PYTHON用KERAS的LSTM神经网络进行时间序列预测天然气价格例子|附代码数据

92 阅读6分钟

全文下载链接:tecdat.cn?p=26519

最近我们被客户要求撰写关于LSTM的研究报告,包括一些图形和统计输出。

一个简单的编码器-解码器LSTM神经网络应用于时间序列预测问题:预测天然气价格,预测范围为 10 天。“进入”时间步长也设置为 10 天。) 只需要 10 天来推断接下来的 10 天。可以使用 10 天的历史数据集以在线学习的方式重新训练网络 点击文末“阅读原文”获取完整代码数据********

数据集是天然气价格 查看文末了解数据获取方式  ,具有以下特征:

  • 日期(从 1997 年到 2020 年)- 为 每天数据
  • 以元计的天然气价格

相关视频:LSTM神经网络架构和工作原理及其在Python中的预测应用

**

拓端数据部落

,赞9

读取数据并将日期作为索引处理

# 固定日期时间并设置为索引
dftet.index = pd.DatetimeIndex

# 用NaN来填补缺失的日期(以后再补)
dargt = f_arget.reindex(ales, fill_value=np.nan)

# 检查
print(d_tret.dtypes)
df_aget.head(10)

图片

处理缺失的日期

# 数据归纳(使用 "向前填充"--根据之前的值进行填充)。
dfaet.fillna(method='ffill', inplace=True)

图片

图片

特征工程

因为我们正在使用深度学习,所以特征工程将是最小的。

  • One-hot 编码“is_weekend”和星期几
  • 添加行的最小值和最大值(可选)

通过设置固定的上限(例如 30 倍中位数)修复异常高的值

# 在df_agg中修复任何非常高的值 - 归一化为中值
for col in co_to_fi_ies:
    dgt[col] = fixnaes(dftget[col])

图片

添加滞后

# 增加每周的滞后性
df_tret = addag(d_aget, tare_arble='Price', step_ak=7)
# 增加30天的滞后性
df_get = ad_ag(df_ret, tagt_able='Price', sep_bck=30)

图片

# 合并后删除任何有NA值的列
d_gt.dropna(inplace=True)
print(dfget.shape)

tie_nx = df_art.index

图片

归一化

  • 归一化或最小-最大尺度(需要减小较宽的数值范围,以便 LSTM 收敛)。
# 标准化训练数据[0, 1]
sclr = prcsing.Maxcaer((0,1))

图片

准备训练数据集

  • 时间步数 = 1
  • 时间步数 = nsteout小时数(预测范围)

在这里,我们将数据集从 [samples, features] 转换为 [samples, steps, features] - 与算法 LSTM 一起使用的维度。下面的序列拆分使用“walk-forward”方法来创建训练数据集。

# 多变量多步骤编码器-解码器 lstm 示例
# 选择一个时间步骤的数量



# 维度变成[样本数、步骤、特征]
X, y = splices(datasformed, n_ep_in, n_ep_out)

# 分成训练/测试
et_ut = int(0.05*X.shpe[0]) 
X_tain, X_est, ytrain, y_tst = X[:-tetaont], X[-tes_ont:], y[:-tstmunt], y[-es_unt:]

图片

训练模型

这利用了长期短期记忆算法。

# 实例化和训练模型
print
model = cre_odel(n_tps_in, n_tep_out, n_feures, lerig_rate=0.0001)

图片

图片

探索预测

%%time
#加载特定的模型

model = lod_id_del(
                           n_stepin, 
                           n_sep_out, 
                           X_tan.shape[2])

图片

# 展示对一个样本的预测
testle_ix = 0
yat = mdel.predict(X_tet[est_amle_ix].reshape((1,n_sep_in, nfatues)),erbose=Tue)

图片

# 计算这一个测试样本的均方根误差
rmse = math.sqrt

图片

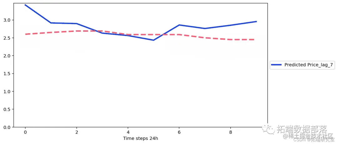
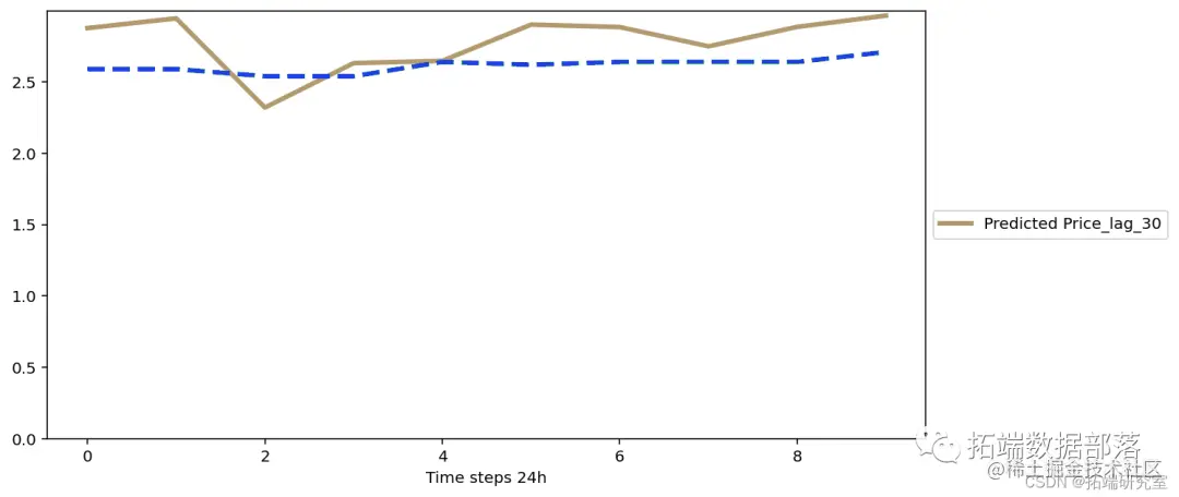
plot_result(yhat[0], scaler, saved_columns)

