第 2 关 | 两天写了三次的链表反转 : 1. 青铜挑战——手写链表反转

138 阅读4分钟

链表反转是一个出现频率特别高的算法题,老师过去这些年面试,至少遇到过七八次。其中更夸张的是曾经两天写了三次,上午YY,下午金山云,第二天快手。链表反转在各大高频题排名网站也长期占领前三。比如牛客网上这个No1 好像已经很久了。所以链表反转是我们学习链表最重要的问题,没有之一。

image.png 为什么反转这么重要呢?因为反转链表涉及结点的增加、删除等多种操作,能非常有效考察思维能力和代码驾驭能力。另外很多题目也都要用它来做基础, 例如指定区间反转、链表K个一组翻转。还有一些在内部的某个过程用到了反转,例如两个链表生成相加链表。还有一种是链表排序的,也是需要移动元素之间的指针,难度与此差不多。因为太重要,所以我们用一章专门研究这个题目。

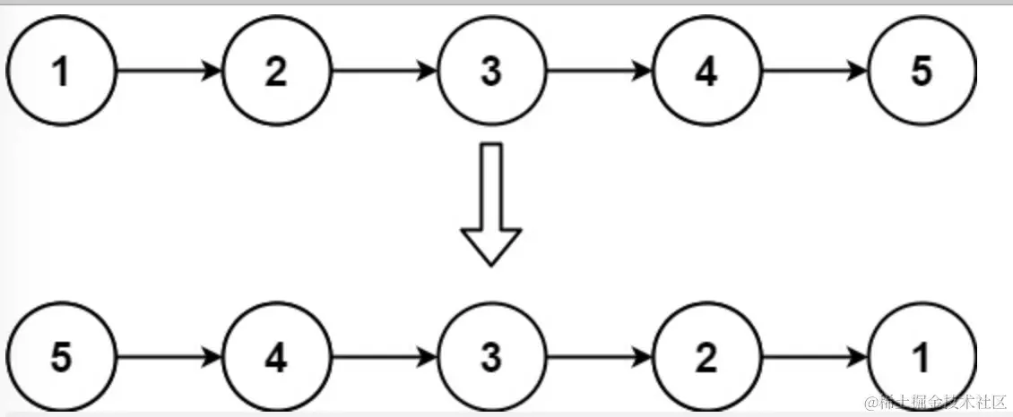
LeetCode206 给你单链表的头节点 head,请你反转链表,并返回反转后的链表。

示例1:
输入:head = [1,2,3,4,5]
输出:[5,4,3,2,1]

本题有两种方法,带头结点和不带头结点,我们都应该会,因为这两种方式都很重要,如果搞清楚,很多链表的算法题就不用做了。

1. 建立虚拟头节点

前面分析链表插入元素的时候,会发现如何处理头结点是个比较麻烦的问题,为此可以先建立一个虚拟的结点ans,并且令ans.next=head,这样可以很好的简化我们的操作。如下图所示,如果我们将链表{1->2->3->4->5}进行反转,我们首先建立虚拟结点ans,并令ans.next=node(1),接下来我们每次从旧的链表拆下来一个结点接到ans后面,然后将其他线调整好就可以了。

如上图所示,我们完成最后一步之后,只要返回ans.next就得到反转的链表了,代码如下:

class Solution {
    public ListNode reverseList(ListNode head) {
        ListNode ans = new ListNode(-1);
        ListNode cur = head;
        while(cur != null){
            ListNode next = cur.next;
            cur.next = ans.next;
            ans.next = cur;
            cur = next;
        }
        return ans.next;
    }
}

建立虚拟结点是处理链表的经典方法之一,虚拟结点在很多工具的源码里都有使用,用来处理链表反转也比较好理解,因此我们必须掌握好。

2. 直接操作链表实现反转

上面的方式虽然好理解应用也广,但是可能会被面试官禁止,为啥?原因是不借助虚拟结点的方式更难,更能考察面试者的能力。
我们观察一下反转前后的结构和指针位置:

我们再看一下执行期间的过程示意图,在图中,cur本来指向旧链表的首结点,pre表示已经调整好的新链表的表头,next是下一个要调整的。注意图中箭头方向,cur和pre是两个表的表头,移动过程中cur经过一次中间状态之后,又重新变成了两个链表的表头。

理解这个图就够了,直接看代码:

class Solution {
    public ListNode reverseList(ListNode head) {
        ListNode ans = null;
        ListNode cur = head;
        while(cur != null){
             // 将下一个结点保存
            ListNode temp = cur.next;
            // 将当前节点与下一节点断开进行前置
        	cur.next = ans;
            ans = cur;
            // 将当前指针指向下一个位置
            cur = temp;
        }
        return ans;
    }
}

将上面这段代码在理解的基础上背下来,是的,因为这个算法太重要

3. 拓展

上面我们讲解了链表反转的两种方法,带虚拟头结点方法是很多底层源码使用的,而不使用带头结点的方法是面试经常要考的,所以两种方式我们都要好好掌握。
另外这种带与不带头结点的方式,在接下来的指定区间、K个一组反转也采用了,只不过为了便于理解 ,我们将其改成了“头插法”和“穿针引线法”。

拓展 通过递归来实现反转,链表反转还有第三种常见的方式,使用递归来实现,这里不做重点,感兴趣的同学可以研究一下:

public ListNode reverseList(ListNode head) {
	if (head == null || head.next == null) {
		return head;
	}
	ListNode newHead = reverseList(head.next);
	head.next.next = head;
	head.next = null;
	return newHead;
}

4. 通关文牒