quick_sort方法中如果 i=l,j=r 会死循环的分析
示例代码
void quick_sort(int a[],int l,int r){
if(l>=r) return;
int i=l,j=r; //此处设置会导致死循环
int x = num[(l+r)>>1];
while(i<j){
while(a[++i] <x); //死循环的地方
while(a[--j] >x);
if(i<j) swap(a[i],a[j]);
}
quick_sort(a,l,j);
quick_sort(a,j+1,r);
}
代码分析
因为数组a默认值都是0,i的坐标越过了选中的数x ,并且x往后的数都小于0或者没有明确赋值(此种情况为0)此后a[i]的值都会小于x,导致死循环。而
while(a[--j] >x); 就不会导致因为j往左移终究会变成没有明确赋值的0,所以循环会结束。
示例
假如就两个数 98 97,i=1(值97,i坐标往右移动,值变成0,始终小于选出来的数98,导致死循环)
心得
算法当中有很多默认值的地方,比如此处的数组a的未明确下标的值都为0,为一个隐含条件,可以帮忙判断是否发生死循环。
无限划分的分析
重要结论
当以i划分区间,选数不能选到左边界,则a[x] = a[(L+R+1)>>1]
当以j划分区间,选数不能选到右边界,则a[x]=a[(L+R)>>1]
逻辑分析
假设选的数是a[x] ,退出循环时,a[l] ...a[i-1] 都是<a[x],a[i]>a[x];a[j+1]...a[r] 都是>x,a[j]<a[x]。

示例
以3 1 2 5 4 这个五个数排序为例:

心得
退出循环时的条件判断,有些退出循环时的条件很明确,比如以i划分,选数为L时,退出循环时i=L,但是j就不确定,只能是比L小的某一个位置。对于明确的位置是算法中一些重要判断的条件。
第K个数中K用作个数比较的分析
示例代码
以下代码是用K做个数
有的地方会看到K用作长度,长度这个说法个人感觉不太容易理解,用作个数更加方便理解。
int quick_sort(int q[], int l, int r, int k)
{
if (l >= r) return q[l];
int i = l - 1, j = r + 1, x = q[l + r >> 1];
while (i < j)
{
do i ++ ; while (q[i] < x);
do j -- ; while (q[j] > x);
if (i < j) swap(q[i], q[j]);
}
if (j - l + 1 >= k) return quick_sort(q, l, j, k);
else return quick_sort(q, j + 1, r, k - (j - l + 1));
}
以下是K当作坐标
int quick_sort(int l, int r, int k) {
if(l >= r) return a[k];
int x = a[l], i = l - 1, j = r + 1;
while (i < j) {
do i++; while (a[i] < x);
do j--; while (a[j] > x);
if (i < j) swap(a[i], a[j]);
}
if (k <= j) return quick_sort(l, j, k);
else return quick_sort(j + 1, r, k);
}
代码分析
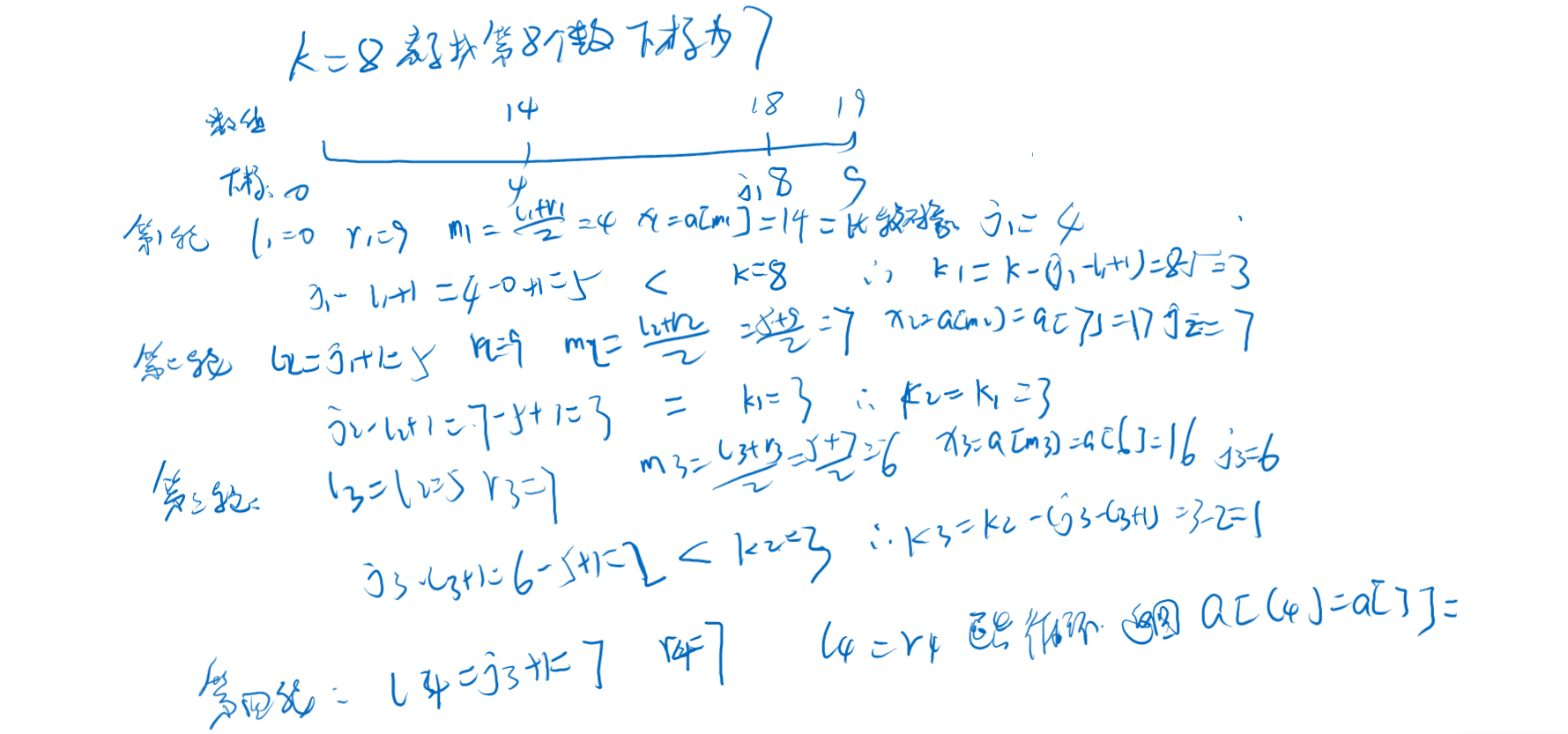
以下分析基于示例数据: a[0] ~a[9] = {10,11,12,13,14,15,16,17,18,19}
K当作个数时:
有两点需要特别注意:
1、快排每一次递归比较的值 是选出的X的值,即中点位置的值,而不是第K个数。
2、退出循环时,以j分割区间,j最终的坐标是在>= X的位置,即如果刚好=X,则j的位置就是X所在位置,而不是X的左侧。

证明一下K当做个数时和K当做下标时效果一样:
重要的隐含条件 初始的左端的
L1=0
以第二轮比较K1和J2-L2+1为例

本文由mdnice多平台发布