图片

图片

图片


点击标题查阅往期内容

图片

Python对商店数据进行lstm和xgboost销售量时间序列建模预测分析

图片

左右滑动查看更多

图片

01

图片

02

图片

03

图片

04

图片

平均 RMSE

# 收集所有的测试RMSE值
rmesores = []
for i in range:
    yhat = oel.predict(Xtet[i].reshape((1, _stes_in, _faues)), verbose=False)
    # 计算这一个测试样本的均方根误差
    rmse = math.sqrt(mensqaerror(yhat[0], y_test[i]))

图片

训练整个数据集

#在所有数据上实例化和训练模型
modl_l = cret_mel(nsep_in, steps_ou, n_etures,learnnrate=0.0001)
mde_all, ru_ime, weighfie = trin(md_all, X, y, batcsie=16, neohs=15)

图片

图片

样本内预测

注意:模型已经“看到”或训练了这些样本,但我们希望确保它与预测一致。如果它做得不好,模型可能会欠拟合或过拟合。要尝试的事情:

  • 增加或减少批量大小
  • 增加或减少学习率
  • 更改网络中 LSTM 的隐藏层数
# 获得10个步
da_cent = dfret.iloc[-(ntes_in*2):-nsps_in]

# 标准化
dta_ectormed = sclr.rasfrm(daareent)

# 维度变成[样本数、步骤、特征]
n_res = dtcentorm.shape[1]
X_st = data_recn_trsrd.reshape((1, n_tps_n, n_feares))

# 预测
foecst = mlll.predict(X_past)

# 扩大规模并转换为DF
forcast = forast.resape(n_eaturs))
foect = saer.inese_transform(forecast)
fuure_dtes  df_targe.ide[-n_steps_out:] 

# 绘图
histrcl = d_aet.ioc[-100:, :1# 获得历史数据的X步回溯
for i in ane(oisae[1]):
    fig = plt.igre(fgze=(10,5))
    
    # 绘制df_agg历史数据
    plt.plot(.iloc[:,i]
    
    # 绘制预测图
    plt.plot(frc.iloc[:,i])

    # 标签和图例
    plt.xlabel

图片

预测样本外

# 获取最后10步
dtareent = dfargt.iloc[-nstpsin:]。

# 标准化
dta_ecntranfomed = scaler.trasorm(data_recent)


# 预测
forct = meall.rict(_past)

# 扩大规模并转换为DF
foreast = foecs.eshape(_seps_ut, n_eatures))
foreast = sclerinvers_tranorm(focast)
futur_daes = pd.daternge(df_argetinex[-1], priods=step_out, freq='D')


# 绘图
htrical = df_taet.iloc[-100:, :1# 获得历史数据的X步回溯
# 绘制预测图
    plt.plot(fectoc[:,i])

图片


图片

点击文末 “阅读原文”

获取全文完整资料。

本文选自《PYTHON用KERAS的LSTM神经网络进行时间序列预测天然气价格例子》。

点击标题查阅往期内容

Python对商店数据进行lstm和xgboost销售量时间序列建模预测分析
Matlab用深度学习长短期记忆(LSTM)神经网络对文本数据进行分类
RNN循环神经网络 、LSTM长短期记忆网络实现时间序列长期利率预测
结合新冠疫情COVID-19股票价格预测:ARIMA,KNN和神经网络时间序列分析
深度学习:Keras使用神经网络进行简单文本分类分析新闻组数据
用PyTorch机器学习神经网络分类预测银行客户流失模型
PYTHON用LSTM长短期记忆神经网络的参数优化方法预测时间序列洗发水销售数据
Python用Keras神经网络序列模型回归拟合预测、准确度检查和结果可视化
Python用LSTM长短期记忆神经网络对不稳定降雨量时间序列进行预测分析
R语言中的神经网络预测时间序列:多层感知器(MLP)和极限学习机(ELM)数据分析报告
R语言深度学习:用keras神经网络回归模型预测时间序列数据
Matlab用深度学习长短期记忆(LSTM)神经网络对文本数据进行分类
R语言KERAS深度学习CNN卷积神经网络分类识别手写数字图像数据(MNIST)
MATLAB中用BP神经网络预测人体脂肪百分比数据
Python中用PyTorch机器学习神经网络分类预测银行客户流失模型
R语言实现CNN(卷积神经网络)模型进行回归数据分析
SAS使用鸢尾花(iris)数据集训练人工神经网络(ANN)模型
【视频】R语言实现CNN(卷积神经网络)模型进行回归数据分析
Python使用神经网络进行简单文本分类
R语言用神经网络改进Nelson-Siegel模型拟合收益率曲线分析
R语言基于递归神经网络RNN的温度时间序列预测
R语言神经网络模型预测车辆数量时间序列
R语言中的BP神经网络模型分析学生成绩
matlab使用长短期记忆(LSTM)神经网络对序列数据进行分类
R语言实现拟合神经网络预测和结果可视化
用R语言实现神经网络预测股票实例
使用PYTHON中KERAS的LSTM递归神经网络进行时间序列预测
python用于NLP的seq2seq模型实例:用Keras实现神经网络机器翻译
用于NLP的Python:使用Keras的多标签文本LSTM神经网络分类