R语言Apriori算法关联规则对中药用药复方配伍规律药方挖掘可视化|附代码数据

87 阅读3分钟

全文链接:tecdat.cn/?p=32316

原文出处:拓端数据部落公众号

我们常说的中药挖掘,一般是用药挖掘,还有穴位的挖掘,主要是想找出一些用药的规律。在中医挖掘中,数据的来源比较广泛,有的是通过临床收集用药处方,比如,一个著名老中医针对某一疾病的用药情况;有的是通过古籍,古代流传下来的药方;还有一种情况是在论文数据框里查找专门治疗某一疾病的文献,从中找到处方,用来分析。

Apriori算法是一种最有影响的挖掘关联规则频繁项集的算法。其核心是基于两阶段频集思想的递推算法。该关联规则在分类上属于单维、单层、布尔关联规则,Apriori 算法采用了逐层搜索的迭代的方法,算法简单明了,没有复杂的理论推导,也易于实现。

由于Apriori算法的特性,十分适合中药处方、膏方、方剂的挖掘,甚至于穴位的挖掘。

本文帮助客户得出不同处方的药物组合和频率,挖掘出药方内在的规律。

中药处方数据

image.png

读取数据

a_df3=read.xlsx("挖掘用.xlsx",startRow=0, colNames = F)

image.png

转换数据结构

a_list=list(0)  
for(i in 1:nrow(a_df3)){  
   
   
##删除事务中的重复项目
 a_list[[i]]= unique(strsplit(a_df3[i,],",")[[1]])

image.png

将数据转换成事务类型

trans2 <- as(a_list, "tran

查看每个商品的出现频率

image.png

可以看到每个物品出现的频率,从而判断哪些物品的支持度较高。

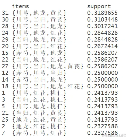
关联规则挖掘

药对挖掘

at(dat1,parameter=list(support=0.3,minlen=2,maxle

image.png

得到频繁规则挖掘

inspect(frequent

image.png

查看求得的频繁项集

spect(sort(frequentsets,by="suppo

image.png

根据支持度对求得的频繁项集排序并查看(等价于inspect(sort(frequentsets)[1:10])。

建立模型

apriori(dat1,parame

image.png

设置支持度为0.01,置信度为0.3

summary(rules)#查看规则

image.png

查看部分规则

image.png

查看置信度 支持度和提升度

image.png

可视化

绘制不同规则图形来表示支持度,置信度和提升度。

202003281439369701.png

通过该图可以看到规则前项和规则后项分别有哪些物品 以及每个物品的支持度大小,支持度越大则圆圈越大。

image.png

ules, method = NULL,  
     measure = "support", shading = "lift", int

image.png

从该图可以看到支持度和置信度的关系,置信度越高提升度也越高。

image.png

image.png

从该图可以看到支持度和置信度的关系,提升度越高置信度也越高。

ules, method="matrix3D", measure="lift

image.png

image.png

从上图可以看到不同物品之间的关联关系,图中的点越大说明该物品的支持度越高,颜色越深说明该物品的提升度越高。

plot(rules, method="doubledecker" )  

查看最高的支持度样本规则

ules::inspect(head(rules

image.png

查看最高置信度样本规则

sort(rules, by="confidenc
nspect(head(rules

image.png

sort(rules, by="lift

image.png

得到有价值规则子集

rules,subset=confidence>0.3 & support>0.2 & lift>=1
summary(x)

image.png

按照支持度排序

sort(x,by="support

image.png

按照置信度排序

inspect(sort(x,by="confide

image.png

对有价值的x集合进行数据可视化。

method="grouped")

image.png

组合挖掘

at(dat1,parameter=list(support=0.22,minlen=3,maxle

image.png

得到频繁规则挖掘

nspect(frequents

image.png

察看求得的频繁项集

nspect(sort(frequentsets,by="sup

image.png

根据支持度对求得的频繁项集排序并查看(等价于inspect(sort(frequentsets)[1:10])

建立模型

apriori(dat1,parameter=list(support=0.24

image.png

设置支持度为0.01,置信度为0.3。

summary(rules)#查看规则

image.png

查看部分规则

image.png

查看置信度 支持度和提升度

image.png

可视化

image.png

image.png

image.png

image.png

image.png

image.png

从该图可以看到支持度和置信度的关系,提升度越高置信度也越高。

image.png

image.png

image.png

查看最高的支持度样本规则

image.png

查看最高置信度样本规则

image.png

查看最高提升度样本规则

image.png

confidence>0.3 & support>0.3 & lift>=1)    #得到有价值规则子集
summary(x)

image.png

aspect(sort(x,by="support"))    #按照支持度排序

##    lhs            rhs    support   confidence lift     
## 45 {川芎,黄芪} => {地龙} 0.3189655 0.7872340  1.602090  
## 43 {地龙,黄芪} => {川芎} 0.3189655 0.9024390  1.586105  
## 44 {川芎,地龙} => {黄芪} 0.3189655 0.8043478  1.481021  
## 42 {川芎,黄芪} => {当归} 0.3103448 0.7659574  1.615474  
## 41 {川芎,当归} => {黄芪} 0.3103448 0.8181818  1.506494  
## 40 {当归,黄芪} => {川芎} 0.3103448 0.8571429  1.506494  
## 37 {当归,地龙} => {川芎} 0.3017241 0.9210526  1.618820  
## 38 {川芎,当归} => {地龙} 0.3017241 0.7954545  1.618820  
## 39 {川芎,地龙} => {当归} 0.3017241 0.7608696  1.604743

pect(sort(x,by="confidence"))    #按照置信度排序

##    lhs            rhs    support   confidence lift     
## 37 {当归,地龙} => {川芎} 0.3017241 0.9210526  1.618820  
## 43 {地龙,黄芪} => {川芎} 0.3189655 0.9024390  1.586105  
## 40 {当归,黄芪} => {川芎} 0.3103448 0.8571429  1.506494  
## 41 {川芎,当归} => {黄芪} 0.3103448 0.8181818  1.506494  
## 44 {川芎,地龙} => {黄芪} 0.3189655 0.8043478  1.481021  
## 38 {川芎,当归} => {地龙} 0.3017241 0.7954545  1.618820  
## 45 {川芎,黄芪} => {地龙} 0.3189655 0.7872340  1.602090  
## 42 {川芎,黄芪} => {当归} 0.3103448 0.7659574  1.615474  
## 39 {川芎,地龙} => {当归} 0.3017241 0.7608696  1.604743

对有价值的x集合进行数据可视化

image.png

image.png


QQ截图20220330000330.png 最受欢迎的见解

1.Python中的Apriori关联算法-市场购物篮分析

2.R语言绘制生存曲线估计|生存分析|如何R作生存曲线图

3.用关联规则数据挖掘探索药物配伍中的规律

4.通过Python中的Apriori算法进行关联规则挖掘

5.用关联规则数据挖掘探索药物配伍中的规律

6.采用SPSS Modeler的Web复杂网络对所有腧穴进行分析

7.R语言如何在生存分析与COX回归中计算IDI,NRI指标

8.R语言如何找到患者数据中具有差异的指标?(PLS—DA分析)

9.R语言中的生存分析Survival analysis晚期肺癌患者4例