Go语言是怎么完成编译的 | 青训营

161 阅读4分钟

预备知识

想要深入了解Go语言的编译过程,需要提前了解一下编译过程中涉及的一些术语和专业知识。

1) 抽象语法树

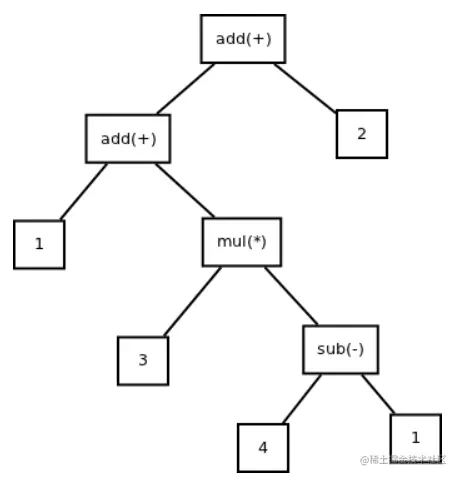
抽象语法树是源代码语法结构的一种抽象表示。它以树状的形式表现编程语言的语法结构,树上的每个节点都表示源代码中的一种结构。因为这里的语法并不会表示出真实语法中出现的每个细节。比如,嵌套括号被隐含在树的结构中,并没有以节点的形式呈现。而类似于 if else 这样的条件判断语句,可以使用带有两个分支的节点来表示。 比如算术表达式 1+3*(4-1)+2

image.png

2) 静态单赋值

静态单赋值形式(static single assignment form,通常简写为 SSA form 或是 SSA)是中介码(IR,intermediate representation)的属性,它要求每个变量只分配一次,并且变量需要在使用之前定义。

3) 指令集架构

又称指令集或指令集体系,是计算机体系结构中与程序设计有关的部分,包含了基本数据类型,指令集,寄存器,寻址模式,存储体系,中断,异常处理以及外部 I/O。指令集架构包含一系列的 opcode 即操作码(机器语言),以及由特定处理器执行的基本命令。指令集架构常见种类如下:

复杂指令集运算(Complex Instruction Set Computing,简称 CISC); 精简指令集运算(Reduced Instruction Set Computing,简称 RISC); 显式并行指令集运算(Explicitly Parallel Instruction Computing,简称 EPIC); 超长指令字指令集运算(VLIW)。 不同的处理器(CPU)使用了大不相同的机器语言,所以我们的程序想要在不同的机器上运行,就需要将源代码根据架构编译成不同的机器语言。

编译原理

Go语言编译器的源代码在 cmd/compile 目录中,目录下的文件共同构成了Go语言的编译器,学过编译原理的人可能听说过编译器的前端和后端,编译器的前端一般承担着词法分析、语法分析、类型检查和中间代码生成几部分工作,而编译器后端主要负责目标代码的生成和优化,也就是将中间代码翻译成目标机器能够运行的机器码。 Go的编译器在逻辑上可以被分成四个阶段:词法与语法分析、类型检查和 AST 转换、通用 SSA 生成和最后的机器代码生成,下面我们来分别介绍一下这四个阶段做的工作。

编译器入口

Go语言的编译器入口是 src/cmd/compile/internal/gc 包中的 main.go 文件,这个 600 多行的 Main 函数就是Go语言编译器的主程序,这个函数会先获取命令行传入的参数并更新编译的选项和配置,随后就会开始运行 parseFiles 函数对输入的所有文件进行词法与语法分析得到文件对应的抽象语法树:

func Main(archInit func(*Arch)) { // …

lines := parseFiles(flag.Args())

接下来就会分九个阶段对抽象语法树进行更新和编译,就像我们在上面介绍的,整个过程会经历类型检查、SSA 中间代码生成以及机器码生成三个部分:

检查常量、类型和函数的类型; 处理变量的赋值; 对函数的主体进行类型检查; 决定如何捕获变量; 检查内联函数的类型; 进行逃逸分析; 将闭包的主体转换成引用的捕获变量; 编译顶层函数; 检查外部依赖的声明; 编译器会对生成语法树中的节点执行类型检查,除了常量、类型和函数这些顶层声明之外,它还会对变量的赋值语句、函数主体等结构进行检查,类型检查会对传入节点的子节点进行遍历,这个过程会对 make 等关键字进行展开和重写,类型检查结束之后并没有输出新的数据结构,只是改变了语法树中的一些节点,同时这个过程的结束也意味着源代码中已经不存在语法错误和类型错误,中间代码和机器码也都可以正常的生成了。在主程序运行的最后,会将顶层的函数编译成中间代码并根据目标的 CPU 架构生成机器码,不过这里其实也可能会再次对外部依赖进行类型检查以验证正确性。

小结

Go语言的编译过程其实是非常有趣并且值得学习的,通过对Go语言四个编译阶段的分析和对编译器主函数的梳理,我们能够对 Golang 的实现有一些基本的理解,掌握编译的过程之后,Go语言对于我们来讲也不再那么神秘,所以学习其编译原理的过程还是非常重要的。