数据结构 图的基本概念

140 阅读5分钟

图的基本概念

  • 各种图定义
    • 按照有无方向 分为无向图和有向图
    • 按照边或弧的多少 分为稀疏图和稠密图
  • 图的顶点与边之间的关系
    • 度的概念
      • 出度
      • 入度
    • 路径
      • 回路或环
      • 简单路径
  • 连通图
    • 连通分量
      • 强连通分量
    • 生成树
  • 生成树
    • 生成森林

各种图定义

有向图

概念: 如果图中任意两个顶点之间的边都是有向边,则称该图为有向图。 构成: 顶点 和 弧 构成。弧有弧头弧尾之分。

有向完全图

概念: 如果任意两个顶点之间都存在方向互为相反的两条弧,则称该图为有向完全图

image.png

无向图

概念: 如果图中任意两个顶点之间的边都是无向边,则称该图为无向图。 构成: 顶点 和 边

无向完全图

概念: 如果任意两个顶点之间都存在边,则称该图为无向完全图。

image.png

稀疏图

概念: 有很少条边或弧的图称为稀疏图

稠密图

概念: 有很多条边或弧的图称为稠密图

概念: 有些图的边或弧具有与它相关的数字,这种与图的边或弧相关的数字就叫做,可以理解成从一个顶点到另一个顶点的距离。这种带权的图,通常就叫做

image.png

图的顶点与边之间的关系

度的概念: 对于无向图而言,顶点v的度 (Degree) 是和v相关联的边的数目,记为TD (v)

入度

概念: 对于有向图而言,以顶点v为头的弧的数目称为v的入度,记为ID (v)

出度

概念: 这是对于有向图而言,以顶点v为尾的数目称为v的出度,记为OD (v)

路径

回路、环

概念: 第一个顶点到最后一个顶点相同的路径称为回路 或者 叫做环。

简单路径

概念: 序列中顶点不重复出现的路径叫做简单路径

简单回路、简单环

概念: 除了第一个顶点和最后一个顶点之外,其余顶点不重复出现的回路,称为简单回路 或者叫做 简单环。

image.png

以上面这个图为示例,左边的图,起始点是B,终点也是B,并且其他三个点C、D、A没有重复出现,这就可以定义成是一个简单环。但是右边的图,虽然起始点和终点都是B,但是C点重复出现了,它就不能视作是一个简单环。

连通图

概念: 在无向图里,两个顶点之间有路径连接,则可以称这两个顶点之间是连通的。如果一个图中的任意两个顶点都是连通的,那么这个图就是连通图

连通分量

概念: 无向图中的极大连通子图称为连通分量

  • 是子图
  • 子图是连通的
  • 连通子图含有极大顶点数
  • 具有极大顶点数的连通子图包含依附于这些顶点的所有边

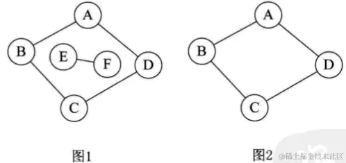
image.png

image.png

解释概念不容易理解,用上面这四个图对比来看。
图一 不是连通图,因为EF与ABCD之间没有连接。图二 是连通图。
尽管图一不是连通图,但是它也包括了两个连通分量,也就是图2和图3;
图4是图1的子图,但是根据连通分量的条件,不满足连通子图的极大顶点数 (但是这里图2 是满足这个条件的)。所以图4不是图1的连通分量。

强连通图

概念: 在有向图里,如果每一对节点,例如vi, vj, vi ≠ vj, 并且从vi到vj和从vj到vi之间都存在路径,那么这个图就是强连通图。

强连通分量

概念: 有向图中的极大强连通子图乘坐有向图的强连通分量。 image.png 看图说话, 图1就不是强连通图,因为从顶点A到顶点D之间存在路径,可是根据强连通图的概念,我们知道从顶点D到顶点A之间就没有路径。
图2是强连通图,并且可以得知,图2是图1的极大强连通子图,也就是强连通分量

生成树

概念: 一个连通图的生成树是一个极小的连通子图,它含有图中全部的n个顶点,但只有足以构成一棵树的n - 1条边。

image.png 举例说明,图1就不是一个生成树,当去掉两条构成环的边之后 (AB, FG),形成了图2,图3也可以这样形成 (删掉AD和EH两条边),那么这样就满足生成树的定义了,图2和图3都是生成树。
这里要区分生成树和强连通图的关系: 如果一个图有n个顶点和小于n-1条边,则是非连通图,如果多于n - 1条边,那么就必定构成一个环。
比如说,图4就不是生成树。

有向树

概念: 有向图里,一顶点入度为0,其余顶点入度为1就是有向树

生成森林

概念: 一个有向图由若干棵有向树构成生成森林。

这篇文章是博主自学“图”相关知识点的总结所用,大部分概念来自于程杰老师所著的《大话数据结构》一书。无商业用途,如有侵权,联系必删