目录
最小二乘法
代价函数个线性拟合的关系
最小二乘法是最大似然估计得特殊情况
线性回归是什么
线性回归主要用来解决回归问题,也就是预测连续值的问题。而能满足这样要求的数学模型被称为“回归模型”。最简单的线性回归模型是我们所熟知的一次函数(即 y=kx+b),这种线性函数描述了两个变量之间的关系,其函数图像是一条连续的直线。如下图蓝色直线:
图1:线性连续函数
还有另外一种回归模型,也就是非线性模型(nonlinear model),它指因变量与自变量之间的关系不能表示为线性对应关系(即不是一条直线),比如我们所熟知的对数函数、指数函数、二次函数等。
图2:非线性连续函数
我们知道“线性回归”就是利用线性模型来解决“回归问题”,那到底什么是回归问题呢?你可以把它理解为“预测”真实值的过程。
在《三国演义》中有一个非常精彩的片段“七星坛诸葛祭风”说的是诸葛亮借东风的故事。其实我们抛开历史,单从科学角度出发,诸葛亮借东风就是一个“回归问题”。首先诸葛亮需要掌握大量的天文地理知识,并凭借自己的知识对以往的天气数据进行大量研究,最后才能预测某个时间将有“东风来临”。这种相似的回归问题,在实际生活中我们经常遇到,比如根据历史行情预测股票走势、预测房屋售价以及电影票房预估等等,而要实现这些预测就需要大量的“历史数据”作为支撑点。
在上述讲解过程中,我们反复提起“预测”与“历史数据”,既然是预测,那么就不能说它是 100 % 精确,所以线性回归只是无限地逼近“真实值”,而这个逼近的过程需要大量“历史数据”提供支持。因此线性回归就是利用线性模型来“预测”真实值的过程。
线性回归方程
那么线性回归是如何实现预测的呢?其实主要是通过“线性方程”,或叫“回归方程”来实现。下面列举一个简单的例子,现有以下一组数据:
| 输入 | 输出 |
|---|---|
| 1 | 2 |
| 2 | 4 |
| 3 | 6 |
| ... | ... |
| 9 | ? |
根据上表中的规律预测出 9 所对应的输出值,并写出线性方程。这个示例是不是非常简单,我们很容易想到 9 对应的是“18”,这是一道小学生都能解出来题,但请您不要小看这么一个简单的示例,它同样说明了很多问题。线性方程如下所示:
Y=2*X
在上述线程方程中2代表权值参数,而求这个参数的过程就是“回归”,一旦有了这个参数,再给定输入,做预测就非常容易了。具体的做法就是用回归系数乘以输入值,这样就得到了预测值。上述示例的预测函数(或称假设函数)可记为:
y = w1x + b
在前面介绍专业术语时,我们提起过“假设函数”,上述函数就是线性模型的“假设函数”。其中 x 表示输入的样本数据,y 表示输出的预测结果,而 w1 指的是线性回归模型的权值参数,b 指的是线性回归模型的“偏差值”。解决线性回归问题的关键就在于求出权值参数、偏差值。
权值,可理解为个不同“特征”对于预测结果的重要性。权值系数越大,那么这一项属性值对最终结果的影响就越大。
在实际应有中,线性回归模型要更复杂一些,比如要分析实际特征值对结果影响程度的大小,从而调整相应特征值的回归系数。下面举一个简单的应用示例:
现在要判断一个西瓜是否是成熟,根据我们的日常经验可从以下几个特征来判断:外表色泽(x)、根蒂(y)、敲声(z)。而以上三个特征所占用的权值参数也不同。如下所示:
y = 0.2x1 + 0.5x2 + 0.3 x3 + 1
上述表达式可以看出每一个特征值对预测结果的影响程度不同,根蒂是否“枯萎”对结果影响最大,而外表色泽是否鲜亮,敲声是否沉闷则占据次要因素。
当然采集数据的时也会存在一些无用数据,比如西瓜的外形、价格,这些特征不会对预测结果产生影响,因此它们权值参数为“0”。从这个例子可以得出“权值参数”是决定预测结果是否准确的关键因素。
实现预测的流程
下面通过一个具体实例讲解线性回归预测的具体流程。
1) 数据采集
任何模型的训练都离不开数据,因此收集数据构建数据集是必不可少的环节。比如现在要预测一套房子的售价,那么你必须先要收集周围房屋的售价,这样才能确保你预测的价格不会过高,或过低。如下表所示:
图3:数据集样本
当然上述样本数量远远不足,如果想要更加准确的预测就要收集更多的数据,至少保证 100 条样本。表格中的最后一栏是“房屋售价”,这是“有监督学习”的典型特点,被称为 “标签” 也就是我们所说的“参考答案”。表格中的面积、数量、距离市中心距离(km),以及是否是学区房,这些都是影响最终预测结果的相关因素,我们称之为“特征”,也叫“属性”。
你可能会认为影响房屋售价的不止这些因素,没错,不过采集数据是一个很繁琐的过程,因此一般情况下,我们只选择与预测结果密切相关的重要“特征”。
2) 构建线性回归模型
有了数据以后,下一步要做的就是构建线性回归模型,这也是最为重要的一步,这个过程会涉及到一些数学知识,至于如何构建模型,下一节会做详细介绍。
构建完模型,我们需要对其进行训练,训练的过程就是将表格中的数据以矩阵的形式输入到模型中,模型则通过数学统计方法计算房屋价格与各个特征之间关联关系,也就是“权值参数”。训练完成之后,您就可以对自己的房屋价格进行预测了。首先将数据按照“特征值”依次填好,并输入到模型中,最后模型会输出一个合理的预测结果。示意图如下所示:
构建线性回归模型
