ABIDE Preprocessed 结构态MRI数据集介绍及下载

624 阅读3分钟

ABIDE数据集介绍及下载

 ABIDE Prerocessed项目是在ABIDE I 项目的基础上发展而来,主要是对ABIDE I中采集到的原始数据进行了一定的预处理和初步的特征提取。针对于fMRI和sMRI数据有着不同的处理方式,本次主要对其中提供的sMRI预处理结果进行介绍,同时对这些数据的下载方法进行展示。除此之外,采集策略、样本数目等更为宽泛的介绍参见官网ABIDE Preprocessed

 首先ABIDE Preprocessed项目对于sMRI数据给出了三种不同的预处理方案下的结果,分别为ANTS、CIVET、FreeSurfer,不同方案下的脑区分割策略以及获得的特征都存在着些许差异,由于笔者比较关注于Region based的特征,因此对于其中Vertex based的特征并未进行细致的了解,相应的,没有给出明确region based结果的Free surfer方案将着墨不多。以下进行详细介绍。

ANTS

 ANTS方案下提供了两种sMRI特征,一种是voxel-wise的皮层厚度特征;一种是region-based平均皮层厚度特征,采用的大脑皮层分区方式为DKT模版,但原本的35个区域从中去除了4个区域bankstss、corpus callosum、 frontal pole、 temporal pole,因此最终在大脑皮层层面左右半均只有31个ROIs。此外,下载得到的数据中还包含了非皮层区域的厚度特征,具体可以参见官网给出的number-name对应:labeling protocol

 数据的下载链接模版为: https://s3.amazonaws.com/fcp-indi/data/Projects/ABIDE_Initiative/Outputs/ants/[derivative]/[file identifier]_[derivative][suffix]
其中:

  1. file identifier为样本的标识号,可以查阅样本的Phenotypic文件得到;
  2. derivative为选取特征的名字,在ANTS方案下可选项有:anat_thickness, roi_thickness;
  3. suffix为文件的后缀名,anat_thickness对应.nii.gz,roi_thickness对应.txt

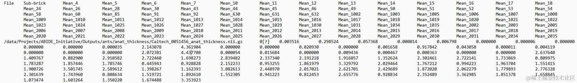
 最终我们下载得到的DAT文件大概是这样: 在这里插入图片描述

上面一部分是标题栏,下面一部分是对应的值,通过将Mean_xx后的序号和 labeling protocol 一一对应就可以确定这些measures的归属,可以发现确实是包含了左右脑各31个区域,同时还有一些非皮层区域。

CIVET

 CIVET预处理后的sMRI数据相交于ANTS处理得到的,提供了更为丰富的信息,包括了Surfaces、Vertex-based Measures、Region-based Measures、Cortical Thickness Maps,这里主要介绍Region-based Measures,其余特征下载方式类似。  关于CIVET得到的Region-based Measures,官网给出的描述已经较为清晰,这里同样主要补充关于其Labeling protocal的知识。比较不同的点在于,它并没有使用DTK作为模版而是默认采用了basic lobar的划分方式,最终每个半脑只有9个区域,具体划分的方式参见图谱:Surface Parcellation

 数据的下载链接模版为: https://s3.amazonaws.com/fcp-indi/data/Projects/ABIDE_Initiative/Outputs/civet/surfaces_[derivative]/[file identifier]_[derivative][suffix]
其中:

  1. file identifier为样本的标识号;
    1. derivative为选取特征的名字,在ANTS方案下可选项有:[derivative] = gi_left | gi_right | lobe_areas_40mm_left | lobe_areas_40mm_right | lobe_native_cortex_area_left |lobe_native_cortex_area_right | lobe_thickness_tlink_30mm_left | lobe_thickness_tlink_30mm_right |lobe_volumes_40mm_left | lobe_volumes_40mm_right
  2. suffix为文件的后缀名,Region-based Measures对应.dat,其余见官网。

由于CIVET包含的形态学测度不局限于皮层厚度而是更多,可以在CIVET官网查阅:Listing of Output Folders / Files  最终我们下载得到的DAT文件大概是这样 在这里插入图片描述

很好理解,不再赘述

FreeSurfer

 FreeSurfer场景下得到的预处理数据会更为的复杂, 直接给出了FreeSurfer处理后的所有输出结果,自行按需下载即可,下载链接模版为: https://s3.amazonaws.com/fcp-indi/data/Projects/ABIDE_Initiative/Outputs/freesurfer/5.1/[file identifier]/[sub directory]/[output file]

其中:

  1. file identifier为样本的标识号;
  2. sub directory为Free surfer标准输出包含的子文件夹,可选项有label | mri | scripts | stats | surf
  3. ouput file为FreeSurfer最终的输出文件名,参见FreeSurfer Output自行填写,注意和其父文件夹名字的对应。

值得注意的是下载得到的FreeSurfer处理结果非常原始,不能和之前二者一样通过TXT打开,在Python环境下可以用Nibabel或者是Surfa来打开。