什么是数组存储结构

250 阅读13分钟

目录

什么是数组存储结构

数组的顺序存储(C语言版)

多维数组查找指定元素

对称矩阵

上(下)三角矩阵

稀疏矩阵

矩阵压缩存储的 3 种方式


什么是数组存储结构

前面学习数据结构的过程中,总是使用数组作为顺序表的底层实现,给我们一种 "数据结构中,数组的作用就是实现顺序表" 的错误认识。其实,数组的作用远不止于此。

本节将从数据结构的角度讲解数组存储结构。

本节所讲的数组,要将其视为一种存储结构,与平时使用的数组基本数据类型区分开。

一说起数组,我们的印象中数组往往是某一门编程语言中包含的具体数据类型,其实不然。

从本质上讲,数组与顺序表、链表队列一样,都用来存储具有 "一对一" 逻辑关系数据的线性存储结构。只因各编程语言都默认将数组作为基本数据类型,使初学者对数组有了 "只是基本数据类型,不是存储结构" 的误解。

不仅如此,数组和其他线性存储结构不同,顺序表、链表、栈和队列存储的都是不可再分的数据元素(如数字 5、字符 'a' 等),而数组既可以用来存储不可再分的数据元素,也可以用来存储像顺序表、链表这样的数据结构。

比如说,数组可以直接存储多个顺序表。我们知道,顺序表的底层实现还是数组,因此等价于数组中继续存储数组。这与平时使用的二维数组类似。

根据数组中存储数据之间逻辑结构的不同,数组可细分为一维数组、二维数组、...、n 维数组:

  • 一维数组,指的是存储不可再分数据元素的数组,如图 1 所示;


    一维数组存储结构示意图


    图 1 一维数组存储结构示意图

  • 二维数组,指的存储一维数组的一维数组,如图 2 所示;


    二维数组存储结构示意图


    图 2 二维数组存储结构示意图

  • n 维数组,指的是存储 n-1 维数组的一维数组;

注意,无论数组的维数是多少,数组中的数据类型都必须一致。

由此,我们可以得出这样一个结论,一维数组结构是线性表的基本表现形式,而 n 维数组可理解为是对线性存储结构的一种扩展。

数组的顺序存储(C语言版)

数组作为一种线性存储结构,对存储的数据通常只做查找和修改操作,因此数组结构的实现使用的是顺序存储结构

要知道,对数组中存储的数据做插入和删除操作,算法的效率是很差的。

由于数组可以是多维的,而顺序存储结构是一维的,因此数组中数据的存储要制定一个先后次序。通常,数组中数据的存储有两种先后存储方式:

  1. 以列序为主(先列后行):按照行号从小到大的顺序,依次存储每一列的元素
  2. 以行序为主(先行后序):按照列号从小到大的顺序,依次存储每一行的元素。


多维数组中,我们最常用的是二维数组。比如说,当二维数组 a[6][6] 按照列序为主的次序顺序存储时,数组在内存中的存储状态如图 1 所示:


图 1 以列序为主的二维数组存储状态


同样,当二维数组 a[6][6] 按照行序为主的次序顺序存储时,数组在内存中的存储状态如图 2 所示:


图 2 以行序为主的二维数组存储状态

C 语言中,多维数组的存储采用的是以行序为主的顺序存储方式。

通过以上内容,我们掌握了将多维数组存储在一维内存空间的方法。那么,后期如何对指定的数据进行查找和修改操作呢?

多维数组查找指定元素

当需要在顺序存储的多维数组中查找某个指定元素时,需知道以下信息:

  • 多维数组的存储方式;
  • 多维数组在内存中存放的起始地址;
  • 该指定元素在原多维数组的坐标(比如说,二维数组中是通过行标和列标来表明数据元素的具体位置的);
  • 数组中数组的具体类型,即数组中单个数据元素所占内存的大小,通常用字母 L 表示;


根据存储方式的不同,查找目标元素的方式也不同。如果二维数组采用以行序为主的方式,则在二维数组 anm 中查找 aij 存放位置的公式为:

