同花顺Supermind量化交易 资金面专题2--资金净流量强度 阐述

148 阅读3分钟

市场通常认为,当资金流动强度平缓时,风格投资者保持原有的风格方向;当资金流动强度强烈时,风格投资者转换原有的风格方向;例如:小市值投资者在资金流动强烈时,会转向大市值风格。本篇文章将从规模因子(大小盘风格)入手,研究关于资金流动强度与风格投资的话题。

1. 风格投资下资金流动

资金流动通常反应市场交易者的交易动向,较为直观地反应了投资者的行为。对于市场风格投资者而言,他们的交易风格行为可能会与资金强度的大小相关。本篇报告就会以资金净流入强度为基础,研究其与风格投资者交易方向的相关性。

2. 风格下资金净流入强度的定义

  • 个股层面
    个股流入额=主动买入特大单+主动买入大单+主动买入中单
    个股流出额=主动卖出特大单+主动卖出大单+主动卖出中单
    个股净流入额=个股流入额-个股流出额

  • 板块层面
    板块净流入额=∑个股净流入额
    板块净流入率=板块净流入额/板块成交额

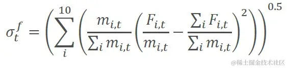
  • 资金流动强度计算
    风格因子在t时刻的资金流动强度计算公式

image.png 风格投资,会存在一定程度长期资金的风格偏好,会掩盖资金流入流出的边际化贡献,所以对于波动率而言,截面上的净变化才是研究资金流动强度的关键。故改进计算方式为:

image.png

3. 资金流入强度与风格下股票组合涨跌幅

我们会从单个截面和一个时间窗口内计算资金流动强度,在计算完成之后,我们取出每个对应资金流动强度大于1.96的数据进行对比。原因:低流动强度意味着投资者并未在风格上进行切换,很可能保持了原有的风格进行投资;但在资金流动强度较大的时候,风格投资者就有可能发生风格转移的现象,因此这个时候的风格转换投资才更具意义。所以我们默认标准化后的资金流动强度小于1.96的时候,保持原有的风格投资,而大于1.96的时候,进行择时,进行风格转换。

  • Top股票组市值风格涨跌幅与资金流动强度的关系图

image.png

  • Bottom股票组市值风格涨跌幅与资金流动强度的关系图

image.png

  • 前第五日资金流入强度热力图

image.png

4.结论:

我们可以从以上图中看出:当资金流动强度较大时,Bottom股票组的涨跌幅并没有出现比Top股票组的涨跌幅更大的正相关性。这也就是说在大小盘风格下,市场通常认为的资金流动强度将会改变风格投资者原有风格方向的假设是不正确的。

查看以上策略详情请到supermind量化交易官网查看:同花顺Supermind量化交易 资金面专题2--资金净流量强度 阐述