R语言神经网络模型预测多元时间序列数据可视化|附代码数据

322 阅读4分钟

全文链接:tecdat.cn/?p=32198

最近我们被客户要求撰写关于神经网络的研究报告,包括一些图形和统计输出。

多元时间序列建模一直是吸引了来自经济,金融和交通等各个领域的研究人员的主题 点击文末“阅读原文”获取完整代码数据******** )。

多元时间序列预测的一个基本假设是,其变量相互依赖。

在本文中,我们专门针对客户的多元时间序列数据设计了神经网络框架,拟合单隐层神经网络,可能存在跳跃层连接。

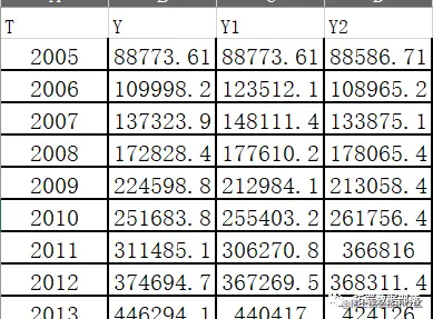
查看数据

图片

其中Y为因变量,时间、Y1、Y2为自变量。

读取数据

data=read.xlsx("my data.xlsx")  
  
head(data)

图片

建立神经网络模型

建立单隐藏层神经网络,size参数可以确定隐藏层的节点数量,maxit控制迭代次数。

require(nnet)

## Loading required package: nnet

 #设置因变量  
  y=data$Y  
#  y<-data.frame((y-min(y))/(max(y)-min(y)))  
 names(y)<-'y'

图片

绘制拟合数据

图片


点击标题查阅往期内容

图片

【视频】Python用LSTM长短期记忆神经网络对不稳定降雨量时间序列进行预测分析|数据分享

图片

左右滑动查看更多

图片

01

图片

02

图片

03

图片

04

图片

预测未来的20年数据


foreY1=0  
   
   foreY1=predict(mod2,data.frame(T=foreyear)  )

预测新变量


datanew= data.frame(T=foreyear,Y1=foreY1,Y2=foreY2)

图片

绘制未来20年的时间序列

pre=ts(pre,start = c(2015),f=1)
 
###############################绘制未来20年的时间序列
plot(pre, axes = F,col=2,type="l")
axis(side = 1 ,col=10)

图片


图片

点击文末 “阅读原文”

获取全文完整代码数据资料。

本文选自《R语言神经网络模型预测多元时间序列数据可视化》。

点击标题查阅往期内容

深度学习实现自编码器Autoencoder神经网络异常检测心电图ECG时间序列spss modeler用决策树神经网络预测ST的股票
Python中TensorFlow的长短期记忆神经网络(LSTM)、指数移动平均法预测股票市场和可视化
RNN循环神经网络 、LSTM长短期记忆网络实现时间序列长期利率预测
结合新冠疫情COVID-19股票价格预测:ARIMA,KNN和神经网络时间序列分析
深度学习:Keras使用神经网络进行简单文本分类分析新闻组数据
用PyTorch机器学习神经网络分类预测银行客户流失模型
PYTHON用LSTM长短期记忆神经网络的参数优化方法预测时间序列洗发水销售数据
Python用Keras神经网络序列模型回归拟合预测、准确度检查和结果可视化
R语言深度学习卷积神经网络 (CNN)对 CIFAR 图像进行分类:训练与结果评估可视化
深度学习:Keras使用神经网络进行简单文本分类分析新闻组数据
Python用LSTM长短期记忆神经网络对不稳定降雨量时间序列进行预测分析
R语言深度学习Keras循环神经网络(RNN)模型预测多输出变量时间序列
R语言KERAS用RNN、双向RNNS递归神经网络、LSTM分析预测温度时间序列、 IMDB电影评分情感
Python用Keras神经网络序列模型回归拟合预测、准确度检查和结果可视化
Python用LSTM长短期记忆神经网络对不稳定降雨量时间序列进行预测分析
R语言中的神经网络预测时间序列:多层感知器(MLP)和极限学习机(ELM)数据分析报告
R语言深度学习:用keras神经网络回归模型预测时间序列数据
Matlab用深度学习长短期记忆(LSTM)神经网络对文本数据进行分类
R语言KERAS深度学习CNN卷积神经网络分类识别手写数字图像数据(MNIST)
MATLAB中用BP神经网络预测人体脂肪百分比数据
Python中用PyTorch机器学习神经网络分类预测银行客户流失模型
R语言实现CNN(卷积神经网络)模型进行回归数据分析
SAS使用鸢尾花(iris)数据集训练人工神经网络(ANN)模型
【视频】R语言实现CNN(卷积神经网络)模型进行回归数据分析
Python使用神经网络进行简单文本分类
R语言用神经网络改进Nelson-Siegel模型拟合收益率曲线分析
R语言基于递归神经网络RNN的温度时间序列预测
R语言神经网络模型预测车辆数量时间序列
R语言中的BP神经网络模型分析学生成绩
matlab使用长短期记忆(LSTM)神经网络对序列数据进行分类
R语言实现拟合神经网络预测和结果可视化
用R语言实现神经网络预测股票实例
使用PYTHON中KERAS的LSTM递归神经网络进行时间序列预测
python用于NLP的seq2seq模型实例:用Keras实现神经网络机器翻译
用于NLP的Python:使用Keras的多标签文本LSTM神经网络分类