每日一题——判断是不是平衡二叉树

235 阅读2分钟

题目


输入一棵节点数为 n 二叉树,判断该二叉树是否是平衡二叉树。 在这里,我们只需要考虑其平衡性,不需要考虑其是不是排序二叉树 平衡二叉树(Balanced Binary Tree),具有以下性质:它是一棵空树或它的左右两个子树的高度差的绝对值不超过1,并且左右两个子树都是一棵平衡二叉树。 样例解释:

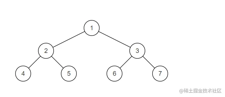
样例二叉树如图,为一颗平衡二叉树 注:我们约定空树是平衡二叉树。

数据范围:n≤100,树上节点的val值满足 0≤n≤1000

要求:空间复杂度O(1),时间复杂度 O(n)

参数说明:二叉树类,二叉树序列化是通过按层遍历,#代表这这个节点为空节点,举个例子:

  1
 / \
2   3
   /
  4

以上二叉树会被序列化为 {1,2,3,#,#,4}

示例1

输入:
{1,2,3,4,5,6,7}
返回值:
true

示例2

输入:
{}
返回值:
true

思路


  • 用递归的方法计算每个节点的深度(节点深度=左右子树深度最大值+1)。
  • 判断节点左右子树深度的差值是否大于1,大于1则不是平衡的。
  • 同时递归判断左右子树也得是平衡的。
  • 这个算法还有一个优化的思路是:递归的函数判断是否平衡的同时返回节点的深度(解法略)。

解答代码


/**
 * struct TreeNode {
 *	int val;
 *	struct TreeNode *left;
 *	struct TreeNode *right;
 *	TreeNode(int x) : val(x), left(nullptr), right(nullptr) {}
 * };
 */
#include <algorithm>
class Solution {
public:
    /**
     * @param pRoot TreeNode类 
     * @return bool布尔型
     */
    bool IsBalanced_Solution(TreeNode* pRoot) {
        // write code here
        if (pRoot == nullptr) {
            return true;
        }

        auto left_depth = Depth(pRoot->left);
        auto right_depth = Depth(pRoot->right);

        // 左右子树深度相差大于1
        if (left_depth - right_depth > 1 || right_depth - left_depth > 1) {
            return false;
        }

        // 同时左右子树也都得是平衡二叉树
        return IsBalanced_Solution(pRoot->left) && IsBalanced_Solution(pRoot->right);
    }

    int Depth(TreeNode* pRoot) {
        if (pRoot == nullptr) {
            return 0;
        }

        auto left_depth = Depth(pRoot->left);
        auto right_depth = Depth(pRoot->right);

        // 根的深度是子树最大深度+1
        return max(left_depth+1, right_depth+1);
    }
};