LeetCode刷题笔记

96 阅读2分钟

** 目录**

一.1494.并行课程 II

题目:

灵神解析:

 思路整理:

代码:

二.剑指Offer 05.替换空格 

题目:

 思路:

代码:

   三.剑指 Offer 27.二叉树的镜像

题目:

 思路:

代码:


一.1494.并行课程 II

题目:

不得不说,灵神确实牛啊。看完灵神解析,恍然大悟啊。

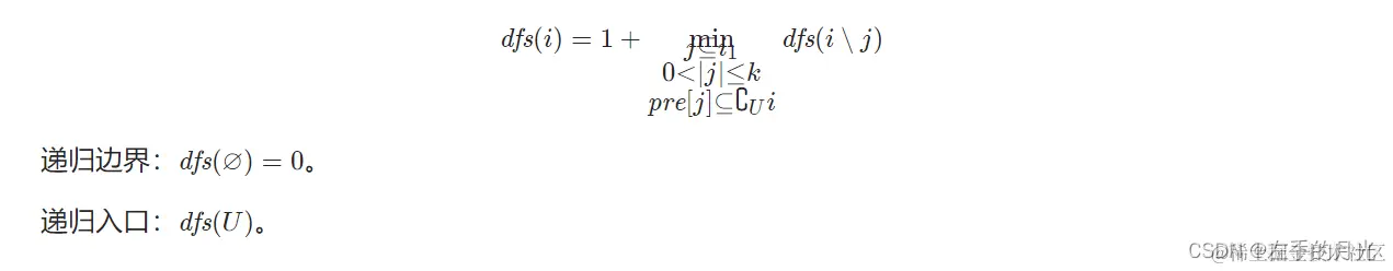
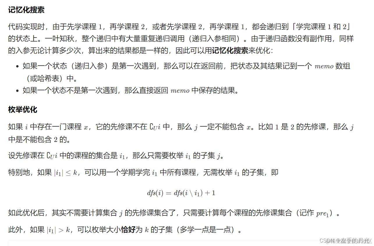
首先这道题采用位运算+递归+记忆化搜索。我们先看灵神的解析

灵神解析:

 思路整理:

接下来详细解析一下,首先整理一下思路。

        1.建立数组,存储每个课程的先行课有哪些。

        2.求完成所有课程所需要的最短时间。

        第一步:也许很容易想到我们可以用一个二维数组来存储每个课程的先行课,例如bool  arr[i][j] 代表第j个课程是否是第i个课程的先行课。是为true,不是为false。很容易想到,但是题目说最多有15个课程,那么很容易想到状态压缩。我们用一个一维数组优化掉二维数组。int类型有32位我们取低位,分别代表一门课程的先行课。例如建立pre1[i]=0000 0000 0000 0000 0000 0000 0000 00101 代表1号课程和3号是i课程的先行课。

        第二步:数组有了,接下来考虑怎么得出最短时间。我每次递归从所有学科中选取可以学的学科,也就是先行课学完或者没有先行课的课程。如果小于k就一次性学习所有可以学习的课。如果大于k,遍历所有学k个课程的可能取最小值即可。注意学完要将学完的课变为0,以便下一层递归检测某一课程的先行课是否完成

代码:

class Solution {
public:
    int minNumberOfSemesters(int n, vector<vector<int>> &relations, int k) {
        vector<int> pre1(n,0);             
        //存储1-n的先行课,1为先行课
        for (auto &r: relations)
            pre1[r[1] - 1] |= 1 << (r[0] - 1); 
        // r[1] 的先修课程集合,下标改从 0 开始
        int u = (1 << n) - 1; 
        // 全集,全部的课都变为1
        int memo[1 << n];
        memset(memo, -1, sizeof(memo)); 
        // -1 表示没有计算过
        function<int(int)> dfs = [&](int i) -> int {
            if (i == 0) return 0;               
            // 空集,证明课上完了
            int &res = memo[i]; 
            // 注意这里是引用
            //int* const res=&memo[i]
            //*res=100;
            if (res != -1) return res; 
            // 之前算过了
            int i1 = 0, ci = u ^ i; 
            // u为全1,i是上课的为1,ci为上完的为1
            for (int j = 0; j < n; j++)
                if ((i >> j) & 1 && (pre1[j] | ci) == ci) 
                //(i >> j) & 1判断这一位是否为1,是1代表没学,
                //pre1[j]代表j的先行课,要上的先行课为1,
                //pre1[j] | ci代表先行课都上了,可以学习j课程
                //pre1[j] 在 i 的补集中,可以学(否则这学期一定不能学)
                    i1 |= 1 << j;
                //i1用来记录这一学期哪一课程可以学,1为可以学
            if (__builtin_popcount(i1) <= k)  
                // 如果个数小于 k,则可以全部学习,不再枚举子集
                return res = dfs(i ^ i1) + 1;
                //i存储没学的课程,i1存储可以学的课程,
                //i ^ i1代表学完之后没有学习的课程
            res = INT_MAX;
            //大于k,枚举每次上k个课程,取最小值
            for (int j = i1; j; j = (j - 1) & i1) 
            // 枚举 i1 的子集 j
            //从大到小,判断正好能学k个的情况,牛皮
                if (__builtin_popcount(j) == k)
                    res = min(res, dfs(i ^ j) + 1);
            //取最小值返回
            return res;
        };
        return dfs(u);
    }
};

二.剑指Offer 05.替换空格 

题目:

思路:

        首先第一遍遍历,检测有几个空格。然后将该字符串扩容,每有一个空格,字符串长度增加2。然后设置右指针为字符串末尾,左指针为原字符串的末尾。不遇空格不断向前复制即可,遇到空格右指针向前移动并且赋值为“%20”,左指针左移一个跳过空格即可。

代码:

class Solution {
public:
    string replaceSpace(string s) {
        int len=s.size(),count=0;
        for(int i=0;i<len;i++){
            if(s[i]==' ') count++;
        }
        int left=len-1,right=left+2*count;
        s.resize(right+1);
        while(right!=left){
            if(s[left]!=' '){
                s[right]=s[left],right--,left--;
            }else{
                s[right--]='0',s[right--]='2',s[right--]='%',left--;
            }
        }
        return s;
    }
};

   三.剑指 Offer 27.二叉树的镜像

题目:

 思路:

 根据二叉树镜像的定义,考虑递归遍历(dfs)二叉树,交换每个节点的左 / 右子节点,即可生成二叉树的镜像。
递归解析:
1.终止条件: 当节点 root 为空时(即越过叶节点),则返回 nullptr;
2.递推工作:

        (1)初始化节点 tmp ,用于暂存 root 的左子节点;

        (2)开启递归 右子节点 mirrorTree(root.right) ,并将返回值作为 root 的 左子节点 。

        (3)开启递归 左子节点mirrorTree(tmp) ,并将返回值作为 root 的 右子节点 。

3.返回值: 返回当前节点 

代码:

/**
 * Definition for a binary tree node.
 * struct TreeNode {
 *     int val;
 *     TreeNode *left;
 *     TreeNode *right;
 *     TreeNode(int x) : val(x), left(NULL), right(NULL) {}
 * };
 */
class Solution {
public:
    TreeNode* mirrorTree(TreeNode* root) {
        if(root==nullptr) return nullptr;
        TreeNode* tmp=root->left;
        root->left=root->right;
        root->right=tmp;
        mirrorTree(root->right);
        mirrorTree(root->left);
        return root;
    }
};