LOC(i,j) = LOC(0,0) + (i*m + j) * L;

其中,LOC(i,j) 为 aij 在内存中的地址,LOC(0,0) 为二维数组在内存中存放的起始位置(也就是 a00 的位置)。

而如果采用以列存储的方式,在 anm 中查找 aij 的方式为:

LOC(i,j) = LOC(0,0) + (i*n + j) * L;

以下给出了采用以行序为主的方式存储三维数组 a[3][4][2] 的 C 语言代码实现,这里不再对该代码进行分析(代码中有详细注释),有兴趣的读者可以自行拷贝运行:

  1. #include<stdarg.h>

  2. #include<malloc.h>

  3. #include<stdio.h>

  4. #include<stdlib.h> // atoi()

  5. #include<io.h> // eof()

  6. #include<math.h>

  7. #define TRUE 1

  8. #define FALSE 0

  9. #define OK 1

  10. #define ERROR 0

  11. #define INFEASIBLE -1

  12. #define OVERFLOW 3

  13. #define UNDERFLOW 4

  14. typedef int Status; //Status是函数的类型,其值是函数结果状态代码,如OK等

  15. typedef int Boolean; //Boolean是布尔类型,其值是TRUE或FALSE

  16. typedef int ElemType;

  17. #define MAX_ARRAY_DIM 8 //假设数组维数的最大值为8

  18. typedef struct

  19. {

  20. ElemType *base; //数组元素基址,由InitArray分配

  21. int dim; //数组维数

  22. int *bounds; //数组维界基址,由InitArray分配

  23. int *constants; // 数组映象函数常量基址,由InitArray分配

  24. } Array;

  25. Status InitArray(Array *A,int dim,...)

  26. {

  27. //若维数dim和各维长度合法,则构造相应的数组A,并返回OK

  28. int elemtotal=1,i; // elemtotal是元素总值

  29. va_list ap;

  30. if(dim<1||dim>MAX_ARRAY_DIM)

  31. return ERROR;

  32. (*A).dim=dim;

  33. (*A).bounds=(int *)malloc(dim*sizeof(int));

  34. if(!(*A).bounds)

  35. exit(OVERFLOW);

  36. va_start(ap,dim);

  37. for(i=0; i<dim; ++i)

  38. {

  39. (*A).bounds[i]=va_arg(ap,int);

  40. if((*A).bounds[i]<0)

  41. return UNDERFLOW;

  42. elemtotal*=(*A).bounds[i];

  43. }

  44. va_end(ap);

  45. (*A).base=(ElemType *)malloc(elemtotal*sizeof(ElemType));

  46. if(!(*A).base)

  47. exit(OVERFLOW);

  48. (*A).constants=(int *)malloc(dim*sizeof(int));

  49. if(!(*A).constants)

  50. exit(OVERFLOW);

  51. (*A).constants[dim-1]=1;

  52. for(i=dim-2; i>=0; --i)

  53. (*A).constants[i]=(*A).bounds[i+1]*(*A).constants[i+1];

  54. return OK;

  55. }

  56. Status DestroyArray(Array *A)

  57. {

  58. //销毁数组A

  59. if((*A).base)

  60. {

  61. free((*A).base);

  62. (*A).base=NULL;

  63. }

  64. else

  65. return ERROR;

  66. if((*A).bounds)

  67. {

  68. free((*A).bounds);

  69. (*A).bounds=NULL;

  70. }

  71. else

  72. return ERROR;

  73. if((*A).constants)

  74. {

  75. free((*A).constants);

  76. (*A).constants=NULL;

  77. }

  78. else

  79. return ERROR;

  80. return OK;

  81. }

  82. Status Locate(Array A,va_list ap,int *off) // Value()、Assign()调用此函数 */

  83. {

  84. //若ap指示的各下标值合法,则求出该元素在A中的相对地址off

  85. int i,ind;

  86. *off=0;

  87. for(i=0; i<A.dim; i++)

  88. {

  89. ind=va_arg(ap,int);

  90. if(ind<0||ind>=A.bounds[i])

  91. return OVERFLOW;

