R语言中的block Gibbs吉布斯采样贝叶斯多元线性回归|附代码数据

102 阅读6分钟

全文链接:tecdat.cn/?p=11617

最近我们被客户要求撰写关于block Gibbs吉布斯采样的研究报告,包括一些图形和统计输出。

在这篇文章中,我将对多元线性回归使用block的Gibbs采样,得出block的Gibbs采样所需的条件后验分布。然后,对采样器进行编码,并使用模拟数据对其进行测试 点击文末“阅读原文”获取完整代码数据 )。

 贝叶斯模型

假设我们有一个样本量的主题。贝叶斯多元回归假设该向量是从多元正态分布中提取的 ,通过使用恒等矩阵,我们假设独立的观察结果。

图片

到目前为止,这与多元正态回归相同。则将概率最大化可得出以下解 :

图片

贝叶斯模型是通过指定为一个先验分布得到 。在此示例中,我将在以下情况下使用 先验值 

图片

block Gibbs

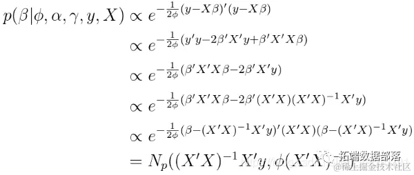
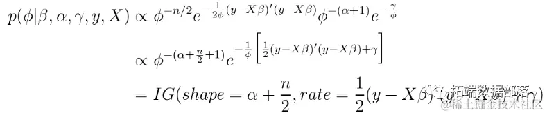
在对采样器进行编码之前,我们需要导出Gibbs采样器的 每个参数的后验条件分布。

图片

条件后验取更多的线性代数。

图片

这是一个非常漂亮和直观的结果。条件后验的协方差矩阵是协方差矩阵的估计,图片

还要注意,条件后验是一个多元分布。因此,在Gibbs采样器的每次迭代中,我们从后验绘制出一个完整的矢量 。

模拟

我模拟的 结果向量图片。 

运行 Gibbs采样器 会生成对真实系数和方差参数的估计。运行了500,000次迭代。周期为100,000次,10次迭代。

以下是MCMC链的图,其中真实值用红线表示。

# 计算后验摘要统计信息
post_dist %>%
  group_by(para) %>%
  summarise(median=median(draw),
            lwr=quantile(.025),
            upr=quantile(.975)) %>%
 
# 合并汇总统计信息
post_dist <- post_dist %>%
  left_join(post_sum_stats, by='param')
 
# 绘制MCMC链
ggplot(post_dist,aes(x=iter,y=dra)) +
  geom_line() +
  geom_hline(aes(yintercept=true_vals))

图片

这是修整后参数的后验分布:


点击标题查阅往期内容

图片

Python用MCMC马尔科夫链蒙特卡洛、拒绝抽样和Metropolis-Hastings采样算法

图片

左右滑动查看更多

图片

01

图片

02

图片

03

图片

04

图片

ggplot(post_dist,aes(x=draw)) +
  geom_histogram(aes(x=draw),bins=50) +
  geom_vline(aes(xintercept = true_vals))

图片

似乎能够获得这些参数的合理后验估计。为了确保贝叶斯估计器正常工作,我对1,000个模拟数据集重复了此过程。

这将产生1,000组后验均值和1,000组95%置信区间。平均而言,这1000个后验均值应以真实值为中心。平均而言,真实参数值应在95%的时间的置信区间内。

以下是这些评估的摘要。

图片

“估计平均值”列是所有1,000个模拟中的平均后验平均值。偏差百分比均小于5%。对于所有参数,95%CI的覆盖率约为95%。

扩展 

我们可以对该模型进行许多扩展。例如,可以使用除正态分布外的其他分布来拟合不同类型的结果。 例如,如果我们有二元数据,则可以将其建模为:

