[Tarjan] Tarjan详细介绍(顺手写版本)

42 阅读3分钟

更新日志

本文章bug可能比较多,也可能讲的不是很完美,所以难免会经过多次修改,如有不恰当,还请各位大佬赐教
本文大量参考吴永辉教授在2020年度集训讲课内容,可以在网站上进行视频的查找

2021-3-24写了两行

代码里加了注释,但是还不是非常完美,仍要完善~
先存个模板,继续更

2021-3-25第一次更

Tarjan算法是罗伯特 · 塔扬提出的一种求解有向图的强连通分量的一种算法,除了求强连通分支,还可以用来求图的割点和桥,以及点(边)双连通分支,非常的强大,如果想要一睹Tarjan真容,可以移步bilibili
如果两个点之间可以相互到达,那么说这两个点之间的关系就是强联通的,如果在一个图中,任意两点之间都是可以相互到达的,那么说这个图就是个强连通图。在一个图中,有向图的极大强连通子图叫做这个图的强连通分量SCC
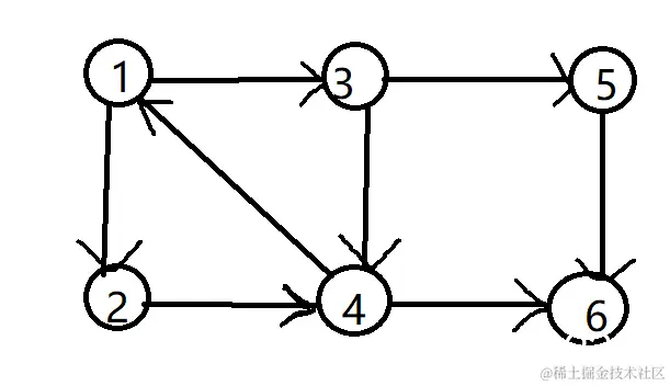
比如说有这么一张图:
在这里插入图片描述
在这张图中,{1,3,2,4},{5},{6}三部分就是强联通的
Tarjan算法是基于DFS的算法,每个强连通分量为当前搜索树中的一棵子树。在算法进行时,将当前的节点1放到里面。这样一来,在回溯时,就可以判断栈顶到栈中的节点是否为一个强连通分量
敲黑板
在Tarjan算法推进的过程中,一些需要定义的数组以及变量,现在首先进行声明一下:
dfn[x],表示节点x的时间戳,通俗说就是当前这个点x被访问的次序,第一个被访问的dfn[x]是1,第二个dfn[x] = 2
low[x],表示节点x或者是x的子树能够追溯到1的最早的栈中节点的编号;low[x]一开始是dfn[x],然后会不断更新,成为强连通分支子树根节点的dfn,当dfn[x] == low[x]的时候,以x为根的搜索子树上所有的节点是一个强连通分支
stack st;实现栈在Tarjan中的作用;
pos[x] or colour[x]可以记录节点x所在的强连通分支是第几个

为了方便,直接手写这个1过程吧
在这里插入图片描述
在这里插入图片描述
在这里插入图片描述

#include <bits/stdc++.h>
using namespace std;
typedef long long ll;
const int maxn = 2e5 + 7;
int n,m;
int head[maxn];
int tim,cnt;
struct node {
	int v;
	int nex;
} e[maxn];
void init() {
	cnt = 0;
	tim = 0;
	for(int i=1; i<=n; i++) {
		head[i] = -1;
	}
}
void add(int u,int v) {
	e[cnt].v = v;
	e[cnt].nex = head[u];
	head[u] = cnt ++;
}
stack<int> st; 
//low[x] -> x or x子树能够到达的栈中节点的次序号 
int dfn[maxn],low[maxn],pos[maxn];
int tot;
/// pos[i] == x -> 点i在第x个强连通分支 
void Tarjan(int x) {
	dfn[x] = low[x] = ++tim;///时间戳 
	st.push(x);///节点入栈 
	for(int i=head[x]; ~i; i=e[i].nex) {
		int v = e[i].v;///有向边 
		if(!dfn[v]) {//节点v没有被访问过,是树枝边 
			Tarjan(v);//首次被访问不在栈内 
			low[x] = min(low[x],low[v]);
		} else if(!pos[v]) {///被访问过,在栈内 
		//遇到已经在栈内的点,就将该点作为强连通分量的根 
			low[x] = min(low[x],dfn[v]);
		}
	}//low[x] 没有更新,在栈中节点u以及之上节点构成一个强连通分支 
	if(low[x] == dfn[x]) {
		pos[x] = ++tot;///记录强连通分支的个数 
		while(st.top() != x) {
			pos[st.top()] = tot;//栈中节点u以及之上节点在第tot个强连通分支中 
			st.pop();
		}
		st.pop();//节点u出栈 
	}
}
int main() {
	cin >> n >> m;
	init();
	for(int i=1; i<=m; i++) {
		int a,b;
		cin >> a >> b;
		add(a,b);
	}
	Tarjan(1);///wrong
	for(int i=1;i<=n;i++){///yes
		if(dfn[i] == 0) Tarjan(i);
	}
	cout<<tot<<endl;
	return 0;
}