【JS每日一算法】🟨108.二叉树展开为链表(深度优先先序遍历)

225 阅读2分钟

给你二叉树的根结点 root ,请你将它展开为一个单链表:

  • 展开后的单链表应该同样使用 TreeNode ,其中 right 子指针指向链表中下一个结点,而左子指针始终为 null 。
  • 展开后的单链表应该与二叉树 先序遍历 顺序相同。

提示:

  • 树中结点数在范围 [0, 2000] 内
  • -100 <= Node.val <= 100

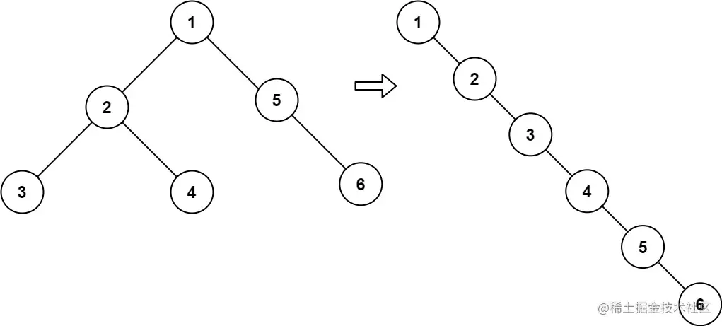
示例 1:

image.png

输入: root = [1,2,5,3,4,null,6]
输出: [1,null,2,null,3,null,4,null,5,null,6]

示例 2:

输入: root = []
输出: []

题解:

个人博客

更多JS版本题解点击链接关注该仓库👀

/**
 * @description: 深度优先先序遍历  TC:O(n)  SC:O(n)
 * @author: JunLiangWang
 * @param {*} root 给定树的根节点
 * @return {*}
 */
function dfs(root){
    /**
     * 该方案采用深度优先先序遍历的方法,由于题中
     * 说单链表的顺序为二叉树的先序遍历,且该题只
     * 能在原树结构中修改,因此我们创建一个数组,
     * 然后使用深度优先先序遍历树的节点,然后将节
     * 点push到数组中,最后我们再遍历数组将前一个
     * 元素的右节点变更为后一个元素,左节点变更为
     * 空即可。
     */

    // 如果树为空直接返回null
    if(!root)return null;
    // 记录先序遍历树的节点
    let list=[];
    /**
     * @description: 递归实现深度优先先序遍历
     * @author: JunLiangWang
     * @param {*} root 当前子树根节点
     * @return {*}
     */    
    function recursion(root){
        // 如果当前根节点为空,直接返回
        if(!root)return ;
        // 添加根节点到数组中
        list.push(root);
        // 继续递归左节点
        recursion(root.left);
        // 继续递归右节点
        recursion(root.right);
    }
    // 执行递归
    recursion(root);
    // 最后遍历数组将前一个元素的右节点变更为
    // 后一个元素,左节点变更为空。
    for(let i=1;i<list.length;i++){
        list[i-1].right=list[i];
        list[i-1].left=null;
    }
}