[基础数据结构] 判断是否为完全二叉搜索树

103 阅读2分钟

对二叉搜索树的定义是:
一棵深度为k的有n个结点的二叉树,对树中的结点按从上至下、从左到右的顺序进行编号,如果编号为i( 1 ≤ i ≤ n 1≤i≤n 1≤i≤n)的结点与满二叉树中编号为i的结点在二叉树中的位置相同,则这棵二叉树称为完全二叉树。

给出二叉搜索树的层次遍历,并判断是否为完全二叉搜索树
可以参考PTA链接

将一系列给定数字顺序插入一个初始为空的二叉搜索树(定义为左子树键值大,右子树键值小),你需要判断最后的树是否一棵完全二叉树,并且给出其层序遍历的结果。
输入格式:
输入第一行给出一个不超过20的正整数N;第二行给出N个互不相同的正整数,其间以空格分隔。
输出格式:
将输入的N个正整数顺序插入一个初始为空的二叉搜索树。在第一行中输出结果树的层序遍历结果,数字间以1个空格分隔,行的首尾不得有多余空格。第二行输出YES,如果该树是完全二叉树;否则输出NO。
输入样例1:
9
38 45 42 24 58 30 67 12 51
输出样例1:
38 45 24 58 42 30 12 67 51
YES
输入样例2:
8
38 24 12 45 58 67 42 51
输出样例2:
38 45 24 58 42 12 67 51
NO

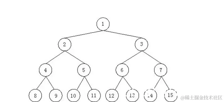
假如我们将二叉搜索树的根节点编号为root = 1,左孩子节点的编号为root<<1,右孩子节点的编号为root<<1|1
那么说我们将得到一颗这样的树形结构(下图为完美二叉树):
在这里插入图片描述
所以说在我们的存储过程中,在数组中存储一定是连续的
也就是说:我们将数组初始化为0,有值的部分一定是连续的从 1 → n 1\to n 1→n
并不可能出现 1 → n 1 \to n 1→n中有的部分为0

Code:

int n,m,k;
int a[1LL<<21];
void build(int id,int x) {
	if(a[id] == 0) a[id] = x;
	else if(x > a[id]) build(id<<1,x);
	else if(x < a[id]) build(id<<1|1,x);
}
int main() {
	n = read;
	for(int i=1; i<=n; i++) {
		int x = read;
		build(1,x);
	}
	int flag = 0;
	for(int i=1; i<=n; i++) {
		if(!a[i]) {
			flag = 1;
			break;
		}
	}
	if(!flag) {
		for(int i=1; i<=n; i++) {
			printf("%d%c",a[i],(i == n ? '\n':' '));
		}
	} else {
		int cnt = 0;
		for(int i=1; i; i++) {
			if(a[i]) {
				cnt ++;
				printf("%d%c",a[i],(cnt == n?'\n':' '));
				if(cnt == n) break;
			}
		}
	}
	printf("%s",flag?"NO":"YES");
	return 0;
}
/**
8
38 24 12 45 58 67 42 51

**/