编译原理-词法分析

224 阅读5分钟

编译原理-词法分析

正则表达式

注意课上没提到的正则写法,仅作为了解

\w 用于查找字母、数字和下划线

\W 匹配除字母、数字和下划线之外的字符

\d 仅用来匹配数字

\D 用来匹配数字之外的所有字符

\s 仅匹配空白字符

图片.png 首尾符号不同的a、b串

(a(a*b)+) | (b(b*a)+)
或(a(a|b)*b) | (b(a|b)*a)

首尾符号相同的a、b串 包括只有a或b的情况

(a(b*a)*)|(b(a*b)*)

NFA设计

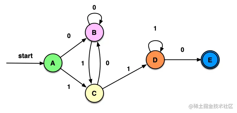
不包含字串011的01串

image-20221105211752301

偶数个0,偶数个1的0/1串

image-20221105212835393

能被3整除的二进制串

image-20221105213415355

正则-NFA

Thomson 构造法。基本思想是递归:

  1. 对于基本的 re,直接构造

  2. 对于复合的 re,递归构造

具体构造方式比较简单,在此略去

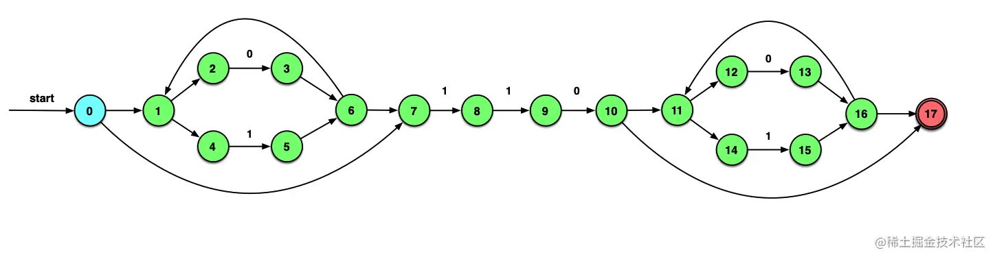
以(0 | 1)*110(0 | 1)*为例:

image-20221106093147221

NFA-DFA

子集构造法

算法理解:

递推的思想

最简单的符号串ε:NFA状态集合←→DFA 状态

长度为1的串a=εa,在自动机中可达的状态为:从c对应的状态经过标记为a的边可达的状态

长度为2的串...

算法需要注意的地方:

  1. DFA新的状态对应NFA状态集消耗一个字符,能够走到的状态集。所以很明显,这里要消耗,所以不能是 ε,并且只能消耗一个。

  2. 得到步骤 1 中的状态集之后,还需要考虑,这里面的所有节点,通过 ε 能走到的所有状态。注意,这里的每个状态,只要可以通过 ε 走,就必须一直走下去,也就是所谓的 ε-闭包。这一步得到状态集的就是最后的结果。

  3. 第二步需要格外注意的是别忘了检查克林顿闭包中往回返的边。

  4. 只要包含了NFA中的终态,在DFA中就作为终态出现。

  5. 直到检查某一个状态的ε-闭包不再产生新状态的时候,算法停止。

实例

上面的图进行一遍子集构造的过程(往年的期末考题,推导过程要比课上讲的例子长一些,小心出错)

image-20221106093147221

先考虑空串:

ε_closure({0})={0, 1, 2, 4, 7}=A

image-20221106113307803

在DFA里加入开始状态A。

由于只有2有能够消耗0的边,因此下一步从这个状态指向的3开始考虑:

image-20221106113154787

ε_closure(δ(A, 0))=ε_closure({3})={3, 6, 7, 1, 2, 4}={1, 2, 3, 4, 6, 7}=B

同理。不过这一次在A中4和7都能提供消耗1的边,因此要从5和8开始拓展两次ε_closure:

image-20221106113520151

ε_closure(δ(A, 1))=ε_closure({5,8})={5, 6, 7, 1, 2, 4, 8}={1, 2, 4, 5, 6, 7, 8}=C

考虑了所有消耗一个字符的情况后,我们的DFA应当是这个样子:

图片.png B状态消耗0的状态是{3}。而{3}的ε闭包我们已经求过,它就是B:

image-20221106094657352

ε_closure(δ(B, 0))=ε_closure({3})=B

同样的,B消耗1后为{5,8},它的ε闭包我们也是知道的,是C。

ε_closure(δ(B, 1))=ε_closure({5,8})=C

那么有:

图片.png

再来考察C:

image-20221106100409568

ε_closure(δ(C, 0))=ε_closure({3})=B

ε_closure(δ(C, 1))=ε_closure({5,8,9})={5, 6, 7, 1, 2, 4, 8, 9}={1, 2, 4, 5, 6, 7, 8, 9}=D

image-20221106100750517

图片.png

考察新状态D:

image-20221106101039674

ε_closure(δ(D, 0))=ε_closure({3,10})={3, 6, 7, 1, 2, 4, 10, 11, 12, 14, 17}={1, 2, 3, 4, 6, 7, 10, 11, 12, 14, 17}=E

这一次覆盖的状态包含了终态17.因此在DFG中E就要加一个圈,表示终态。

image-20221106101722642

ε_closure(δ(D, 1))=ε_closure({4,7,8})=D

图片.png

image-20221106101722642

ε_closure(δ(E, 0))=ε_closure({3,13})={1, 2, 3, 4, 6, 7, 11, 12, 13, 14, 16, 17}=F

image-20221106164356951

ε_closure(δ(E, 1))=ε_closure({5,8,15})={ 1, 2, 4, 5, 6, 7, 8, 11, 12, 14, 15, 16, 17}=G

image-20221106164315789

图片.png

image-20221106164356951

ε_closure(δ(F, 0))=ε_closure({3,13})=F

ε_closure(δ(F, 1))=ε_closure({5,8,15})=G

image-20221106164315789

ε_closure(δ(G, 0))=ε_closure({3,13})=F

ε_closure(δ(G, 1))= ε_closure({5,8,9,15})={ 1, 2, 4, 5, 6, 7, 8, 9, 11, 12, 14, 15, 16, 17}=H

image-20221106164831871

ε_closure(δ(H, 0))=ε_closure({3,10,13})={1, 2, 3, 4, 6, 7, 10, 11, 12, 13, 14, 16, 17}=I

image-20221106165419438

ε_closure(δ(H, 1))=H

ε_closure(δ(I, 0))=F

ε_closure(δ(I, 1))=G

发现I不再产生新的状态了,长舒一口气,终于可以结束了。

最终的DFA如下所示:

image-20221106114818599

做题技巧:做到后面可以连同记下求过的ε_closure。A⊆B则ε_closure(A)⊆ε_closure(B)

识别0111010过程:A →B →C →D →D →E →G →F

DFA优化

优化思想

具有非ε的输出边的状态显然是NFA中的重要状态

δ(s,a)不空,当且仅当s是重要状态→ 决定了ε_closure(δ(T,a))的计算→子集构造法的核心

两个子集若具有相同的重要状态,且同时包含或同时不包含终态,则可看作等价

算法理解

下面这一篇文章对正则到DFA和DFA最小化的思想和具体实现剖析的比较透彻。其中正则到DFA并非重点考察内容,但对理解DFA优化的思想有比较大的帮助。


词法分析-正则表达式到DFA wangwangok.github.io/2019/10/28/…


实例

最小化上面求得的DFA:

image-20221106114818599

初始非终态{A, B, C, D},终态{E, F, G, H, I},

终态内部自己打转儿,不可再分

0将前者分裂为{A, B, C}和{D},1将前者分裂为{A, B}和{C},至此不可再分

image-20221106175951220