三维海浪模型建模与matlab仿真,并在海浪中加入浮标

135 阅读5分钟

1.算法理论概述

一、引言

       海洋工程是一门涉及海洋环境、海洋结构、海洋资源等多个方面的综合性学科。其中,海浪是海洋环境中一种重要的自然现象,对海洋工程设计和运营具有重要影响。本文将介绍如何使用三维海浪模型建模,并在海浪中加入浮标。

 

二、三维海浪模型建模

       三维海浪模型是一种用于模拟海浪运动的数学模型。在建模过程中,需要考虑海浪的传播、反射、折射等多种现象。通常使用频域方法或时域方法来解决三维海浪模型中的数学方程。

 

频域方法

       频域方法是一种将时间域问题转化为频域问题进行求解的方法。在三维海浪模型中,可以使用频域方法来解决海浪波浪方程和边界条件,得到海浪的频域响应。通常使用快速傅里叶变换(FFT)来实现频域方法的计算。

 

时域方法

      时域方法是一种直接在时间域内求解问题的方法。在三维海浪模型中,可以使用时域方法来求解海浪波浪方程和边界条件,得到海浪的时域响应。通常使用有限差分法(FDM)或有限元法(FEM)来实现时域方法的计算。

 

三维海浪模型实现步骤

三维海浪模型的实现步骤如下:

 

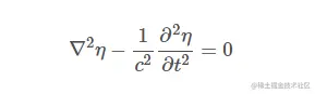
(1)定义海浪波浪方程

 

       海浪波浪方程是描述海浪运动的数学方程,可以根据波动理论和海洋动力学原理得到。通常使用线性波动理论来描述海浪波浪方程,其数学形式为:

 

db778b17f50bbe090834513eadaf41a3_82780907_202308212001510865768856_Expires=1692619911&Signature=kxK3Tol1qqACYN4aFdPthzxOhjI%3D&domain=8.png

 

其中,η\eta表示海面高度,cc表示波速。

 

(2)定义边界条件

 

        边界条件是指海浪与海洋结构之间的交界面,需要满足能量守恒和动量守恒等物理原理。通常使用边界元法或边界积分方程法来求解边界条件。

 

(3)求解海浪频谱

 

       海浪频谱是指海浪的频率和振幅的分布情况,可以使用线性波动理论和频域方法来求解海浪频谱。通常使用FFT来计算海浪频谱。

 

(4)求解海浪时域响应

 

       海浪时域响应是指海浪在时间上的波动情况,可以使用线性波动理论和时域方法来求解海浪时域响应。通常使用FDM或FEM来计算海浪时域响应。

 

三、在海浪中加入浮标

       在海浪中加入浮标可以模拟浮标的运动和受力情况,对海洋工程设计和运营具有重要意义。在进行浮标模拟时,需要考虑浮标的运动方程和受力情况。

 

 浮标运动方程

       浮标运动方程是描述浮标在海浪中运动的数学方程,可以根据牛顿第二定律和海洋动力学原理得到。通常使用受力平衡方程和运动方程来描述浮标的运动情况,其数学形式为:

 

27d4d63601e4954a20e074d3419e4121_82780907_202308212002490428609484_Expires=1692619969&Signature=ZqsxIXHyKzRvFrgKx%2F%2FmOwyO9KQ%3D&domain=8.png

 

       其中,mm表示浮标的质量,r\mathbf{r}表示浮标的位置矢量,g\mathbf{g}表示重力加速度,Fd\mathbf{F}_d表示浮力,Fs\mathbf{F}_s表示浮标所受的风力和水流力等额外作用力。

 

浮标受力情况

       浮标在海浪中所受的力包括浮力、阻力、摩擦力、风力和水流力等。其中,浮力和阻力是影响浮标运动最主要的因素。

 

       浮力是指浮标所受的水的作用力,其大小与浮标在水中的体积和密度有关,可以根据阿基米德原理求解。阻力是指浮标在水中运动时与水的摩擦力,其大小与浮标运动速度、水的粘性和浮标表面积有关,可以根据流体力学原理求解。风力和水流力等额外作用力可以根据相关物理原理求解。

 