  92. *off+=A.constants[i]*ind;

  93. }

  94. return OK;

  95. }

  96. Status Value(ElemType *e,Array A,...) //在VC++中,...之前的形参不能是引用类型

  97. {

  98. //依次为各维的下标值,若各下标合法,则e被赋值为A的相应的元素值

  99. va_list ap;

  100. Status result;

  101. int off;

  102. va_start(ap,A);

  103. if((result=Locate(A,ap,&off))==OVERFLOW) //调用Locate()

  104. return result;

  105. *e=*(A.base+off);

  106. return OK;

  107. }

  108. Status Assign(Array *A,ElemType e,...)

  109. {

  110. //依次为各维的下标值,若各下标合法,则将e的值赋给A的指定的元素

  111. va_list ap;

  112. Status result;

  113. int off;

  114. va_start(ap,e);

  115. if((result=Locate(*A,ap,&off))==OVERFLOW) //调用Locate()

  116. return result;

  117. *((*A).base+off)=e;

  118. return OK;

  119. }

  120. int main()

  121. {

  122. Array A;

  123. int i,j,k,*p,dim=3,bound1=3,bound2=4,bound3=2; //a[3][4][2]数组

  124. ElemType e,*p1;

  125. InitArray(&A,dim,bound1,bound2,bound3); //构造3*4*2的3维数组A

  126. p=A.bounds;

  127. printf("A.bounds=");

  128. for(i=0; i<dim; i++) //顺序输出A.bounds

  129. printf("%d ",*(p+i));

  130. p=A.constants;

  131. printf("\nA.constants=");

  132. for(i=0; i<dim; i++) //顺序输出A.constants

  133. printf("%d ",*(p+i));

  134. printf("\n%d页%d行%d列矩阵元素如下:\n",bound1,bound2,bound3);

  135. for(i=0; i<bound1; i++)

  136. {

  137. for(j=0; j<bound2; j++)

  138. {

  139. for(k=0; k<bound3; k++)

  140. {

  141. Assign(&A,i*100+j*10+k,i,j,k); // 将i*100+j*10+k赋值给A[i][j][k]

  142. Value(&e,A,i,j,k); //将A[i][j][k]的值赋给e

  143. printf("A[%d][%d][%d]=%2d ",i,j,k,e); //输出A[i][j][k]

  144. }

  145. printf("\n");

  146. }

  147. printf("\n");

  148. }

  149. p1=A.base;

  150. printf("A.base=\n");

  151. for(i=0; i<bound1*bound2*bound3; i++) //顺序输出A.base

  152. {

  153. printf("%4d",*(p1+i));

  154. if(i%(bound2*bound3)==bound2*bound3-1)

  155. printf("\n");

  156. }

  157. DestroyArray(&A);

  158. return 0;

  159. }

运行结果为:

A.bounds=3 4 2
A.constants=8 2 1
3页4行2列矩阵元素如下:
A[0][0][0]= 0 A[0][0][1]= 1
A[0][1][0]=10 A[0][1][1]=11
A[0][2][0]=20 A[0][2][1]=21
A[0][3][0]=30 A[0][3][1]=31

A[1][0][0]=100 A[1][0][1]=101
A[1][1][0]=110 A[1][1][1]=111
A[1][2][0]=120 A[1][2][1]=121
A[1][3][0]=130 A[1][3][1]=131

A[2][0][0]=200 A[2][0][1]=201
A[2][1][0]=210 A[2][1][1]=211
A[2][2][0]=220 A[2][2][1]=221
A[2][3][0]=230 A[2][3][1]=231

A.base=
0   1  10  11  20  21  30  31
100 101 110 111 120 121 130 131
200 201 210 211 220 221 230 231

数据结构中,提供针对某些特殊矩阵的压缩存储结构。

这里所说的特殊矩阵,主要分为以下两类:

  • 含有大量相同数据元素的矩阵,比如对称矩阵;
  • 含有大量 0 元素的矩阵,比如稀疏矩阵、上(下)三角矩阵;


