C语言到C++的桥梁:基本数据类型与表达方式的学习之旅(二)

127 阅读2分钟

1 基本数据与表达式

  • [1.1概述]
  • [1.2C++语言的字符集与词汇]
  • [1.3C++语言的基本数据类型与存储形式]
  • [1.4数据对象与访问]
  • [1.5表达式]
  • [1.6数据输入与输出]

通过本章内容的学习,帮助读者理解字符集与词汇,从而掌握基本数据类型与表达式。

旧识新知

指针

之前在学习C语言时候对指针一知半解,现在通过对C++的学习,对指针有了更深入的了解。

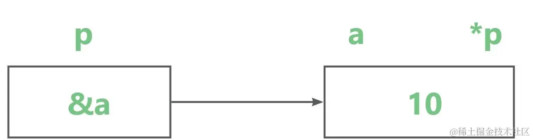
指针也有自己的内存空间,里面用来存放地址,通过地址寻找与其关联的对象,这里用代码和图帮助理解:

#include <iostream>

using namespace std;

int main()
{
	int* p;
	int a = 10;
	p = &a;
	cout << "p = " << p << endl;
	cout << "a = " << a << endl;
	cout << "*p = " << *p<< endl;
	cout << "&a = " << &a << endl;
	return 0;
}

在使用指针时,画出下图一样的关系图会更好理解。p做为存储空间名里面存储地址,这个被指针指向的空间可以做间址访问,也可以用变量名直接访问。

单目运算符和双目运算符

这与要求运算对象的个数有关,对一个对象进行运算的是单目运算符,对两个对象进行运算的是双目运算符,等等。值得记住的是单目运算符的优先级都比双目运算符高。(这里需要对优先级说明一下,在优先级中,数字大的优先级反而低,如优先级为12的比优先级为10的低。)

自增和自减

自增和自减都有前置式和后置式,在单独使用时没有任何区别。

但是当它作为子表达式时需要进行区分,如自增前置式的规则是先增值后引用,自增后置式的规则是先引用后增值。

代码举例见下:

 x = ++i;     //等价:i = i + 1;x = i;
x =  i++;     //等价:x = i;i = i + 1;

新探秘

关系运算与算术运算

在表达式中,先做算术运算,再做关系运算。

关系运算即为比较运算,结果为true(1)或false(0),代码展示见下:

	int a = 5;
	int z = a <= 6;//最好写成int z = int (a <= 6);
	cout << "z = " << z << endl; //z = 1

疑云

本次学习暂时无疑惑。