本节讲解如何构建线性回归算法中的“线性模型”,所谓“线性”其实就是一条“直线”。因此,本节开篇首先普及一下初中的数学知识“一次函数”。
一次函数
一次函数就是最简单的“线性模型”,其直线方程表达式为y = kx + b,其中 k 表示斜率,b 表示截距,x 为自变量,y 表示因变量。下面展示了 y = 2x + 3 的函数图像:
图1:函数图像y=2x+3
函数中斜率 k 与 截距 b 控制着“直线”的“旋转”与“平移”。如果斜率 k 逐渐减小,则“直线”会向着“顺时针”方向旋转,为 k= 0 的时候与 x 轴平行。截距 b 控制“直接”的上下平移,b 为正数则向上平移,b 为负数则表示向下平移。
在机器学习中斜率 k 通常用 w 表示,也就是权重系数,因此“线性方程”通过控制 w 与 b 来实现“直线”与数据点最大程度的“拟合”。如下图(黑色 x 号代表数据样本)所示:
图2:线性拟合
线性方程不能完全等同于“直线方程”,因为前者可以描述多维空间内直接,而后者只能描述二维平面内的 x 与 y 的关系。
构建线性模型
在线性回归问题中数据样本会呈现“线性”分布的态势,因此我们使用“线性方程”来最大程度的“拟合数据”。线性方程预测的结果具有连续性,下面通过示例简单说明:小亮今年 8 岁,去年 7 岁,前年 6 岁,那么他明年几岁呢?估计你闭着眼都能想到答案,但是我们要从机器学习的角度去看待这个问题。
首先年龄、时间是一组连续性的数据,也就是因变量随着自变量规律性地连续增长,显然它是一个“回归问题”。下面把上述数据以二维数组的形式表示出来,构建一个数据集,如下所示:
[[2021,8],
[2020,7],
[2019,6]]
我们知道两个点就可以确定一条“直线”,因此将两组数据带入 y = kx + b,最终求得“线程方程”:
y = x - 2013
上述函数就是所谓的“假设函数”,通过它即可实现对结果的预测。这个函数的图像如下所示:
图3:假设函数图像
从上述函数图像可以看出,直线对数据样本恰好“拟合”。这是最标准的拟合直线,通过它就可以“预测”出小亮明年的年龄了。上述示例就构建了一个简单的的“线性模型”。读到这里你会惊叹“怎么如此简单”,其实线性模型就是这么简单。对于机器学习而言,最关键的就是“学习”,在大量的数据中,通过不断优化参数,找到一条最佳的拟合“直线”,最终预测出一个理想的结果。
通过前面内容的介绍,我相信你对线性回归算法已经有了初步的认识。那我们应该如何在一大堆数据中求解出“线性方程呢”比如前面提及的房价预测问题?这种问题才是符合实际应用的。数据样本会散落在“线性方程”的周围(下图 2 所示), 而我们要做就是让线性方程的“直线”尽可能“拟合”周围的数据点。本节我们将从数学角度解析线性回归模型。
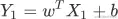
假设函数
通过前面知识的学习,我们知道假设函数是用来预测结果的。前面讲述时为了让大家更容易理解“线性回归”,我们以“直线方程”进行了类比讲解,然而线性方程并不等同于“直线方程”,线性方程描绘的是多维空间内的一条“直线”,并且每一个样本都会以向量数组的形式输入到函数中,因此假设函数也会发生一些许变化,函数表达式如下所示:
乍一看你可能蒙圈了,记住不用紧张。其实它和 Y=wX + b 是类似的,只不过我们这个标量公式换成了向量的形式。如果你已经学习了 《NumPy 教程》,那么这个公司很好理解,Y1仍然代表预测结果, X1表示数据样本, b表示用来调整预测结果的“偏差度量值”,而wT表示权值系数的转置。矩阵相乘法是一个求两个向量点积的过程,也就是按位相乘,然后求和,如下所示:
图1:矩阵乘法运算
矩阵 A 的每一行分别与矩阵 B 的每一列相乘,比如 1*5+2*5+3*7 =36 、1*2+2*6+3*6=32、1*6+2*7+3*4=32,即可得出结果的第一行数据。
转置操作的目的是为了保证第一个矩阵的列数(column)和第二个矩阵的行数(row)相同,只有这样才能做矩阵乘法运算。
您也可以将假设函数写成关于 x 的函述表达式,如下所示:
损失函数
我们知道,在线性回归模型中数据样本散落在线性方程的周围,如下图所示:
图2:线性回归模型
损失函数就像一个衡量尺,这个函数的返回值越大就表示预测结果与真实值偏差越大。其实计算单个样本的误差值非常简单,只需用预测值减去真实值即可:
单样本误差值 = Y1 - Y
但是上述方法只适用于二维平面的直线方程。在线性方程中,要更加复杂、严谨一些,因此我们采用数学中的“均方误差”公式来计算单样本误差:
公式是求“距离”因此要使用平方来消除负数,分母 2 代表样本的数量,这样就求得单样本误差值。当我们知道了单样本误差,那么总样本误差就非常好计算了:
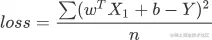
最后,将假设函数带入上述损失函数就会得到一个关于 w 与 b 的损失函数(loss),如下所示:
在机器学习中使用损失函数的目的,是为了使用“优化方法”来求得最小的损失值,这样才能使预测值最逼近真实值。
在上述函数中 n、Y、X1 都是已知的,因此只需找到一组 w 与 b 使得上述函数取得最小值即可,这就转变成了数学上二次函数求极值的问题,而这个求极值的过程也就我们所说的“优化方法”。