c(5,15,25,55),lty=2)

现在的预测将是

bs(x,knots=c(15,25),
Boundary.knots=c(5,55),degre=3

 


结的位置

在许多应用程序中,我们不想指定结的位置。我们只想说(三个)中间结。可以使用

bs(x,degree=1,df=4)

可以查看


bs(x, degree = 1L, knots = c(15.8, 21.4, 27.15), 
Boundary.knots = c(8.7, 54), intercept = FALSE)

它为我们提供了边界结的位置(样本中的最小值和最大值),也为我们提供了三个中间结。观察到实际上,这五个值只是(经验)分位数

quantile( ,(0:4)/4)
   0%   25%   50%   75%  100% 
 8.70 15.80 21.40 27.15 54.00

如果我们绘制预测,我们得到

 plot(u,v,ylim=0:1,type="l",col="red",lwd=2)
 

 

如果我们回到logit变换之前的计算,我们清楚地看到断点是不同的分位数 

 
plot(x,y,type="l",col="red",lwd=2)
abline(v=quantile(my ,(0:4)/4),lty=2)

 

如果我们没有指定,则不会得到任何结…

 
bs(x, degree = 2L, knots = numeric(0), 
Boundary.knots = c(8.7,54), intercept = FALSE)

如果我们看一下预测 

 predict(reg,newdata=data.frame(u),type="response")
 

实际上,这和二次多项式回归是一样的(如预期的那样)

 

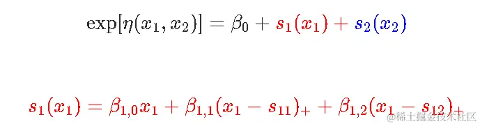
相加模型 

现在考虑第二个数据集,包含两个变量。这里考虑一个模型

 

然后我们用glm函数来实现相加模型的思想。

glm(y~bs(x1,degree=1,df=3)+bs(x2,degree=1,df=3), family=binomial(link =  
v = outer(u,u,p)
image(u,u,v, ",col=clr10,breaks=(0:10)/10)

现在,我们能够得到一个“完美”的模型,所以,结果似乎不再连续

 

 

persp(u,u,v,theta=20,phi=40,col="green"

 

当然,它是分段线性的,有超平面,有些几乎是垂直的。
我们也可以考虑分段二次函数  



contour(u,u,v,levels = .5,add=TRUE)

 

有趣的是,我们现在有两个“完美”的模型,白点和黑点的区域不同。 

在R中,可以使用mgcv包来运行gam回归。它用于广义相加模型,但这里只有一个变量,所以实际上很难看到“可加”部分,可以参考其他GAM文章。


最受欢迎的见解

1.R语言多元Logistic逻辑回归 应用案例

2.面板平滑转移回归(PSTR)分析案例实现

3.matlab中的偏最小二乘回归(PLSR)和主成分回归(PCR)

4.R语言泊松Poisson回归模型分析案例

5.R语言回归中的Hosmer-Lemeshow拟合优度检验

6.r语言中对LASSO回归,Ridge岭回归和Elastic Net模型实现

7.在R语言中实现Logistic逻辑回归

8.python用线性回归预测股票价格

9.R语言如何在生存分析与Cox回归中计算IDI,NRI指标