打家劫舍 III

136 阅读1分钟

337. 打家劫舍 III - 力扣(LeetCode)

小偷又发现了一个新的可行窃的地区。这个地区只有一个入口,我们称之为  root 。

除了  root  之外,每栋房子有且只有一个“父“房子与之相连。一番侦察之后,聪明的小偷意识到“这个地方的所有房屋的排列类似于一棵二叉树”。 如果 两个直接相连的房子在同一天晚上被打劫 ,房屋将自动报警。

给定二叉树的  root 。返回  *在不触动警报的情况下 ,小偷能够盗取的最高金额* 。

示例 1:

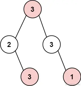
输入: root = [3,2,3,null,3,null,1]
输出: 7
解释:  小偷一晚能够盗取的最高金额 3 + 3 + 1 = 7

示例 2:

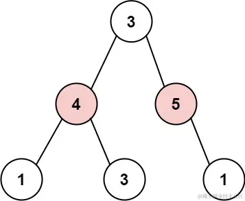
输入: root = [3,4,5,1,3,null,1]
输出: 9
解释:  小偷一晚能够盗取的最高金额 4 + 5 = 9

提示:

  • 树的节点数在  [1, 10^4] 范围内
  • 0 <= Node.val <= 10^4

思路

本题使用动态规划求解。由题目知,小偷不能同时偷窃根节点和他的直接子节点的房间。我们用 f(n) 表示小偷偷窃房间 n 及它的所有子节点房间可获得的最大金额数,f(n) 的取值可分为下面几种情况。

  • n 没有子节点时,即 n 是树的叶子节点,f(n) = n.val
  • n 有子节点且它的子节点没有子节点,即 n 在树的倒数第二层,f(n) = max(n.val, n.left.val + n.right.val)
  • n 有子节点且它的子节点也有子节点,f(n) = max(n.val + f(n.left.left) + f(n.left.right) + f(n.right.left) + f(n.right.right), n.left.val + n.right.val)

具体代码如下。

解题

/**
 * Definition for a binary tree node.
 * function TreeNode(val, left, right) {
 *     this.val = (val===undefined ? 0 : val)
 *     this.left = (left===undefined ? null : left)
 *     this.right = (right===undefined ? null : right)
 * }
 */
/**
 * @param {TreeNode} root
 * @return {number}
 */
var rob = function (root) {
  const map = new WeakMap();
  const dfs = (node) => {
    if (map.has(node)) return map.get(node);
    if (!node) return 0;
    let c1 = 0;
    let c2 = node.value;
    if (node.left) {
      c1 += dfs(node.left);
      c2 += dfs(node.left.left) + dfs(node.left.right);
    }
    if (node.right) {
      c1 += dfs(node.right);
      c2 += dfs(node.right.left) + dfs(node.right.right);
    }
    const c = Math.max(c1, c2);
    map.set(node, c);
    return c;
  };
  return dfs(root);
};