图片

然后在上放一个先验分布。这个想法将贝叶斯线性回归推广到贝叶斯GLM。

在本文中概述的线性情况下,可以更灵活地对协方差矩阵建模。相反,假设协方差矩阵是对角线且具有单个公共方差。这是多元线性回归中的同方差假设。如果数据是分类的(例如,每个受试者有多个观察结果),我们可以使用反Wishart分布来建模整个协方差矩阵。


图片

点击文末 “阅读原文”

获取全文完整资料。

本文选自《R语言中的block Gibbs吉布斯采样贝叶斯多元线性回归》。

点击标题查阅往期内容

Python用MCMC马尔科夫链蒙特卡洛、拒绝抽样和Metropolis-Hastings采样算法
R语言贝叶斯METROPOLIS-HASTINGS GIBBS 吉布斯采样器估计变点指数分布分析泊松过程车站等待时间
R语言马尔可夫MCMC中的METROPOLIS HASTINGS,MH算法抽样(采样)法可视化实例
python贝叶斯随机过程:马尔可夫链Markov-Chain,MC和Metropolis-Hastings,MH采样算法可视化
Python贝叶斯推断Metropolis-Hastings(M-H)MCMC采样算法的实现
Metropolis Hastings采样和贝叶斯泊松回归Poisson模型
Matlab用BUGS马尔可夫区制转换Markov switching随机波动率模型、序列蒙特卡罗SMC、M H采样分析时间序列R语言RSTAN MCMC:NUTS采样算法用LASSO 构建贝叶斯线性回归模型分析职业声望数据
R语言BUGS序列蒙特卡罗SMC、马尔可夫转换随机波动率SV模型、粒子滤波、Metropolis Hasting采样时间序列分析
R语言Metropolis Hastings采样和贝叶斯泊松回归Poisson模型
R语言贝叶斯MCMC:用rstan建立线性回归模型分析汽车数据和可视化诊断
R语言贝叶斯MCMC:GLM逻辑回归、Rstan线性回归、Metropolis Hastings与Gibbs采样算法实例
R语言贝叶斯Poisson泊松-正态分布模型分析职业足球比赛进球数
R语言用Rcpp加速Metropolis-Hastings抽样估计贝叶斯逻辑回归模型的参数
R语言逻辑回归、Naive Bayes贝叶斯、决策树、随机森林算法预测心脏病
R语言中贝叶斯网络(BN)、动态贝叶斯网络、线性模型分析错颌畸形数据
R语言中的block Gibbs吉布斯采样贝叶斯多元线性回归
Python贝叶斯回归分析住房负担能力数据集
R语言实现贝叶斯分位数回归、lasso和自适应lasso贝叶斯分位数回归分析
Python用PyMC3实现贝叶斯线性回归模型
R语言用WinBUGS 软件对学术能力测验建立层次(分层)贝叶斯模型
R语言Gibbs抽样的贝叶斯简单线性回归仿真分析
R语言和STAN,JAGS:用RSTAN,RJAG建立贝叶斯多元线性回归预测选举数据
R语言基于copula的贝叶斯分层混合模型的诊断准确性研究
R语言贝叶斯线性回归和多元线性回归构建工资预测模型
R语言贝叶斯推断与MCMC:实现Metropolis-Hastings 采样算法示例
R语言stan进行基于贝叶斯推断的回归模型
R语言中RStan贝叶斯层次模型分析示例
R语言使用Metropolis-Hastings采样算法自适应贝叶斯估计与可视化
R语言随机搜索变量选择SSVS估计贝叶斯向量自回归(BVAR)模型
WinBUGS对多元随机波动率模型:贝叶斯估计与模型比较
R语言实现MCMC中的Metropolis–Hastings算法与吉布斯采样
R语言贝叶斯推断与MCMC:实现Metropolis-Hastings 采样算法示例
R语言使用Metropolis-Hastings采样算法自适应贝叶斯估计与可视化
视频:R语言中的Stan概率编程MCMC采样的贝叶斯模型
R语言MCMC:Metropolis-Hastings采样用于回归的贝叶斯估计