浮标模拟步骤

在海浪中加入浮标的模拟步骤如下:

 

(1)根据浮标的几何形状和物理性质计算浮标的质量、体积和浮力。

 

(2)利用三维海浪模型计算海浪波浪方程和边界条件,得到海浪的频谱和时域响应。

 

(3)将浮标的运动方程和受力情况与海浪的时域响应相结合,求解浮标在海浪中的运动情况。通常使用数值积分方法(如欧拉法或龙格-库塔法)来求解浮标的运动方程。

 

(4)根据浮标的运动情况,计算浮标所受的阻力、摩擦力、风力和水流力等额外作用力。

 

(5)根据浮标所受的各种力,更新浮标的运动状态和位置,进行下一步的模拟计算。

 

2.算法运行软件版本

MATLAB2013b

 

3.算法运行效果图预览

47a226c4cd2bfe4e28d4c5b0be12f091_82780907_202308212003360131377678_Expires=1692620016&Signature=9P9xv%2BP4aa%2B7y3OPYuaeNRulqvM%3D&domain=8.jpeg  

abc673f4bbb61c023b0a30a31b0c70ed_82780907_202308212003360272301870_Expires=1692620016&Signature=pK0s%2FEKIihbp2UP3h1EKD1ASbnw%3D&domain=8.jpeg 4.部分核心程序 `%模块1:底部圆柱

    %模块1:底部圆柱  

    t  =  0:pi/20:2*pi;

    RR =  3.5;

    x  =  50+RR*sin(t)/kx;

    y  =  50+RR*cos(t)/ky;

    z  =  linspace(-2.3,-1.8,length(t))/kz + OW;

    X  =  meshgrid(x);

    Y  =  meshgrid(y);

    Z  = [meshgrid(z)]';

    surf(X,Y,Z);

    hold on;

    %模块2:四个圆柱形支架

    %模块2:四个圆柱形支架

    delta = 0.13;

    for i = 1:18

        EX =  1.5;

        t  =  0:pi/20:2*pi;

        RR =  0.5;

        x  =  50+RRsin(t)/kx+EX/kx + idelta/kx;

        y  =  50+RRcos(t)/ky+EX/ky + idelta/ky;

        z  =  linspace(-1.8+(i-1)0.1,-1.8+i0.1,length(t))/kz + OW;

        X  =  meshgrid(x) ;

        Y  =  meshgrid(y);

        Z  = [meshgrid(z)]';

        surf(X,Y,Z);

        hold on;

    end

 

    for i = 1:18

        EX =  1.5;

        t  =  0:pi/20:2*pi;

        RR =  0.5;

        x  =  50+RRsin(t)/kx+EX/kx + idelta/kx;

        y  =  50+RRcos(t)/ky-EX/ky - idelta/ky;

        z  =  linspace(-1.8+(i-1)0.1,-1.8+i0.1,length(t))/kz + OW;

        X  =  meshgrid(x) ;

        Y  =  meshgrid(y);

        Z  = [meshgrid(z)]';

        surf(X,Y,Z);

        hold on;

    end

    for i = 1:18

        EX =  1.5;

        t  =  0:pi/20:2*pi;

        RR =  0.5;

        x  =  50+RRsin(t)/kx-EX/kx - idelta/kx;

        y  =  50+RRcos(t)/ky+EX/ky + idelta/ky;

        z  =  linspace(-1.8+(i-1)0.1,-1.8+i0.1,length(t))/kz + OW;

        X  =  meshgrid(x) ;

        Y  =  meshgrid(y);

        Z  = [meshgrid(z)]';

        surf(X,Y,Z);

        hold on;

    end

 

    for i = 1:18

        EX =  1.5;

        t  =  0:pi/20:2*pi;

        RR =  0.5;

        x  =  50+RRsin(t)/kx-EX/kx - idelta/kx;

        y  =  50+RRcos(t)/ky-EX/ky - idelta/ky;

        z  =  linspace(-1.8+(i-1)0.1,-1.8+i0.1,length(t))/kz + OW;

        X  =  meshgrid(x) ;

        Y  =  meshgrid(y);

        Z  = [meshgrid(z)]';

        surf(X,Y,Z);

        hold on;

    end`