针对以上两类矩阵,数据结构的压缩存储思想是:矩阵中的相同数据元素(包括元素 0)只存储一个。

对称矩阵

对称矩阵示意图


图 1 对称矩阵示意图


图 1 的矩阵中,数据元素沿主对角线对应相等,这类矩阵称为对称矩阵。

矩阵中有两条对角线,其中图 1 中的对角线称为主对角线,另一条从左下角到右上角的对角线为副对角线。对称矩阵指的是各数据元素沿主对角线对称的矩阵。

结合数据结构压缩存储的思想,我们可以使用一维数组存储对称矩阵。由于矩阵中沿对角线两侧的数据相等,因此数组中只需存储对角线一侧(包含对角线)的数据即可。

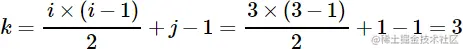
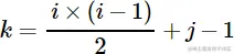
对称矩阵的实现过程是,若存储下三角中的元素,只需将各元素所在的行标 i 和列标 j 代入下面的公式:


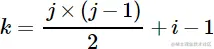
存储上三角的元素要将各元素的行标 i 和列标 j 代入另一个公式:


最终求得的 k 值即为该元素存储到数组中的位置(矩阵中元素的行标和列标都从 1 开始)。

例如,在数组 skr[6] 中存储图 1 中的对称矩阵,则矩阵的压缩存储状态如图 3 所示(存储上三角和下三角的结果相同):


对称矩阵的压缩存储示意图


图 3 对称矩阵的压缩存储示意图


注意,以上两个公式既是用来存储矩阵中元素的,也用来从数组中提取矩阵相应位置的元素。例如,如果想从图 3 中的数组提取矩阵中位于 (3,1) 处的元素,由于该元素位于下三角,需用下三角公式获取元素在数组中的位置,即:



结合图 3,数组下标为 3 的位置存储的是元素 3,与图 1 对应。

上(下)三角矩阵

上(下)三角矩阵


图 4 上(下)三角矩阵


如图 4 所示,主对角线下的数据元素全部相同的矩阵为上三角矩阵(图 4a)),主对角线上元素全部相同的矩阵为下三角矩阵(图 4b))。

对于这类特殊的矩阵,压缩存储的方式是:上(下)三角矩阵采用对称矩阵的方式存储上(下)三角的数据(元素 0 不用存储)。

例如,压缩存储图 4a) 中的上三角矩阵,矩阵最终的存储状态同图 3 相同。因此可以得出这样一个结论,上(下)三角矩阵存储元素和提取元素的过程和对称矩阵相同。

稀疏矩阵

稀疏矩阵示意图


图 5 稀疏矩阵示意图


如图 5 所示,如果矩阵中分布有大量的元素 0,即非 0 元素非常少,这类矩阵称为稀疏矩阵。

压缩存储稀疏矩阵的方法是:只存储矩阵中的非 0 元素,与前面的存储方法不同,稀疏矩阵非 0 元素的存储需同时存储该元素所在矩阵中的行标和列标。

例如,存储图 5 中的稀疏矩阵,需存储以下信息:

  • (1,1,1):数据元素为 1,在矩阵中的位置为 (1,1);
  • (3,3,1):数据元素为 3,在矩阵中的位置为 (3,1);
  • (5,2,3):数据元素为 5,在矩阵中的位置为 (2,3);
  • 除此之外,还要存储矩阵的行数 3 和列数 3;


由此,可以成功存储一个稀疏矩阵。

注意,以上 3 种特殊矩阵的压缩存储,除了将数据元素存储起来,还要存储矩阵的行数值和列数值,具体的实现方式后续会介绍 3 种,本节仅需了解矩阵压缩存储的原理。

矩阵压缩存储的 3 种方式

对于以上 3 种特殊的矩阵,对阵矩阵和上下三角矩阵的实现方法是相同的,且实现过程比较容易,仅需套用上面给出的公式即可。

稀疏矩阵的压缩存储,数据结构提供有 3 种具体实现方式:

  1. 三元组顺序表
  2. 行逻辑链接的顺序表
  3. 十字链表